Capítulos
Una pirámide es un poliedro, cuya base es un polígono cualquiera y cuyas caras laterales son triángulos con un vértice común, al que se le llama vértice de la pirámide.
Desarrollo de una pirámide

En la figura podemos distinguir las caras laterales de la pirámide, las cuales son triángulos y en este caso la base es un polígono regular de 5 lados. En lo siguiente veremos los elementos de una pirámide, los diferentes tipos que existen y algunos ejemplos concretos de cómo calcular los elementos que la componen.
Elementos de una pirámide

- La altura de la pirámide es el segmento perpendicular a la base, que une la base con el vértice.
- Las aristas de la base se llaman aristas básicas y las aristas que concurren en el vértice, aristas laterales.
- La apotema lateral de una pirámide regular es la altura de cualquiera de sus caras laterales.
- El ápice de una pirámide regular es el centro de la base de la pirámide.
- El apotema de la base es la distancia del ápice uno de los lados de la base.
Clasificación de pirámides
Pirámide regular

- La pirámide regular tiene de base un polígono regular y sus caras laterales iguales.
Pirámide irregular

- La pirámide irregular tiene de base un polígono irregular.
Pirámide convexa

- En la pirámide recta todas sus caras laterales son triángulos isósceles y la altura cae al punto medio de la base.
Pirámide oblicua

- En la pirámide oblicua alguna de sus caras laterales no es un triángulo isósceles.
Pirámide triangular

- Su base es un triángulo.
Pirámide cuadrangular

- Su base es un cuadrado.
Pirámide pentagonal

- Su base es un pentágono.
Pirámide hexagonal

- Su base es un hexágono.
Cálculo de la apotema lateral de una pirámide

Podemos calcular la apotema lateral de la pirámide, conociendo la altura y la apotema de la base, aplicando el teorema de Pitágoras en el triángulo sombreado:

Cálculo de la arista lateral de una pirámide

Calculamos la arista lateral de la pirámide, conociendo la altura y el radio de la base o radio de la circunferencia circunscrita, aplicando el teorema de Pitágoras en el triángulo sombreado:

Además del apotema y las aristas laterales también es necesario conocer el área, área lateral y volumen de una piramide.
Área lateral de una pirámide
Digamos que
entonces
Área de una pirámide
El área total de una pirámide es la suma del área de la base más el área lateral de la pirámide,




Volumen de una pirámide
Conociendo el volumen de la base de la pirámide podemos calcular su volumen,

Ejemplos
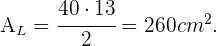
- Calcula el área lateral, total y el volumen de una pirámide cuadrangular de 10 cm de arista básica y 12 cm de altura.

, entonces el área de la base es
También podemos concluir que la apotema de la base es
, entonces con la altura y el apotema de la base tenemos que el apotema lateral es

se sigue que el área lateral es
Finalmente sumando el área lateral y el área de la base tenemos que el área total es

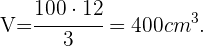
El volumen simplemente lo calculamos con la altura y el área de la base,

2. Calcula el área lateral, total y el volumen de una pirámide hexagonal de 16 cm de arista básica y 28 cm de arista lateral.



Luego es sencillo calcular el área lateral de la pirámide, usando la arista básica y la apotema lateral. El perímetro de la base es simplemente
por el valor de la arista basica,

, entonces podemos formar un triángulo rectángulo de catetos
,
e hipotenusa
, al aplicar el teorema de Pitagoras tenemos que

Luego, el área de la base es
y el área total es


Del triángulo formado por la altura, la apotema lateral y el apotema de la base podemos inferir la altura de la pirámide


Y finalmente ya tenemos todos los ingredientes para calcular el área lateral y volumen de la pirámide,


Además, encuentra tu curso matematicas ideal.
Resumir con IA:











Apuntes es una plataforma dirigida al estudio y la práctica de las matemáticas a través de la teoría y ejercicios interactivos que ponemos a vuestra disposición. Esta información está disponible para todo aquel/aquella que quiera profundizar en el aprendizaje de esta ciencia. Será un placer ayudaros en caso de que tengáis dudas frente algún problema, sin embargo, no realizamos un ejercicio que nos presentéis de 0 sin que hayáis si quiera intentado resolverlo. Ánimo, todo esfuerzo tiene su recompensa.
Necesito aprender más cosas como el teorema de pitagoras
Hola gracias por presentarnos tus inquietudes, tenemos muchos artículos de varios temas por ejemplo del teorema de Pitágoras tenemos «https://www.superprof.es/apuntes/escolar/matematicas/geometria/basica/formulas-del-teorema-de-pitagoras.html» así como varios mas, solo pon el tema en la lupa y te saldrán una gran cantidad de artículos, si tienes mas dudas menciónalo y te ayudamos.
Buenisimo. Estoy haciendo una piñata de Dobby. Y la depreesion de los ojos esta entre un cono truncado y una piramide truncada. Para hacer moldes 3 d lo importante son los angulos que se abrre la piramide desarrollada. A partir de las deformaciones del cuadrado de la base, cuanto angulo en mas o en menos le doy en el desarrollo. (Si un angulo es mas de 90 el desarrolllo de la piramide sse abre mas en angulo? O se abre menos? Yo se que pensarlo sera diverttido para vos.
Tim y Tom están intentando ganar dinero para comprar un nuevo sistema de juegos en un período de 3 meses. Tim ahorró $45,14 cada mes. Si necesitan un total de $212,94 para comprar el sistema de juegos, ¿cuánto necesita ganar Tom cada uno de los 3 meses para comprar el sistema de juegos?
holiiissssss en el primer ejercicio me sale algo diferente pero esta literalmente igual clavulado solo que el resultado es distinto, no se si es por el numero pi o porque pero vamos que no lo pillo.
Por lo general depende de cuantos decimales tomes del número pi.
La verdad no lo entendí me hubiera gustado una mejor explicación gracias
Hola te agradecemos por tu sinceridad, podrías mencionarnos que ejercicio en especial no entendiste y con gusto intentaremos dar una mejor explicación para dar un mejor servicio.