Resuelve los siguientes problemas:
1 Para algunos juegos de rol se usan dados con formas distintas de la habitual, por ejemplo, estos dados con formas de tetraedro cuya arista mide
.
Indica el volumen que ocupa cada uno de estos dados redondeando a dos cifras decimales el resultado que obtengas.

Este campo es obligatorio.
Para encontrar el volumen del tetraedro utilizamos la fórmula
donde
tomará el valor de la arista dado.

Para hallar el área de cada una de las caras podemos hacerlo de dos formas.
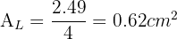
¿Cuál es el área de cada una de las caras de este tipo de dados?

Este campo es obligatorio.
Para hallar el área de cada una de las caras podemos hacerlo de dos formas.
1 Teniendo en cuenta que todas las caras son iguales. De este modo basta calcular el área total y dividir entre 4. 

2 Teniendo en cuenta que estas son triángulos equiláteros de lado 

Para encontrar el valor de la altura utilizaremos el teorema de Pitágoras.



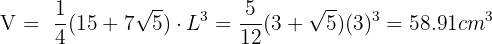
2 Calcula el área y el volumen de un tetraedro cuya arista es de
, redondeando a dos cifras decimales si fuera necesario.

Este campo es obligatorio.


Este campo es obligatorio.

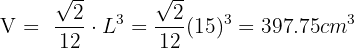
3 Calcula la altura, el área y el volumen del siguiente tetraedro, sabiendo que la apotema de la base mide
, de nuevo redondeando a dos cifras decimales si fuese necesario.


Este campo es obligatorio.
En primer lugar calculamos la apotema del tetraedro, que nos ayudará posteriormente a hallar la altura del mismo. Para hallar la apotema nos fijamos en una cara del tetraedro, que será un triángulo equilátero de
de lado. La apotema del tetraedro coincidirá con la altura de uno de estos triángulos, que calcularemos aplicando el teorema de Pitágoras:




Para hallar la altura del tetraedro nos fijamos en el siguiente triángulo y de nuevo aplicamos el teorema de Pitágoras:



Este campo es obligatorio.
Calculamos a continuación el área y el volumen del tetraedro: 

Este campo es obligatorio.

4 Marta tiene una colección de minerales. Uno de sus favoritos es la fluorita (el cual tiene forma de octaedro) que podemos observar en el siguiente dibujo: Sabiendo que su arista mide
, calcula el área y el volumen de esta pieza de colección.


Este campo es obligatorio.


Este campo es obligatorio.

¿Cuál es el área de una cara? 
Este campo es obligatorio.
Para calcular el área de una cara del octaedro debemos tener en cuenta que este es un poliedro regular formado por
triángulos equiláteros iguales.
Por tanto, dividimos el área del octaedro por
y obtenemos el área de una de sus caras

5 Si el área de un octaedro es de
, calcula la medida de la arista de dicha figura.

Este campo es obligatorio.





¿Cuál sería el volumen de la misma? Redondea a dos cifras decimales

Este campo es obligatorio.
Usando la medida de la arista es muy fácil calcular el volumen del octaedro:

6 Calcula el área y el volumen de dodecaedro de 8 cm de arista sabiendo que la apotema de una de sus caras mide
. Redondea a dos cifras decimales si es necesario.


Este campo es obligatorio.
Basta aplicar las fórmulas del área y volumen que conocemos para el dodecaedro.


Este campo es obligatorio.

7 Calcular el área y el volumen del siguiente calendario, siendo su arista de
y su apotema de
. Redondea a dos cifras decimales si es necesario.


Este campo es obligatorio.
Observando la figura vemos que se trata de un dodecaedro, por tanto basta aplicar las fórmulas del área y volumen conocidas.


Este campo es obligatorio.

8El profesor de Matemáticas de los alumnos de 3º ESO les entrega el siguiente desarrollo del icosaedro, cuya arista mide
.

¿Cuál será el área de la figura formada? 
Este campo es obligatorio.
Calculamos el área y el volumen aplicando las fórmulas conocidas para esta figura

¿Y el volumen? 
Este campo es obligatorio.

9 El área total del icosaedro
.
¿Cuánto mide la arista?. Redondea a dos cifras decimales.

Este campo es obligatorio.
Dada el área, calculamos la arista igualando el área con la fórmula que tenemos para calcularla.




Si tienes dudas puedes consultar la teoría
Resumir con IA:

Apuntes es una plataforma dirigida al estudio y la práctica de las matemáticas a través de la teoría y ejercicios interactivos que ponemos a vuestra disposición. Esta información está disponible para todo aquel/aquella que quiera profundizar en el aprendizaje de esta ciencia. Será un placer ayudaros en caso de que tengáis dudas frente algún problema, sin embargo, no realizamos un ejercicio que nos presentéis de 0 sin que hayáis si quiera intentado resolverlo. Ánimo, todo esfuerzo tiene su recompensa.
Necesito aprender más cosas como el teorema de pitagoras
Hola gracias por presentarnos tus inquietudes, tenemos muchos artículos de varios temas por ejemplo del teorema de Pitágoras tenemos «https://www.superprof.es/apuntes/escolar/matematicas/geometria/basica/formulas-del-teorema-de-pitagoras.html» así como varios mas, solo pon el tema en la lupa y te saldrán una gran cantidad de artículos, si tienes mas dudas menciónalo y te ayudamos.
Buenisimo. Estoy haciendo una piñata de Dobby. Y la depreesion de los ojos esta entre un cono truncado y una piramide truncada. Para hacer moldes 3 d lo importante son los angulos que se abrre la piramide desarrollada. A partir de las deformaciones del cuadrado de la base, cuanto angulo en mas o en menos le doy en el desarrollo. (Si un angulo es mas de 90 el desarrolllo de la piramide sse abre mas en angulo? O se abre menos? Yo se que pensarlo sera diverttido para vos.
Tim y Tom están intentando ganar dinero para comprar un nuevo sistema de juegos en un período de 3 meses. Tim ahorró $45,14 cada mes. Si necesitan un total de $212,94 para comprar el sistema de juegos, ¿cuánto necesita ganar Tom cada uno de los 3 meses para comprar el sistema de juegos?
holiiissssss en el primer ejercicio me sale algo diferente pero esta literalmente igual clavulado solo que el resultado es distinto, no se si es por el numero pi o porque pero vamos que no lo pillo.
Por lo general depende de cuantos decimales tomes del número pi.
La verdad no lo entendí me hubiera gustado una mejor explicación gracias
Hola te agradecemos por tu sinceridad, podrías mencionarnos que ejercicio en especial no entendiste y con gusto intentaremos dar una mejor explicación para dar un mejor servicio.