Capítulos
Área de un cuadrado

La fórmula para calcular el valor de la diagonal es
,
Recordemos que el perímetro es la suma de los lados, es decir,

La fórmula para el cálculo del área del cuadrado, es la multiplicación de los lados, es decir,

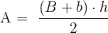
Área de un rectángulo

La fórmula para calcular el valor de la diagonal es

Recordemos que el perímetro es la suma de los lados, es decir,

La fórmula para el cálculo del área del rectángulo, es la multiplicación de la base por la altura, es decir,

Área de un rombo

Recordemos que el perímetro es la suma de los lados, es decir,

La fórmula para el cálculo del área del rombo, es la multiplicación de la diagonal mayor por la diagonal menor sobre dos, es decir,

Área de un romboide

Recordemos que el perímetro es la suma de los lados, es decir,

La fórmula para el cálculo del área del romboide, es la multiplicación de la base por la altura, es decir,

Área de un trapecio

La fórmula para el cálculo del área del trapecio, es la multiplicación de la altura por la suma de la base mayor por la base menor sobre dos, es decir,

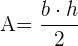
Área de un triángulo

Recordemos que el perímetro es la suma de los lados, es decir,

La fórmula para el cálculo del área del triángulo, es la multiplicación de la base por la altura sobre dos, es decir,

Área de un polígono

El área se obtiene triangulando el polígono y sumando el área de dichos triángulos, es decir,

Área de un polígono regular

Recordemos que el perímetro es la suma de los lados, es decir,

y el área esta dada por la siguiente fórmula

Apuntes es una plataforma dirigida al estudio y la práctica de las matemáticas a través de la teoría y ejercicios interactivos que ponemos a vuestra disposición. Esta información está disponible para todo aquel/aquella que quiera profundizar en el aprendizaje de esta ciencia. Será un placer ayudaros en caso de que tengáis dudas frente algún problema, sin embargo, no realizamos un ejercicio que nos presentéis de 0 sin que hayáis si quiera intentado resolverlo. Ánimo, todo esfuerzo tiene su recompensa.
Necesito aprender más cosas como el teorema de pitagoras
Hola gracias por presentarnos tus inquietudes, tenemos muchos artículos de varios temas por ejemplo del teorema de Pitágoras tenemos «https://www.superprof.es/apuntes/escolar/matematicas/geometria/basica/formulas-del-teorema-de-pitagoras.html» así como varios mas, solo pon el tema en la lupa y te saldrán una gran cantidad de artículos, si tienes mas dudas menciónalo y te ayudamos.
Buenisimo. Estoy haciendo una piñata de Dobby. Y la depreesion de los ojos esta entre un cono truncado y una piramide truncada. Para hacer moldes 3 d lo importante son los angulos que se abrre la piramide desarrollada. A partir de las deformaciones del cuadrado de la base, cuanto angulo en mas o en menos le doy en el desarrollo. (Si un angulo es mas de 90 el desarrolllo de la piramide sse abre mas en angulo? O se abre menos? Yo se que pensarlo sera diverttido para vos.
Tim y Tom están intentando ganar dinero para comprar un nuevo sistema de juegos en un período de 3 meses. Tim ahorró $45,14 cada mes. Si necesitan un total de $212,94 para comprar el sistema de juegos, ¿cuánto necesita ganar Tom cada uno de los 3 meses para comprar el sistema de juegos?
holiiissssss en el primer ejercicio me sale algo diferente pero esta literalmente igual clavulado solo que el resultado es distinto, no se si es por el numero pi o porque pero vamos que no lo pillo.
Por lo general depende de cuantos decimales tomes del número pi.
La verdad no lo entendí me hubiera gustado una mejor explicación gracias
Hola te agradecemos por tu sinceridad, podrías mencionarnos que ejercicio en especial no entendiste y con gusto intentaremos dar una mejor explicación para dar un mejor servicio.