Continuamos con nuestro estudio de las formas de indeterminación que resultan al calcular límites de sucesiones. En este artículo discutiremos cómo resolver los límites en los cuales tenemos la indeterminación del tipo
es decir, dadas dos sucesiones
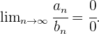
y
tales que
entonces 
Para resolver este tipo de límites tenemos dos maneras:
Transformación al tipo infinito sobre infinito
Esta forma consiste en transformar la indeterminación del tipo
al tipo
y así resolver el límite usando la teoría empleada en este tipo de indeterminaciones. Esta transformación consiste en el hecho de que, si

y 
cuando
, entonces se tiene

Este método suele emplearse cuando las sucesiones involucradas son fáciles de manejar algebraicamente. Veamos un ejemplo.
Ejemplo: 1Dadas las sucesiones
cualcular el límite 
Solución:
Como podemos ver, tanto
cuando
. Así, el límite que queremos calcular es del tipo de indeterminación
, por lo tanto lo transformamos al tipo
como sigue:
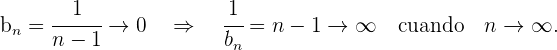
Dado que 
De la misma manera, dado que 
Así, nuestro límite es del tipo
. Ahora, resolvemos este manipulándolo algrabraicamente y dividiendo entre
tanto el numerador como el denominador:

Así, finalmente obtenemos que

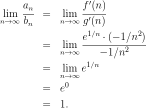
Usando la regla de L'Hopital para sucesiones
Esté método consiste en tomar a las sucesiones como funciones de la variable
. Así, si 
y
las cuales son diferenciables cuando
, entonces

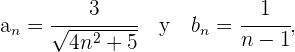
Ejemplo: 1 Dadas las sucesiones

calcular 
Solución:
Nótese que tenemos la indeterminación
:

Así, sea 
Ambas funciones son diferenciables cuando
. Por lo tanto

Así, finalmente obtenemos que

Resumir con IA:









Apuntes es una plataforma dirigida al estudio y la práctica de las matemáticas a través de la teoría y ejercicios interactivos que ponemos a vuestra disposición. Esta información está disponible para todo aquel/aquella que quiera profundizar en el aprendizaje de esta ciencia. Será un placer ayudaros en caso de que tengáis dudas frente algún problema, sin embargo, no realizamos un ejercicio que nos presentéis de 0 sin que hayáis si quiera intentado resolverlo. Ánimo, todo esfuerzo tiene su recompensa.
el ejercicio 5 es incorrecto, asumiendo que el primer termino de la sucesión sea 679 tal como se concluye, entonces seria incongruente que a sub 40 sea igual a 400 algo, pues solo seria posible en caso de que la diferencia fuera negativa, pero en la explicacion del mismo ejercicio queda explicito que no.
Hola, agracemos tus observaciones, pero los datos que mencionas no los encontré en el artículo, podrías mencionarme el nombre del mismo para rectificarlo por favor.
el ejercicio 2 de sucesiones esta mal correjido ya que te dan el quinto y sexto termino, la diferencia es 12, y se ha copiado y pegado la respuesta del 1 en el 2
Hola podrías hacerme el favor de darme mas detalles pues no encontré el ejercicio que mencionas, nos ayudaría mucho.
en el ejercicio Nro. 5 hay una inconsistencia: para hallar a 1 seria 479 = a1 + 39(5) entonces 39*5 = 195 —- al despejar 479 -195 = a1 el resultado seria a1 = 284 ___ que seria el primer termino de la progresion …. entonces la progresion quedaria, así:
284 , 289 , 294 , 299 , 304 , 309 ,314 ,319, 324, 329, 334…
Hola agradecemos tus observaciones, pero no encontré el ejercicio que mencionas para poder corregirlo, podrías ser mas especifico seria de mucha ayuda.
hola podrias darme una idea de como podria hacer este ejercicio aplicando al formula CORRECTA Pedro ha decidido tomar un tour en sus vacaciones, para lo cual decide ahorrar de tal forma que el primer mes ahorra $ 300 y, luego, cada mes ahorra 3 veces lo ahorrado el mes anterior y así sucesivamente. ¿Cuánto ahorra al noveno mes?