Elige la opción correcta:
La sucesión
...
Selecciona una respuesta.
1Calculamos algunos elementos de la sucesión

2Observamos que los términos de la sucesión son positivos y cada vez se hacen más pequeños, por lo que el límite es 0
La sucesión
...
Selecciona una respuesta.
1Calculamos algunos elementos de la sucesión

2Observamos que los términos de la sucesión son positivos y cada vez se hacen más pequeños pero no exceden a 1, por lo que el límite es 1
La sucesión
...
Selecciona una respuesta.
1Calculamos algunos elementos de la sucesión

2Observamos que los términos de la sucesión se alternan entre 1 y -1 por lo que la sucesión no es convergente ni divergente. Este tipo de sucesiones se llama oscilante.
La sucesión
...
Selecciona una respuesta.
1Calculamos algunos elementos de la sucesión

2Observamos que los términos de la sucesión son positivos y cada vez se hacen más grandes, por lo que el límite es 
La sucesión
...
Selecciona una respuesta.
1Calculamos algunos elementos de la sucesión

2Observamos que los términos de la sucesión son positivos y cada vez se hacen más grandes, por lo que el límite es 
La sucesión
...
Selecciona una respuesta.
1Calculamos algunos elementos de la sucesión

2Observamos que los términos de la sucesión son positivos y cada vez se hacen más pequeños, por lo que el límite es 0
La sucesión
...
Selecciona una respuesta.
1Calculamos algunos elementos de la sucesión

2Observamos que los términos de la sucesión son positivos y cada vez se hacen más grandes, por lo que el límite es 
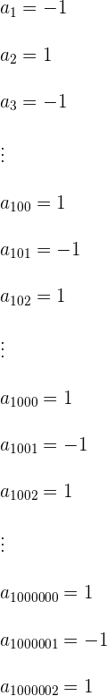
La sucesión 
Selecciona una respuesta.
1Calculamos algunos elementos de la sucesión

2Observamos que los términos de la sucesión se van alternando entre positivos y negativos, y cada vez se hacen más pequeños, por lo que el límite es 0
La sucesión
...
Selecciona una respuesta.
1Calculamos algunos elementos de la sucesión

2Observamos que los términos de la sucesión se alternan de mayor a menor y viisceversa por lo que la sucesión no es convergente ni divergente. Este tipo de sucesiones se llama oscilante.
La sucesión
...
Selecciona una respuesta.
1Calculamos algunos elementos de la sucesión

2Observamos que los términos de la sucesión son negativos y cada vez se hacen más pequeños, por lo que el límite es 0
Si tienes dudas puedes consultar la teoría
Resumir con IA:

Apuntes es una plataforma dirigida al estudio y la práctica de las matemáticas a través de la teoría y ejercicios interactivos que ponemos a vuestra disposición. Esta información está disponible para todo aquel/aquella que quiera profundizar en el aprendizaje de esta ciencia. Será un placer ayudaros en caso de que tengáis dudas frente algún problema, sin embargo, no realizamos un ejercicio que nos presentéis de 0 sin que hayáis si quiera intentado resolverlo. Ánimo, todo esfuerzo tiene su recompensa.
el ejercicio 5 es incorrecto, asumiendo que el primer termino de la sucesión sea 679 tal como se concluye, entonces seria incongruente que a sub 40 sea igual a 400 algo, pues solo seria posible en caso de que la diferencia fuera negativa, pero en la explicacion del mismo ejercicio queda explicito que no.
Hola, agracemos tus observaciones, pero los datos que mencionas no los encontré en el artículo, podrías mencionarme el nombre del mismo para rectificarlo por favor.
el ejercicio 2 de sucesiones esta mal correjido ya que te dan el quinto y sexto termino, la diferencia es 12, y se ha copiado y pegado la respuesta del 1 en el 2
Hola podrías hacerme el favor de darme mas detalles pues no encontré el ejercicio que mencionas, nos ayudaría mucho.
en el ejercicio Nro. 5 hay una inconsistencia: para hallar a 1 seria 479 = a1 + 39(5) entonces 39*5 = 195 —- al despejar 479 -195 = a1 el resultado seria a1 = 284 ___ que seria el primer termino de la progresion …. entonces la progresion quedaria, así:
284 , 289 , 294 , 299 , 304 , 309 ,314 ,319, 324, 329, 334…
Hola agradecemos tus observaciones, pero no encontré el ejercicio que mencionas para poder corregirlo, podrías ser mas especifico seria de mucha ayuda.
hola podrias darme una idea de como podria hacer este ejercicio aplicando al formula CORRECTA Pedro ha decidido tomar un tour en sus vacaciones, para lo cual decide ahorrar de tal forma que el primer mes ahorra $ 300 y, luego, cada mes ahorra 3 veces lo ahorrado el mes anterior y así sucesivamente. ¿Cuánto ahorra al noveno mes?