Resuelve los siguientes problemas:
Se quieren colocar 8 montones de libros de forma que en el primero se pongan 2 libros y en cada uno de ellos dos más que en el anterior. ¿Cuántos libros se quieren colocar en total?
Este campo es obligatorio.
Los montones de libros que se quieren colocar corresponden a los 8 primeros términos de la progresión aritmética
, cuya distancia es
.
Por tanto, 
Entonces, el número de libros que se quiere colocar es la suma de los ocho primeros términos de esta sucesión:

Por tanto, se prentenden colocar 72 libros.
El cateto mayor de un triángulo rectángulo mide 16 cm. Halla la medida de los otros dos lados sabiendo que los tres lados del triángulo están en progresión aritmética.
Hipotenusa
Cateto menor
Este campo es obligatorio.
Organizamos la información:
Cateto menor 
Cateto mayor 
Hipotenusa 
Diferencia 
Por tratarse de una progresión aritmética se verifica:


Por otro lado, aplicando el teorema de Pitágoras se tiene:

Sustituyendo los valores de a1, a2 y a3 en la expresión anterior se tiene:




Por tanto, la distancia de la progresión aritmética que siguen los lados de este triángulo es
.
Así tendremos:
Hipotenusa 
Cateto menor 
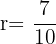
Calcula la fracción generatriz del número decimal periódico exacto mediante la suma de una progresión geométrica:
= /
Este campo es obligatorio.

Podemos escribir este número como:

Observemos que el número resulta ser la suma de 2 más la suma de los términos de la progresión geométrica determinada por:
y 
Entonces, pordemos escribir:

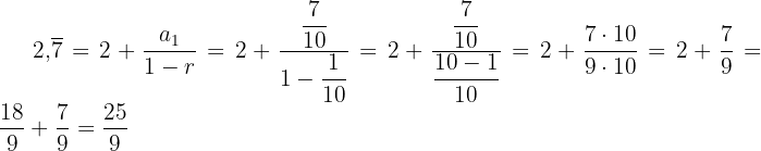
Calcula la fracción generatriz del número decimal periódico mixto mediante la suma de una progresión geométrica:
=/
Este campo es obligatorio.

Podemos escribir este número como:

Observemos que el número resulta ser la suma de
más la suma de los términos de la progresión geométrica determinada por:
y 
Entonces, pordemos escribir:

¿No te aclaras? ¡Que te ayude un profesor de mates de Superprof!
Dado un cuadrado de lado 2 cm, construimos otro dentro de él sobre los puntos medios de sus lados y por el mismo proceso otro cuadrado dentro de este mismo y así sucesivamente. Calcula la suma de las áreas de los infinitos cuadrados construidos de esta manera.

Este campo es obligatorio.

Llamamaos
al área del cuadrado de partida,
al área del segundo cuadrado costruido,
al siguiente y así sucesivamente.

Para hallar el área de
debemos calcular la medida de su lado, para lo que basta observar el triángulo rectángulo que se señala en la figura y averiguar la medida de su hipotenusa. 
Cada cateto mide
por ser la mitad del lado del cuadrado original.
Entonces tenemos:
Por ser
una medida sólo nos quedamos con la solución positiva, con lo que


Para hallar el área de
debemos calcular la medida de su lado, para lo que basta observar el triángulo rectángulo que se señala en la figura y averiguar la medida de su hipotenusa. 
Cada cateto mide
por ser la mitad del lado del cuadrado anterior.
Entonces tenemos:
Por ser
una medida sólo nos quedamos con la solución positiva, con lo que


Para hallar el área de
debemos calcular la medida de su lado, para lo que basta observar el triángulo rectángulo que se señala en la figura y averiguar la medida de su hipotenusa. 
Cada cateto mide
por ser la mitad del lado del cuadrado anterior.
Entonces tenemos:
Por ser h una medida sólo nos quedamos con la solución positiva, con lo que

Las áreas de los cuadrados forman una progresión geométrica:
de razón
Por tanto, la suma infifinita de 
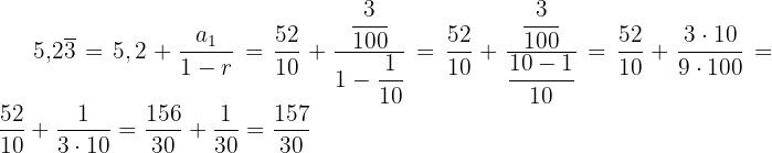
Calcula la suma de todos los números pares de 3 cifras.
Este campo es obligatorio.
Observemos que los número pares de 3 cifras pertenecen a la progresión aritmética
cuya distancia es 
Además la cantidad de números pares de tres cifras es la cantidad de números pares que hay entre 100 y 998. Calculemos dicha cantidad:





Por tanto, nuestro problema se reduce a calcular la suma de los 450 primero términos de la progresión aritmética 

Sabiendo que
y
son tres números que se encuentran en progresión geométrica, calcula el valor de
.

¿Sabrías decir cuál es la razón de esta progresión geométrica?

Este campo es obligatorio.







