Las progresiones aritméticas son una secuencia de números en la que cada término, después del primero, se obtiene sumando una constante, conocida como la diferencia común, al término anterior. Este tipo de sucesión es fundamental en matemáticas y se aplica en diversas áreas, como la economía, la estadística y la programación.
En este artículo, presentaremos una serie de ejercicios resueltos que ilustran los conceptos clave de las progresiones aritméticas, desde la identificación de términos hasta la suma de secuencias.
El cuarto término de una progresión aritmética es
, y el sexto es
. Escribe la progresión
1 Los datos que sabemos sobre la progresión son:
y 
2 Una progresión aritmética cumple con la expresión:

3 Sustituimos los datos y obtenemos la diferencia "
" entre los términos de la progresión:

4 Obtenemos el valor del primer término de la progresión:


5 La progresión aritmética es:

El segundo término de una progresión aritmética es
, y el séptimo es
. Escribe la progresión
1 Los datos que sabemos sobre la progresión son:
y 
2 Una progresión aritmética cumple con la expresión:

3 Sustituimos los datos y obtenemos la diferencia "
" entre los términos de la progresión:

4 Obtenemos el valor del primer término de la progresión:


5 La progresión aritmética es:

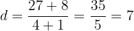
El quinto término de una progresión aritmética es
, y el noveno es
. Escribe la progresión
1 Los datos que sabemos sobre la progresión son:
y 
2 Una progresión aritmética cumple con la expresión:

3 Sustituimos los datos y obtenemos la diferencia "
" entre los términos de la progresión:

4 Obtenemos el valor del primer término de la progresión:


5 La progresión aritmética es:

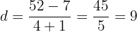
El término 20 de una progresión aritmética es
, y el término 35 es
. Escribe la progresión
1 Los datos que sabemos sobre la progresión son:
y 
2 Una progresión aritmética cumple con la expresión:

3 Sustituimos los datos y obtenemos la diferencia "
" entre los términos de la progresión:

4 Obtenemos el valor del primer término de la progresión:


5 La progresión aritmética es:

El término 40 de una progresión aritmética es
, y el término 85 es
. Escribe la progresión
1 Los datos que sabemos sobre la progresión son:
y 
2 Una progresión aritmética cumple con la expresión:

3 Sustituimos los datos y obtenemos la diferencia "
" entre los términos de la progresión:

4 Obtenemos el valor del primer término de la progresión:


5 La progresión aritmética es:

Escribir tres medios aritméticos entre
y 
1 Los datos que tenemos son:
y 
2 Para encontrar la diferencia entre los términos de la progresión se utiliza la fórmula:

3 Sustituimos y resolvemos:

4 La progresión es:

Escribir tres medios aritméticos entre
y 
1 Los datos que tenemos son:
y 
2 Para encontrar la diferencia entre los términos de la progresión se utiliza la fórmula:

3 Sustituimos y resolvemos:

4 La progresión es:

Interpolar tres medios aritméticos entre
y 
1 Los datos que tenemos son:
y 
2 Para encontrar la diferencia entre los términos de la progresión se utiliza la fórmula:

3 Sustituimos y resolvemos:

4 La progresión es:

Interpolar 4 medios aritméticos entre
y 
1 Los datos que tenemos son:
y 
2 Para encontrar la diferencia entre los términos de la progresión se utiliza la fórmula:

3 Sustituimos y resolvemos:

4 La progresión es:

Interpolar 4 medios aritméticos entre
y 
1 Los datos que tenemos son:
y 
2 Para encontrar la diferencia entre los términos de la progresión se utiliza la fórmula:

3 Sustituimos y resolvemos:

4 La progresión es:

El primer término de una progresión aritmética es
, y el décimo quinto es
. Hallar la diferencia y la suma de los quince primeros términos
1 Los datos que tenemos son:
y 
2 En una progresión aritmética se cumple que:

3 Sustituimos los datos:



4 La diferencia entre los términos es 
5 Para calcular la suma de los primeros
términos usamos la fórmula:


El primer término de una progresión aritmética es
, y el quinto es
. Hallar la suma de los cinco primeros términos
1 Los datos que tenemos son:
y 
2 En una progresión aritmética se cumple que:

3 Sustituimos los datos:



4 La diferencia entre los términos es 
5 Para calcular la suma de los primeros
términos usamos la fórmula:


Hallar la suma de los quince primeros múltiplos de 
1 Los datos que tenemos son:
,
y 
2 En una progresión aritmética se cumple que:

3 Sustituimos los datos para obtener el decimoquinto término:


4 Para calcular la suma de los primeros
términos usamos la fórmula:


Hallar la suma de los quince primeros números acabados en 
1 Los datos que tenemos son:
,
y 
2 En una progresión aritmética se cumple que:

