En este artículo estudiaremos el concepto de límite de una sucesión. Recordemos que, una sucesión es un conjunto de elementos, comúnmente números, dispuestos uno a continuación de otro, y se denota usualmente por

Además, se dice que una sucesión
tiene por límite
si y sólo si para cualquier número positivo
que tomemos, existe un término
, a partir del cual todos los términos de
siguientes a
cumplen que
Esto, escrito formalmente sería 
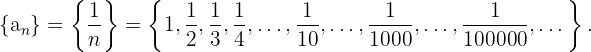
Veamos esto con un ejemplo. Consideremos la sucesión 
De esta sucesión se tienen las siguientes observaciones:
1 Los términos de la sucesión se aproximan a cero: Nótese que, a medida que se avanza en la sucesión, los términos son cada vez más pequeños y se aproximan a cero. Por ejemplo, se verifica que,
Esta tendencia siempre se cumple. Además, dado que
crece a medida que se avanza en la sucesión, el término en sí, decrece a cero. Por ejemplo se tiene que

2 La distancia a cero puede ser tan pequeña como queramos: Observemos que, si
denota la distancia entre dos número reales, entonces la distancia entre cada término de la sucesión y cero, es tan pequeña como se quiera. Esto es,
En base a esta información y siguiendo la definición de límite de una sucesión enunciada arriba, podemos conjeturar que el límite de la sucesión
es cero, esto es

Para ver esto de una manera rigurosa, hacemos uso de la definición matemática de límite de una sucesión. Así, sea
y elijamos
tal que
Entonces,
y, para

luego 
lo que se quería.
Resumir con IA:






Apuntes es una plataforma dirigida al estudio y la práctica de las matemáticas a través de la teoría y ejercicios interactivos que ponemos a vuestra disposición. Esta información está disponible para todo aquel/aquella que quiera profundizar en el aprendizaje de esta ciencia. Será un placer ayudaros en caso de que tengáis dudas frente algún problema, sin embargo, no realizamos un ejercicio que nos presentéis de 0 sin que hayáis si quiera intentado resolverlo. Ánimo, todo esfuerzo tiene su recompensa.
el ejercicio 5 es incorrecto, asumiendo que el primer termino de la sucesión sea 679 tal como se concluye, entonces seria incongruente que a sub 40 sea igual a 400 algo, pues solo seria posible en caso de que la diferencia fuera negativa, pero en la explicacion del mismo ejercicio queda explicito que no.
Hola, agracemos tus observaciones, pero los datos que mencionas no los encontré en el artículo, podrías mencionarme el nombre del mismo para rectificarlo por favor.
el ejercicio 2 de sucesiones esta mal correjido ya que te dan el quinto y sexto termino, la diferencia es 12, y se ha copiado y pegado la respuesta del 1 en el 2
Hola podrías hacerme el favor de darme mas detalles pues no encontré el ejercicio que mencionas, nos ayudaría mucho.
en el ejercicio Nro. 5 hay una inconsistencia: para hallar a 1 seria 479 = a1 + 39(5) entonces 39*5 = 195 —- al despejar 479 -195 = a1 el resultado seria a1 = 284 ___ que seria el primer termino de la progresion …. entonces la progresion quedaria, así:
284 , 289 , 294 , 299 , 304 , 309 ,314 ,319, 324, 329, 334…
Hola agradecemos tus observaciones, pero no encontré el ejercicio que mencionas para poder corregirlo, podrías ser mas especifico seria de mucha ayuda.
hola podrias darme una idea de como podria hacer este ejercicio aplicando al formula CORRECTA Pedro ha decidido tomar un tour en sus vacaciones, para lo cual decide ahorrar de tal forma que el primer mes ahorra $ 300 y, luego, cada mes ahorra 3 veces lo ahorrado el mes anterior y así sucesivamente. ¿Cuánto ahorra al noveno mes?