Ejercicios propuestos
Hallar el término general de las siguientes sucesiones:
a 
b 
c 
a Si prescindimos del signo, el numerador es una progresión aritmética con una
y el denominador es es una progresión aritmética de
.
Ahora bien, por ser los términos impares los negativos entonces multiplicamos por
, obteniendo
b Notemos que el numerador es una progresión aritmética con una
y el denominador es una progresión geométrica con una
, por tanto el término general queda
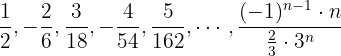
c Si prescindimos del signo, el numerador es una progresion aritmética con una
y el denominador es una progresión geométrica con una
.
Por otro lado, por ser los términos pares los negativos multiplicamos por
, obteniendo
Estudia la monotonia, la convergencia o divergencia y las cotas (si existen) de la siguiente sucesión: 
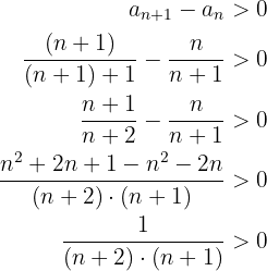
Monotonia:
Veamos como se comportar los primeros términos 
Notemos que cada termino es mayor que el anterior , esto nos hace pensar que es monótona estrictamente creciente.
Supongamos que en efecto es monótona creciente, entonces se debe cumplir que

Puesto que la desigualdad se cumple para cualquier valor de
, es monotona estrictamente creciente.
Convergencia
Notemos que
es decir, el limite es 1 y por tanto sucesión convergente.
Cotas
Por ser creciente,
es una cota inferior, el mínimo. Tambien tendremos que
es una cota superior, el supremo o extremo superior. Por tanto la sucesión está acotada: 
Probar que
.
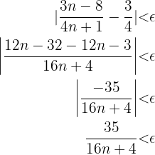
Debemos mostrar que para todo
existe un numero
a partir del cual todo
cumplirá que
Por tanto, tomemos
cualquiera y se debe cumplir que
a partir de cierta
.
Veamos si esto es posible
notemos que siempre podemos encontrar
tal que se cumpla la desigualdad anterior, por tanto 
Calcula los siguientes límites:
a 
b 
c 
Calcula los siguientes límites:
a
:
Primeramente manipulamos las fracciones multiplicando y dividiendo por un "1" conveniente, en este caso
obteniendo

Multiplicamos arriba y abajo por
: 
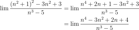
b
Desarrollando 
Multiplicamos arriba y abajo por

c 
Realizamos la división de fracciones y resolvemos directamente

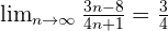
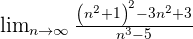
Calcula los siguientes límites: a
b
c

Nota: Infinito no es un número, las operaciones que realizamos con ∞ son simplemente un recurso para ayudarnos a resolver límites.
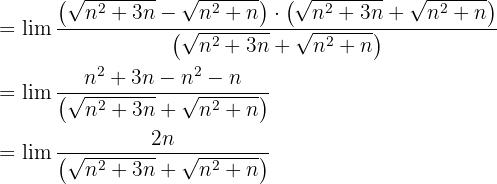
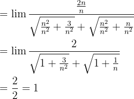
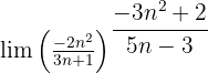
a

b
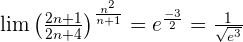
:
Operando con las fracciones, tenemos que 
Recordando que
tendremos que 
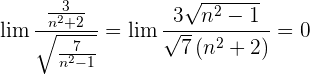
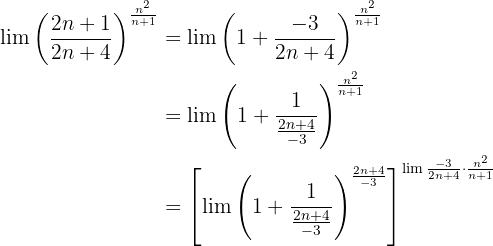
c
:
Primeramente notemos lo siguiente
es decir tenemos una sucesion de la forma 
Siendo el exponente la suma ilimitada de una progresión geométrica decreciente.

Resumir con IA:


Apuntes es una plataforma dirigida al estudio y la práctica de las matemáticas a través de la teoría y ejercicios interactivos que ponemos a vuestra disposición. Esta información está disponible para todo aquel/aquella que quiera profundizar en el aprendizaje de esta ciencia. Será un placer ayudaros en caso de que tengáis dudas frente algún problema, sin embargo, no realizamos un ejercicio que nos presentéis de 0 sin que hayáis si quiera intentado resolverlo. Ánimo, todo esfuerzo tiene su recompensa.
el ejercicio 5 es incorrecto, asumiendo que el primer termino de la sucesión sea 679 tal como se concluye, entonces seria incongruente que a sub 40 sea igual a 400 algo, pues solo seria posible en caso de que la diferencia fuera negativa, pero en la explicacion del mismo ejercicio queda explicito que no.
Hola, agracemos tus observaciones, pero los datos que mencionas no los encontré en el artículo, podrías mencionarme el nombre del mismo para rectificarlo por favor.
el ejercicio 2 de sucesiones esta mal correjido ya que te dan el quinto y sexto termino, la diferencia es 12, y se ha copiado y pegado la respuesta del 1 en el 2
Hola podrías hacerme el favor de darme mas detalles pues no encontré el ejercicio que mencionas, nos ayudaría mucho.
en el ejercicio Nro. 5 hay una inconsistencia: para hallar a 1 seria 479 = a1 + 39(5) entonces 39*5 = 195 —- al despejar 479 -195 = a1 el resultado seria a1 = 284 ___ que seria el primer termino de la progresion …. entonces la progresion quedaria, así:
284 , 289 , 294 , 299 , 304 , 309 ,314 ,319, 324, 329, 334…
Hola agradecemos tus observaciones, pero no encontré el ejercicio que mencionas para poder corregirlo, podrías ser mas especifico seria de mucha ayuda.
hola podrias darme una idea de como podria hacer este ejercicio aplicando al formula CORRECTA Pedro ha decidido tomar un tour en sus vacaciones, para lo cual decide ahorrar de tal forma que el primer mes ahorra $ 300 y, luego, cada mes ahorra 3 veces lo ahorrado el mes anterior y así sucesivamente. ¿Cuánto ahorra al noveno mes?