Infinito no es un número, las operaciones que realizamos con
son simplemente un recurso para ayudarnos a resolver límites.
Ejercicios propuestos de sucesiones
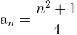
Demuestra que la sucesión
tiene límite
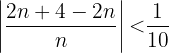
. Averigua los términos cuya distancia a
es menor que

Para averiguar los términos de la sucesión
cuya distancia a
es menos a
, tenemos que resolver la siguiente inecuación: 



A partir de
la distancia a
será menor que una decima.
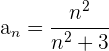
Probar que la sucesión
tiene por limite
y averiguar cuántos términos de la sucesión están fuera del entorno
.
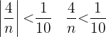
Para averiguar los términos de la sucesión
cuya distancia a
quedan fuera del entorno
, tenemos que resolver la siguiente inecuación: 



Quedan fuera del entorno los mil primeros términos de la sucesión.
Demuestra que la sucesión
tiene por limite 1 y averiguar cuántos términos de la sucesión están fuera del entorno
.
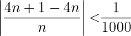
Para averiguar los términos de la sucesión
cuya distancia a
quedan fuera del entorno
, tenemos que resolver la siguiente inecuación: 




Los primeros
términos quedan fuera del entorno.
Probar que
. Averigua los términos cuya distancia al límite es menor que 0.01.
Para averiguar los términos de la sucesión
cuyo límite es
son menores que
, tenemos que resolver la siguiente inecuación: 



Haciendo el proceso inverso en los dos miembros: 
A partir de
la distancia al límite será menor que una centésima.
Demuestra que la sucesión
tiene por limite
. Y calcula cuántos términos de la sucesión son menores que un millón.
Para averiguar cuántos son los términos de la sucesión
que tienen por límite
, tenemos que resolver la siguiente inecuación: 




No llegan al millón los 1999 primeros términos de la sucesión.
Demuestra que la sucesión
tiene por limite
. Y calcula a partir de que término la sucesión toma valores menores que
.
Vamos a comprobar que el límite de la sucesión
es
.
Recordemos que cuando multiplicamos o dividimos por un número negativo la desigualdad cambia

Si tomamos
, su raíz cuadrada es
, por tanto a partir de
superará a
.

Ejercicios propuestos de límites de sucesiones
Ejercicios de límites de sucesiones de la forma 

Factorizando
:



Dividimos cada factor tanto del numerador como del denominador por


Dividimos cada factor tanto del numerador como del denominador por 


Multiplicando y dividiendo por el binomio conjugado

Dividimos cada factor tanto del numerador como del denominador por
, recuerda que cuando la
dentro de la raíz pasa como 



Dividimos cada factor tanto del numerador como del denominador por
, recuerda que cuando la
dentro de la raíz pasa como 


Ejercicios propuestos de límites de sucesiones de la forma 

Dividimos cada factor tanto del numerador como del denominador por 



Dividimos cada factor tanto del numerador como del denominador por
, recuerda que cuando la
dentro de la raíz pasa como 



Dividimos cada factor tanto del numerador como del denominador por 



Dividimos cada factor tanto del numerador como del denominador por 



Dividimos cada factor tanto del numerador como del denominador por
, recuerda que cuando la
dentro de la raíz cubica pasa como



Dividimos cada factor tanto del numerador como del denominador por
, recuerda que cuando la
dentro de la raíz pasa como 



Separando 
y lo mismo para
, posteriormente dividiendo por 

Ejercicios propuestos de límites de sucesiones de la forma
y 

Introducimos el primer factor en la raíz, se transforma a
.
Dividiendo tanto el numerador como el denominador por 




Se transforma al tipo
. 
Dividimos cada factor tanto del numerador como del denominador por
, recuerda que cuando la
dentro de la raíz pasa como 



Se transforma al tipo
.

Dividimos cada factor tanto del numerador como del denominador por 



Se transforma al tipo
.
Dividimos cada factor tanto del numerador como del denominador dentro de la raíz por 



Se transforma al tipo
. Dividimos cada factor tanto del numerador como del denominador por
, recuerda que cuando la
dentro de la raíz pasa como

Ejercicios propuestos de límites de sucesiones de la forma 
Para estos ejercicios es importante recordar las siguientes propiedades:
. Donde
es cualquier número positivo.

Evaluando directamente tanto el límite de la potencia como el límite de la base:


Evaluando directamente tanto el límite de la potencia como el límite de la base:


Evaluando directamente tanto el límite de la potencia como el límite de la base:


Evaluando directamente tanto el límite de la potencia como el límite de la base:


Evaluando directamente tanto el límite de la potencia como el límite de la base:


Evaluando directamente tanto el límite de la potencia como el límite de la base:


Evaluando directamente tanto el límite de la potencia como el límite de la base:



Ejercicios propuestos de límites de sucesiones de la forma 










Ejercicios propuestos de límites de sucesiones aritméticas y geométricas

El numerador es la suma de los términos de una progresión aritmética.


Tenemos la suma de infinitos términos de una progresión geométrica.

Ejercicios propuestos de límites de sucesiones raíz


En este ejercicio aplicamos en el penúltimo paso, la formula de la progresión geométrica infinita.

Observemos que

Entonces
Siendo el exponente la suma ilimitada de una progresión geométrica decreciente es:

Resumir con IA:









Apuntes es una plataforma dirigida al estudio y la práctica de las matemáticas a través de la teoría y ejercicios interactivos que ponemos a vuestra disposición. Esta información está disponible para todo aquel/aquella que quiera profundizar en el aprendizaje de esta ciencia. Será un placer ayudaros en caso de que tengáis dudas frente algún problema, sin embargo, no realizamos un ejercicio que nos presentéis de 0 sin que hayáis si quiera intentado resolverlo. Ánimo, todo esfuerzo tiene su recompensa.
el ejercicio 5 es incorrecto, asumiendo que el primer termino de la sucesión sea 679 tal como se concluye, entonces seria incongruente que a sub 40 sea igual a 400 algo, pues solo seria posible en caso de que la diferencia fuera negativa, pero en la explicacion del mismo ejercicio queda explicito que no.
Hola, agracemos tus observaciones, pero los datos que mencionas no los encontré en el artículo, podrías mencionarme el nombre del mismo para rectificarlo por favor.
el ejercicio 2 de sucesiones esta mal correjido ya que te dan el quinto y sexto termino, la diferencia es 12, y se ha copiado y pegado la respuesta del 1 en el 2
Hola podrías hacerme el favor de darme mas detalles pues no encontré el ejercicio que mencionas, nos ayudaría mucho.
en el ejercicio Nro. 5 hay una inconsistencia: para hallar a 1 seria 479 = a1 + 39(5) entonces 39*5 = 195 —- al despejar 479 -195 = a1 el resultado seria a1 = 284 ___ que seria el primer termino de la progresion …. entonces la progresion quedaria, así:
284 , 289 , 294 , 299 , 304 , 309 ,314 ,319, 324, 329, 334…
Hola agradecemos tus observaciones, pero no encontré el ejercicio que mencionas para poder corregirlo, podrías ser mas especifico seria de mucha ayuda.
hola podrias darme una idea de como podria hacer este ejercicio aplicando al formula CORRECTA Pedro ha decidido tomar un tour en sus vacaciones, para lo cual decide ahorrar de tal forma que el primer mes ahorra $ 300 y, luego, cada mes ahorra 3 veces lo ahorrado el mes anterior y así sucesivamente. ¿Cuánto ahorra al noveno mes?