Esfera
La esfera es el espacio geométrico de puntos que equidistan a un mismo punto que se denomina centro. El radio es la distacia entre el centro y un punto de la esfera, y se denota
.



Semiesfera
Es cada una de las partes en que queda dividida la superficie esférica por un plano que pasa por el centro de la esfera, llamado plano diametral. También se le conoce como hemisferio.



Ejemplos
-
La cúpula de una catedral tiene forma semiesférica, de radio 50m. Si restaurarla tiene un coste de 300 € el m2, ¿A cuánto ascenderá el presupuesto de la restauración?
1Calcular el área
Necesitaremos la fórmula del área


2Calcular el coste
Para calcular el importe total, el área que necesita restaurarse se tiene que multiplicar por lo que cuesta restaurar cada metro cuadrado
€
-
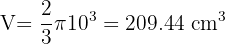
Calcular el volumen de una semiesfera de 10 cm de radio.
Necesitaremos la fórmula del volumen

Como el radio es de 10 cm, el volumen es

Huso esférico


Área del huso esférico

Volumen de la cuña esférica

Casquete esférico
Un casquete esférico es cada una de las partes de la esfera determinada por un plano secante.




Ejemplo
-
Calcula el área y el volumen del siguiente casquete esférico.

1 Calcular el área

2 Calcular el volumen

Zona esférica
Una zona esférica es la parte de la esfera comprendida entre dos planos secantes paralelos.



Ejemplo
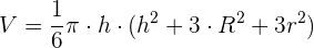
- Calcular el área y el volumen de una zona esférica cuyas circunferencias tienen de radio 10 y 8cm, y la distancia entre ellas es de 6 cm.
1 Calcular el área

2 Calcular el volumen


Si quieres encontrar clases particulares de matematicas, Superprof es tu sitio.
Resumir con IA:









Apuntes es una plataforma dirigida al estudio y la práctica de las matemáticas a través de la teoría y ejercicios interactivos que ponemos a vuestra disposición. Esta información está disponible para todo aquel/aquella que quiera profundizar en el aprendizaje de esta ciencia. Será un placer ayudaros en caso de que tengáis dudas frente algún problema, sin embargo, no realizamos un ejercicio que nos presentéis de 0 sin que hayáis si quiera intentado resolverlo. Ánimo, todo esfuerzo tiene su recompensa.
Necesito aprender más cosas como el teorema de pitagoras
Hola gracias por presentarnos tus inquietudes, tenemos muchos artículos de varios temas por ejemplo del teorema de Pitágoras tenemos «https://www.superprof.es/apuntes/escolar/matematicas/geometria/basica/formulas-del-teorema-de-pitagoras.html» así como varios mas, solo pon el tema en la lupa y te saldrán una gran cantidad de artículos, si tienes mas dudas menciónalo y te ayudamos.
Buenisimo. Estoy haciendo una piñata de Dobby. Y la depreesion de los ojos esta entre un cono truncado y una piramide truncada. Para hacer moldes 3 d lo importante son los angulos que se abrre la piramide desarrollada. A partir de las deformaciones del cuadrado de la base, cuanto angulo en mas o en menos le doy en el desarrollo. (Si un angulo es mas de 90 el desarrolllo de la piramide sse abre mas en angulo? O se abre menos? Yo se que pensarlo sera diverttido para vos.
Tim y Tom están intentando ganar dinero para comprar un nuevo sistema de juegos en un período de 3 meses. Tim ahorró $45,14 cada mes. Si necesitan un total de $212,94 para comprar el sistema de juegos, ¿cuánto necesita ganar Tom cada uno de los 3 meses para comprar el sistema de juegos?
holiiissssss en el primer ejercicio me sale algo diferente pero esta literalmente igual clavulado solo que el resultado es distinto, no se si es por el numero pi o porque pero vamos que no lo pillo.
Por lo general depende de cuantos decimales tomes del número pi.
La verdad no lo entendí me hubiera gustado una mejor explicación gracias
Hola te agradecemos por tu sinceridad, podrías mencionarnos que ejercicio en especial no entendiste y con gusto intentaremos dar una mejor explicación para dar un mejor servicio.