Noción general
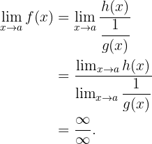
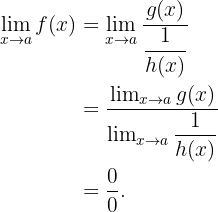
En ocasiones nos encontramos con que una función tiene una indeterminación de cero por infinito. Es decir, consideremos la función

tal que
y
. Así, nuestra función evaluada en
sería

En este caso, decimos que la función está indeterminada en
, pues no es posible asignarle valor alguno a
. Sin embargo, podemos utilizar alguno de los siguientes métodos para encontrar el límite de la función en
—observemos que el límite en
no es lo mismo que el valor de
—:
La mejor forma para evitar la indeterminación de la forma cero por infinito es transformarla en la indeterminación es transformarla en una indeterminación de la forma infinito dividido por infinito o cero dividido por cero.
Convertir el tipo de indeterminación a infinito dividido por infinito
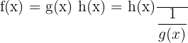
Si tenemos que
tienda a
cuando
tienda a
, entonces tenemos que su recíproco,
tienda a
cuando
tienda a
. O bien, escribiéndolo como ecuaciones
.
y entonces, podemos escribir la función original
como
,
en donde, calculando el límite obtenemos

Entonces, una vez transformada la indeterminación al escribir
, podemos proceder como se menciona en el artículo Infinito dividido por infinito
Ejemplos:
1. 
En este ejemplo tenemos la función
.
Nos interesa calcular el límite
. Notemos que podemos identificar a
y a
. Entonces, tenemos que

Como tenemos exponencial crece mucho más rápido que cualquier polinomio, tenemos que entonces

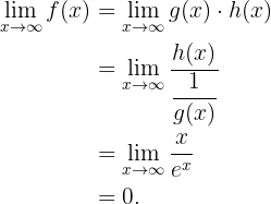
2. 
En este ejemplo tenemos la función
.
Nos interesa calcular el límite
. Analizando el denominador de la función
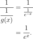
, podemos ver que
, por lo tanto, podemos reescribir
como
.
Notemos que podemos identificar a
y a
. Entonces, tenemos que

Entonces, tenemos que
sería igual a

Entonces, calculando el límite tendríamos

Convertir el tipo de indeterminación a cero dividido por cero
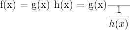
Si tenemos que
tienda a
cuando
tienda a
, entonces tenemos que su recíproco,
tienda a
cuando
tienda a
. O bien, escribiéndolo como ecuaciones
.
y entonces, podemos escribir la función original
como
,
en donde, calculando el límite obtenemos

Entonces, una vez transformada la indeterminación al escribir
, podemos proceder como se menciona en el artículo Cero dividido por cero
Ejemplos:
1. 
En este ejemplo tenemos la función
.
Nos interesa calcular el límite
. Notemos que podemos identificar a
y a
. Notemos que escribiendo
como

obtenemos una indeterminación de la forma cero dividido por cero. Para resolver este límite, aplicaremos la regla de L'Hôpital. Obteniendo como resultado

2. 
En este ejemplo tenemos la función
.
Nos interesa calcular el límite
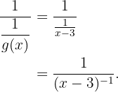
. Analizando el denominador de la función
, podemos ver que
, por lo tanto, podemos reescribir
como
.
Notemos que podemos identificar a
y a
. Entonces, tenemos que
sería igual a

Calculando el límite tendríamos

Resumir con IA:









Apuntes es una plataforma dirigida al estudio y la práctica de las matemáticas a través de la teoría y ejercicios interactivos que ponemos a vuestra disposición. Esta información está disponible para todo aquel/aquella que quiera profundizar en el aprendizaje de esta ciencia. Será un placer ayudaros en caso de que tengáis dudas frente algún problema, sin embargo, no realizamos un ejercicio que nos presentéis de 0 sin que hayáis si quiera intentado resolverlo. Ánimo, todo esfuerzo tiene su recompensa.
el ejercicio 5 es incorrecto, asumiendo que el primer termino de la sucesión sea 679 tal como se concluye, entonces seria incongruente que a sub 40 sea igual a 400 algo, pues solo seria posible en caso de que la diferencia fuera negativa, pero en la explicacion del mismo ejercicio queda explicito que no.
Hola, agracemos tus observaciones, pero los datos que mencionas no los encontré en el artículo, podrías mencionarme el nombre del mismo para rectificarlo por favor.
el ejercicio 2 de sucesiones esta mal correjido ya que te dan el quinto y sexto termino, la diferencia es 12, y se ha copiado y pegado la respuesta del 1 en el 2
Hola podrías hacerme el favor de darme mas detalles pues no encontré el ejercicio que mencionas, nos ayudaría mucho.
en el ejercicio Nro. 5 hay una inconsistencia: para hallar a 1 seria 479 = a1 + 39(5) entonces 39*5 = 195 —- al despejar 479 -195 = a1 el resultado seria a1 = 284 ___ que seria el primer termino de la progresion …. entonces la progresion quedaria, así:
284 , 289 , 294 , 299 , 304 , 309 ,314 ,319, 324, 329, 334…
Hola agradecemos tus observaciones, pero no encontré el ejercicio que mencionas para poder corregirlo, podrías ser mas especifico seria de mucha ayuda.
hola podrias darme una idea de como podria hacer este ejercicio aplicando al formula CORRECTA Pedro ha decidido tomar un tour en sus vacaciones, para lo cual decide ahorrar de tal forma que el primer mes ahorra $ 300 y, luego, cada mes ahorra 3 veces lo ahorrado el mes anterior y así sucesivamente. ¿Cuánto ahorra al noveno mes?