Completa los huecos para formar fracciones equivalentes a las dadas:
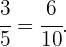
| 1 | ![]() | = | |
![]() | ![]() |
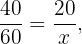
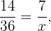
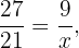
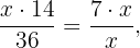
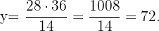
El valor que debemos encontrar lo llamaremos
. Así, tenemos la siguiente igualdad
Multiplicando por
en ambos lados de la igualdad tenemos que
Por lo tanto el valor buscado es
, luego 
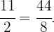
| 2 | ![]() | = | ![]() |
![]() |
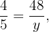
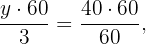
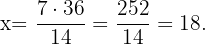
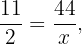
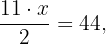
En este caso tenemos que el valor desconocido, llamado
, se encuentra en el denominador de la fracción. Para encontrar el valor de
, solo debemos despejarlo de la siguiente ecuación
De esta forma 
| 3 | ![]() | = | ![]() |
![]() |
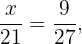
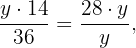
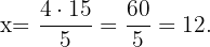
Para este ejercicio, procedemos de manera análoga al problema anterior. Debemos despejar el valor de
, de la siguiente ecuación
Por lo tanto 
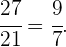
| 4 | ![]() | = | = | ![]() | |
![]() | ![]() |
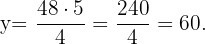
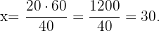
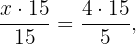
En este ejercicio debemos hallar dos fracciones equivalentes a
. Tenemos dos valores desconocidos que llamaremos
y
. Para hallarlos debemos resolver las siguiente ecuaciones
Resolviendo para el valor de
se tiene que
Resolviendo para el valor de
se sigue
Así, concluimos que
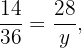
| 5 | ![]() | = | ![]() | = | |
![]() | ![]() |
Notemos que debemos hallar dos valores
y
. El objetivo es encontrar dos fracciones equivalentes a
. Para encontrarlas debemos resolver el siguiente par de ecuaciones
Resolviendo para el valor de
se tiene
Resolviendo para el valor de
encontramos que
Por tanto, la siguiente cadena de igualdades es válida
| 6 | ![]() | = | ![]() | = | ![]() |
![]() |
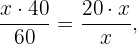
Para completar los huecos y formar fracciones equivalentes a
, es necesario encontrar dos valores desconocidos
y
. Para ello resolveremos las siguientes ecuaciones
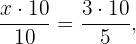
Resolviendo para el valor de
se tiene
Para encontrar el valor de
hacemos
Entonces, se dan las siguientes igualdades
Si tienes dudas puedes consultar la teoría
Resumir con IA:



















Apuntes es una plataforma dirigida al estudio y la práctica de las matemáticas a través de la teoría y ejercicios interactivos que ponemos a vuestra disposición. Esta información está disponible para todo aquel/aquella que quiera profundizar en el aprendizaje de esta ciencia. Será un placer ayudaros en caso de que tengáis dudas frente algún problema, sin embargo, no realizamos un ejercicio que nos presentéis de 0 sin que hayáis si quiera intentado resolverlo. Ánimo, todo esfuerzo tiene su recompensa.
El ejercicio 10 de Simplificación de Fracciones esta mal hecho. En la multiplicación de fracciones se multiplica numero con numerador y denominado con denominador, no se suma nada. Habéis cometido un error
Hola tienes razón en la multiplicación de fracciones se multiplica de manera directa numerador por numerador y denominador por denominador, pero no encontré el error que mencionas, podrías dar mas detalles por favor.
Si van a poner ejercicio pónganlo bien si van a poner división póngame en el signo de división si van a poner multiplicación ponga bien el signo de multiplicación
Fracciónes y la unidad que representan problemas de la vida diaria usando las fracciones y las unidades que representan
La mitad y la mitad
En otro problema podemos ver qué está fracciones y litros ahí podemos ver los litros de agua y que tienes que saber cuántos litros de agua quedan
Por lo tanto quedan 90 litros de agua en el tanque
Hola, muchas gracias por tu aportación.
Hola lamentamos los errores cometidos, podrías hacernos el favor de mencionarnos donde están las fallas para poder corregirlas.
En el ejercicio dos no da esa respuesta
Hola el artículo que revise hay varios ejercicios 2, pero no encontré el error que mencionas, podrías dar mas detalles por favor, así se podrá corregir.