3 Sustituimos los datos para obtener el decimoquinto término:


4 Para calcular la suma de los primeros
términos usamos la fórmula:


Hallar la suma de los quince primeros números pares mayores que 
1 Los datos que tenemos son:
,
y 
2 En una progresión aritmética se cumple que:

3 Sustituimos los datos para obtener el decimoquinto término:


4 Para calcular la suma de los primeros
términos usamos la fórmula:


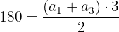
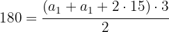
Hallar los ángulos de un triángulo, sabiendo que están en progresión aritmética, siendo 
1 Sabemos que la suma de los ángulos interiores de un triángulo es
por lo que sustituyendo en la fórmula de la suma de los primeros términos obtenemos:

2 También, sabemos que entre el primer y tercer término existe la siguiente relación:

3 Sustituyendo la segunda expresión en la primera obtenemos:




Hallar los ángulos de un cuadrilátero convexo, sabiendo que están en progresión aritmética, siendo 
1 Sabemos que la suma de los ángulos interiores de un cuadrilátero es
por lo que sustituyendo en la fórmula de la suma de los primeros términos obtenemos:

2 También, sabemos que entre el primer y cuarto término existe la siguiente relación:

3 Sustituyendo la segunda expresión en la primera obtenemos:





El cateto menor de un triángulo rectángulo mide
cm. Calcula los otros dos, sabiendo que los lados del triángulo forman una progresión aritmética
1 Calculamos los otros dos, sabiendo que los lados del triángulo forman una progresión aritmética.


2 Aplicamos el teorema de Pitágoras





3 Resolvemos mediante la formula general para ecuaciones de segundo grado:





4 Cómo el resultado no puede ser negativo, obtenemos:

5 La solución negativa no es válida porque la longitud de los lados de un triángulo tiene que ser positiva

Calcula tres números en progresión aritmética, que suman
y siendo la suma de sus cuadrados 
1 Consideremos que el término central es 
2 El primer término se expresaría como: 
3 El tercer término se expresaría como: 
4 La suma de los tres términos es
, así que:


5 La suma de los cuadrados de los
números es
, por lo que podemos escribir:







6 Tenemos dos progresiones que cumplen la condición (Una para el valor positivo de '
' y otra para el valor negativo)

Calcula tres números en progresión aritmética, que suman
y siendo la suma de sus cuadrados 
1 Consideremos que el término central es 
2 El primer término se expresaría como: 
3 El tercer término se expresaría como: 
4 La suma de los tres términos es
, así que:


5 La suma de los cuadrados de los
números es
, por lo que podemos escribir:







6 Tenemos dos progresiones que cumplen la condición (Una para el valor positivo de '
' y otra para el valor negativo)


Resumir con IA:

Apuntes es una plataforma dirigida al estudio y la práctica de las matemáticas a través de la teoría y ejercicios interactivos que ponemos a vuestra disposición. Esta información está disponible para todo aquel/aquella que quiera profundizar en el aprendizaje de esta ciencia. Será un placer ayudaros en caso de que tengáis dudas frente algún problema, sin embargo, no realizamos un ejercicio que nos presentéis de 0 sin que hayáis si quiera intentado resolverlo. Ánimo, todo esfuerzo tiene su recompensa.
el ejercicio 5 es incorrecto, asumiendo que el primer termino de la sucesión sea 679 tal como se concluye, entonces seria incongruente que a sub 40 sea igual a 400 algo, pues solo seria posible en caso de que la diferencia fuera negativa, pero en la explicacion del mismo ejercicio queda explicito que no.
Hola, agracemos tus observaciones, pero los datos que mencionas no los encontré en el artículo, podrías mencionarme el nombre del mismo para rectificarlo por favor.
el ejercicio 2 de sucesiones esta mal correjido ya que te dan el quinto y sexto termino, la diferencia es 12, y se ha copiado y pegado la respuesta del 1 en el 2
Hola podrías hacerme el favor de darme mas detalles pues no encontré el ejercicio que mencionas, nos ayudaría mucho.
en el ejercicio Nro. 5 hay una inconsistencia: para hallar a 1 seria 479 = a1 + 39(5) entonces 39*5 = 195 —- al despejar 479 -195 = a1 el resultado seria a1 = 284 ___ que seria el primer termino de la progresion …. entonces la progresion quedaria, así:
284 , 289 , 294 , 299 , 304 , 309 ,314 ,319, 324, 329, 334…
Hola agradecemos tus observaciones, pero no encontré el ejercicio que mencionas para poder corregirlo, podrías ser mas especifico seria de mucha ayuda.
hola podrias darme una idea de como podria hacer este ejercicio aplicando al formula CORRECTA Pedro ha decidido tomar un tour en sus vacaciones, para lo cual decide ahorrar de tal forma que el primer mes ahorra $ 300 y, luego, cada mes ahorra 3 veces lo ahorrado el mes anterior y así sucesivamente. ¿Cuánto ahorra al noveno mes?