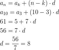
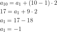
Arrastra cada progresión aritmética al cuadro que corresponda:
1








![]() | ![]() | ![]() | ![]() |
| (an) = (−3, −2, −1, 0, 1, ...) | (an) = (1/2, 1, 3/2, 2, 5/2, ...) | (an) = (1, 5, 9, 13, 17, ...) | (an) = (5, 4, 3, 2, 1, ...) |
![]() | ![]() | ![]() | ![]() |
| (an) = (−5, −14/3, −13/3, −4, ...) | (an) = (−5, −3, −1, 1, 3, ...) | (an) = (3, 5, 7, 9, 11, ...) | (an) = (−5, −2, 1, 4, 7, ...) |
Di si las siguientes progresiones son aritméticas o no:
2La sucesión
es una progresión aritmética.
Recordemos que una progresión aritmética es una sucesión de números tales que cada uno de ellos (salvo el primero) es igual al anterior más un número fijo
.
Es decir, tendremos que en una progresión aritmética
se cumple que
Veamos los elementos de la sucesión anterior
Por lo tanto sí es aritmética y su distancia es
.
3La sucesión
es una progresión aritmética.
Notemos que
y además
Al ser la distancia diferente en ambos casos, podemos concluir que no es aritmética.
4La sucesión
es una progresión aritmética.
Nuevamente, observemos que
Es decir, no es aritmética.
5La sucesión
es una progresión aritmética.
Veamos primeramente si se trata de una progresión aritmética
Tenemos que sí es aritmética y su distancia es
.
Ahora bien, recordemos que si conocemos el primer termino de la sucesión el término general está dado por la fórmula
Por tanto, en este caso el termino general es
Completa con lo que se pida en cada caso:
6
,
=
=
Tenemos que
y para la distancia
7
,
=
Tenemos que su primer termino es
y su distancia es
entonces su termino general es
8
,
=
=
Tenemos que su primer termino es
y su distancia es
entonces su termino general es
Usando su termino general tendremos que
9
,
=
Su distancia es
Por tanto, su termino general será
¿Necesitas clases particulares matematicas universidad? ¡Encuéntralas en Superprof!
Escribe el término general de las siguientes progresiones aritméticas conociendo los datos indicados de cada una:
10
,
=
=
Recordemos que si conocemos el valor que ocupa cualquier otro término de la progresión. El término general está dado por la fórmula
Por lo tanto,
Después
Por tanto, el término general viene dado por:
11
,
=
=
Puesto que
entonces
Ya con la distancia calculamos el primer termino
Por tanto, el término general viene dado por:
12 
=
=
Tenemos que
Después calculamos el primer termino
Por tanto
13
=
=
Comenzamos calculando la distancia 
Después obtenemos el primer termino de la sucesión
Por tanto, obtenemos que
Completa sabiendo que los números son términos de progresiones aritméticas:
Recordemos que interpolar medios diferenciales o aritméticos entre dos números, es construir una progresión aritmética que tenga por extremos los números dados.
Sean los extremos
y
, y el número de medios a interpolar
. La diferencia está dada por:
En este caso los extremos son
y
, y el numero de medios son
por tanto
Tomando
, tendremos los términos de la sucesión de la siguiente manera
En este caso los extremos son
y
, y el numero de medios son
por tanto
Tomando
, tendremos los términos de la sucesión de la siguiente manera
Los extremos son
y
, y el numero de medios son
por tanto
Tomando
, tendremos los términos de la sucesión de la siguiente manera
Los extremos son
y
, y el numero de medios son
por tanto
Tomando
, tendremos los términos de la sucesión de la siguiente manera
¿Buscas un profesor online de matematicas? ¡Encuéntralo en Superprof!
Realiza las siguientes sumas de términos consecutivos de progresiones aritméticas:
18Calcula la suma de los primeros siete términos de la progresión aritmética
,
=
Puesto que la distancia es
los siete primeros términos de la sucesión indicada son:
Ahora bien, recordemos que la suma de
términos consecutivos de una progresión aritmética viene dado por la siguiente formula
por tanto
19Calcula la suma de los primeros 4 términos de la sucesión
,
=
Los primeros términos de la sucesión son
Usando la formula del ejercicio anterior
20 ¿Cuál es la suma de los primeros 100 números naturales?
=
Los primeros 100 números naturales son los primeros cien términos de la progresión aritmética
Por tanto, usando la formula de obtenemos
Realiza el siguiente problema:
21Marco, Ana, José y Eva son hermanos que se llevan 3 años cada uno con su siguiente. Sus edades suman 38 años. Sabiendo que José tiene 11 años y que el orden en que se dan los nombres es de menor a mayor edad ¿sabrías decir la edad de cada uno de ellos?
Marco
Ana
José
Eva
Por llevarse cada hermano 3 años con su siguiente, podemos deducir que las edades se encuentran en progresión aritmética con distancia d = 3, luego podemos expresar las edades del siguiente modo:
Marcox años
Ana x + 3 años
José x + 6 = 11 años
Eva x + 9 años
Entonces, las edades son:
Marco5 años
Ana 8 años
José 11 años
Eva 14 años
Si tienes dudas puedes consultar la teoría
Resumir con IA:









Apuntes es una plataforma dirigida al estudio y la práctica de las matemáticas a través de la teoría y ejercicios interactivos que ponemos a vuestra disposición. Esta información está disponible para todo aquel/aquella que quiera profundizar en el aprendizaje de esta ciencia. Será un placer ayudaros en caso de que tengáis dudas frente algún problema, sin embargo, no realizamos un ejercicio que nos presentéis de 0 sin que hayáis si quiera intentado resolverlo. Ánimo, todo esfuerzo tiene su recompensa.
el ejercicio 5 es incorrecto, asumiendo que el primer termino de la sucesión sea 679 tal como se concluye, entonces seria incongruente que a sub 40 sea igual a 400 algo, pues solo seria posible en caso de que la diferencia fuera negativa, pero en la explicacion del mismo ejercicio queda explicito que no.
Hola, agracemos tus observaciones, pero los datos que mencionas no los encontré en el artículo, podrías mencionarme el nombre del mismo para rectificarlo por favor.
el ejercicio 2 de sucesiones esta mal correjido ya que te dan el quinto y sexto termino, la diferencia es 12, y se ha copiado y pegado la respuesta del 1 en el 2
Hola podrías hacerme el favor de darme mas detalles pues no encontré el ejercicio que mencionas, nos ayudaría mucho.
en el ejercicio Nro. 5 hay una inconsistencia: para hallar a 1 seria 479 = a1 + 39(5) entonces 39*5 = 195 —- al despejar 479 -195 = a1 el resultado seria a1 = 284 ___ que seria el primer termino de la progresion …. entonces la progresion quedaria, así:
284 , 289 , 294 , 299 , 304 , 309 ,314 ,319, 324, 329, 334…
Hola agradecemos tus observaciones, pero no encontré el ejercicio que mencionas para poder corregirlo, podrías ser mas especifico seria de mucha ayuda.
hola podrias darme una idea de como podria hacer este ejercicio aplicando al formula CORRECTA Pedro ha decidido tomar un tour en sus vacaciones, para lo cual decide ahorrar de tal forma que el primer mes ahorra $ 300 y, luego, cada mes ahorra 3 veces lo ahorrado el mes anterior y así sucesivamente. ¿Cuánto ahorra al noveno mes?