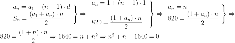
Un coronel que está a cargo de un pelotón de 820 soldados, quiere formarlos en triángulo, de manera que la primera fila tenga 1 soldado, la segunda 2, la tercera 3 y así sucesivamente. ¿Cuántas filas se formarán?
Este campo es obligatorio.

Observemos que la colocación de los soldados por filas forma una progresión aritmética
de distancia
, cuyo primer término es
y cuya suma es 
Lo que debemos hallar es el valor de
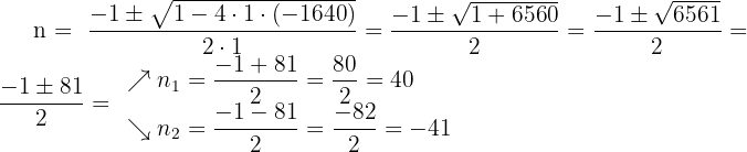
.


La solución negativa no es válida, porque nos referimos al número de filas que formarán los soldados.
Por tanto, se formarán 40 filas.
Un pentágono cuyo perímetro es de
tiene sus lados en progresion aritmética. Sabiendo que el lado mayor es de
, ¿sabrías decir cuál es la medida del lado menor?

Este campo es obligatorio.
Como las medidas de los lados están en progresión aritmética existe una diferencia
de modo que las medidas de los lados, de mayor a menor, serán:





Entonces como el perímetro es de
, se tiene:




Entonces, la medida del lado menor es 
La campana de la iglesia del pueblo de Juan marca cada hora dando tantas campanadas como indique dicha hora. Además, cada media hora da una campanada. Indica el número de campanadas que da a lo largo de un día.
campanadas
Este campo es obligatorio.
En primer lugar, como cada media hora da una campanada y un día tiene 24 horas, estas campanadas sumarán un total de 24, pues debemos tener en cuenta que la campanada de la "hora 24 y media" ya correspondería a un nuevo día.
Las campanadas que se dan cada hora en punto siguen una progresión aritmética cuyo primer término es
y
. Entonces, para saber el número total de campanadas que se dan tendremos que calcular la suma de los 12 primeros términos de esta progresión aritmética y después la suma de los 11 primeros términos.
Nota: Aunque en principio habrías podido pensar que había que calcular la suma de los 24 primeros términos, ten en cuenta que las horas que se dan son analógicas, con lo que tras las 12 del medio día no se darían 13 campanadas sino 1 para marcar las 13:00 h, no se darían 14 campanadas sino 2 para marcar las 14:00 h y así sucesivamente. Además no contemplamos en la segunda vuelta los 12 primeros términos sino sólo los 11 primeros, porque el duodécimo ya correspondería a las 12 de la noche que se considera parte del día siguente.
Entonces, calculamos:



Entonces, el número total de campanadas que se dan en un día son:
Si tienes dudas puedes consultar la teoría
Resumir con IA:

Apuntes es una plataforma dirigida al estudio y la práctica de las matemáticas a través de la teoría y ejercicios interactivos que ponemos a vuestra disposición. Esta información está disponible para todo aquel/aquella que quiera profundizar en el aprendizaje de esta ciencia. Será un placer ayudaros en caso de que tengáis dudas frente algún problema, sin embargo, no realizamos un ejercicio que nos presentéis de 0 sin que hayáis si quiera intentado resolverlo. Ánimo, todo esfuerzo tiene su recompensa.
el ejercicio 5 es incorrecto, asumiendo que el primer termino de la sucesión sea 679 tal como se concluye, entonces seria incongruente que a sub 40 sea igual a 400 algo, pues solo seria posible en caso de que la diferencia fuera negativa, pero en la explicacion del mismo ejercicio queda explicito que no.
Hola, agracemos tus observaciones, pero los datos que mencionas no los encontré en el artículo, podrías mencionarme el nombre del mismo para rectificarlo por favor.
el ejercicio 2 de sucesiones esta mal correjido ya que te dan el quinto y sexto termino, la diferencia es 12, y se ha copiado y pegado la respuesta del 1 en el 2
Hola podrías hacerme el favor de darme mas detalles pues no encontré el ejercicio que mencionas, nos ayudaría mucho.
en el ejercicio Nro. 5 hay una inconsistencia: para hallar a 1 seria 479 = a1 + 39(5) entonces 39*5 = 195 —- al despejar 479 -195 = a1 el resultado seria a1 = 284 ___ que seria el primer termino de la progresion …. entonces la progresion quedaria, así:
284 , 289 , 294 , 299 , 304 , 309 ,314 ,319, 324, 329, 334…
Hola agradecemos tus observaciones, pero no encontré el ejercicio que mencionas para poder corregirlo, podrías ser mas especifico seria de mucha ayuda.
hola podrias darme una idea de como podria hacer este ejercicio aplicando al formula CORRECTA Pedro ha decidido tomar un tour en sus vacaciones, para lo cual decide ahorrar de tal forma que el primer mes ahorra $ 300 y, luego, cada mes ahorra 3 veces lo ahorrado el mes anterior y así sucesivamente. ¿Cuánto ahorra al noveno mes?