¡Bienvenido! En los ejercicios del término general de una sucesión, exploraremos el emocionante mundo de las secuencias matemáticas. Una sucesión es una lista ordenada de números que siguen un patrón específico. El término general de una sucesión nos permite encontrar cualquier número en la secuencia sin tener que listar todos los números anteriores.
En estos ejercicios, te desafiamos a encontrar una fórmula o expresión algebraica que represente el término general de una sucesión dada. Utilizaremos patrones numéricos, operaciones matemáticas y relaciones entre los términos de la secuencia para descubrir la fórmula que los describe.
¡Prepárate para sumergirte en el fascinante mundo de las sucesiones matemáticas y descubrir las fórmulas que las gobiernan!
Indica el término general para cada sucesión:
1 
Como los factores se van alternando entre negativos y positivos, siendo el primero negativo, entonces debe incluir el factor
; así para
se tiene que las posiciones pares serán positivas y las impares negativas
Así, el término general viene dado por el producto de los dos factores anteriores

2 
Como los factores se van alternando entre positivos y negativos, siendo el primero positivo, entonces debe incluir el factor
; así para
se tiene que las posiciones pares serán negativas y las impares positivas
Así, el término general viene dado por el producto de los dos factores anteriores

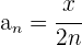
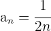
3 
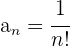
Los denominadores se comportan como un factorial, ya que para
se tiene





Así, el término general viene dado por el cociente de los dos elementos anteriores

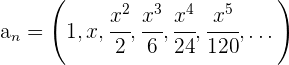
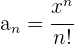
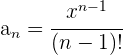
4 
y se comportan como
, por lo que debe contener el elemento
Los denominadores se comportan como
, ya que para
se tiene






Así, el término general viene dado por el cociente de los dos elementos anteriores

Los elementos de esta sucesión corresponden a los términos del polinomio de Taylor de 
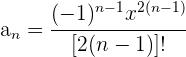
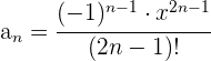
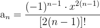
5 
y se comportan como
y se van alternando positivos y negativos, por lo que debe contener el elemento
Los denominadores se comportan como
, ya que para
se tiene




Así, el término general viene dado por el cociente de los dos elementos anteriores

Los elementos de esta sucesión corresponden a los términos del polinomio de Taylor de 
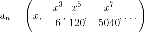
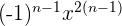
6 
y se comportan como
y se van alternando positivos y negativos, por lo que debe contener el elemento
Los denominadores se comportan como
, ya que para
se tiene



Así, el término general viene dado por el cociente de los dos elementos anteriores

Los elementos de esta sucesión corresponden a los términos del polinomio de Taylor de 
7 Arrastra cada sucesión a su término general
















![]() | ![]() |
![]() | ![]() |
![]() | ![]() |
![]() | ![]() |
![]() | ![]() |
![]() | ![]() |
![]() | ![]() |
![]() | ![]() |
Si tienes dudas puedes consultar la teoría
Resumir con IA:









Apuntes es una plataforma dirigida al estudio y la práctica de las matemáticas a través de la teoría y ejercicios interactivos que ponemos a vuestra disposición. Esta información está disponible para todo aquel/aquella que quiera profundizar en el aprendizaje de esta ciencia. Será un placer ayudaros en caso de que tengáis dudas frente algún problema, sin embargo, no realizamos un ejercicio que nos presentéis de 0 sin que hayáis si quiera intentado resolverlo. Ánimo, todo esfuerzo tiene su recompensa.
el ejercicio 5 es incorrecto, asumiendo que el primer termino de la sucesión sea 679 tal como se concluye, entonces seria incongruente que a sub 40 sea igual a 400 algo, pues solo seria posible en caso de que la diferencia fuera negativa, pero en la explicacion del mismo ejercicio queda explicito que no.
Hola, agracemos tus observaciones, pero los datos que mencionas no los encontré en el artículo, podrías mencionarme el nombre del mismo para rectificarlo por favor.
el ejercicio 2 de sucesiones esta mal correjido ya que te dan el quinto y sexto termino, la diferencia es 12, y se ha copiado y pegado la respuesta del 1 en el 2
Hola podrías hacerme el favor de darme mas detalles pues no encontré el ejercicio que mencionas, nos ayudaría mucho.
en el ejercicio Nro. 5 hay una inconsistencia: para hallar a 1 seria 479 = a1 + 39(5) entonces 39*5 = 195 —- al despejar 479 -195 = a1 el resultado seria a1 = 284 ___ que seria el primer termino de la progresion …. entonces la progresion quedaria, así:
284 , 289 , 294 , 299 , 304 , 309 ,314 ,319, 324, 329, 334…
Hola agradecemos tus observaciones, pero no encontré el ejercicio que mencionas para poder corregirlo, podrías ser mas especifico seria de mucha ayuda.
hola podrias darme una idea de como podria hacer este ejercicio aplicando al formula CORRECTA Pedro ha decidido tomar un tour en sus vacaciones, para lo cual decide ahorrar de tal forma que el primer mes ahorra $ 300 y, luego, cada mes ahorra 3 veces lo ahorrado el mes anterior y así sucesivamente. ¿Cuánto ahorra al noveno mes?