El límite de una sucesión
es cuando sus términos van aproximándose a un valor, digamos
. Y a éste valor se le denomina como límite. No siempre existe este límite, hay ocasiones en los que la sucesión no se acercara a un valor en particular o se acercara a varios, en estos caso en límite no existe pues este debe ser único.
Ahora bien, sean
y
sucesiones cuyo límite existe, es decir,

donde
límites de las sucesiones
y
, respectivamente. Entonces, se cumplen las siguientes propiedades de los límites:
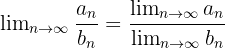
1 Límite de la suma:

es decir

2 Límite de la resta:

por tanto

3 Límite del producto:

es decir,

4 Límite del cociente:

entonces

5 Límite de la raíz de una sucesión:
6 Límite del producto por una constante:

7 Límite de una expresión exponencial:

por tanto

Hay que adevertir que las expresiones simbólicas que utilizamos no son exactamente igualdades, puesto que infinito no es número real, sino que es una forma convencional de expresar resultados.
En el calculo de limites, es necesario operar con expresiones donde aparece el infinito, por lo que es necesario hacer algunas convenciones respecto a las operaciones con el infinito. A continuación tenemos las expresiones mas comunes o conocidas:
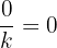
Suma y resta:
, donde 


Nota: con indeterminado queremos decir que no podemos predecir el límite
Producto:
con 


Cociente
Potencia:
Resumir con IA:














Apuntes es una plataforma dirigida al estudio y la práctica de las matemáticas a través de la teoría y ejercicios interactivos que ponemos a vuestra disposición. Esta información está disponible para todo aquel/aquella que quiera profundizar en el aprendizaje de esta ciencia. Será un placer ayudaros en caso de que tengáis dudas frente algún problema, sin embargo, no realizamos un ejercicio que nos presentéis de 0 sin que hayáis si quiera intentado resolverlo. Ánimo, todo esfuerzo tiene su recompensa.
el ejercicio 2 de sucesiones esta mal correjido ya que te dan el quinto y sexto termino, la diferencia es 12, y se ha copiado y pegado la respuesta del 1 en el 2
Hola podrías hacerme el favor de darme mas detalles pues no encontré el ejercicio que mencionas, nos ayudaría mucho.
en el ejercicio Nro. 5 hay una inconsistencia: para hallar a 1 seria 479 = a1 + 39(5) entonces 39*5 = 195 —- al despejar 479 -195 = a1 el resultado seria a1 = 284 ___ que seria el primer termino de la progresion …. entonces la progresion quedaria, así:
284 , 289 , 294 , 299 , 304 , 309 ,314 ,319, 324, 329, 334…
Hola agradecemos tus observaciones, pero no encontré el ejercicio que mencionas para poder corregirlo, podrías ser mas especifico seria de mucha ayuda.
hola podrias darme una idea de como podria hacer este ejercicio aplicando al formula CORRECTA Pedro ha decidido tomar un tour en sus vacaciones, para lo cual decide ahorrar de tal forma que el primer mes ahorra $ 300 y, luego, cada mes ahorra 3 veces lo ahorrado el mes anterior y así sucesivamente. ¿Cuánto ahorra al noveno mes?
Una disculpa, pero hubo una confusión con los artículos y se corrigió otro, te agradecemos tu paciencia y ahora si se corrigió, si no fuera así puedes mencionarlo otra vez y trabajaremos en ello.
50,45,39,32,