Capítulos
Definición de los números racionales
Se llama número racional a todo número que puede representarse como el cociente de dos enteros, con denominador distinto de cero. En otras palabras, un número racional tiene la forma
en donde
y
son números enteros.
Ejemplos
- Todo número entero es racional, esto ya que si
es entero, entonces podemos expresarlo como
, por ejemplo,
es racional por que
Representación de números racionales
Los números racionales se representan en la recta junto a los números enteros.
1 Tomamos un segmento de longitud la unidad, por ejemplo.
2 Trazamos un segmento auxiliar desde el origen y lo dividimos en las partes que deseemos. En nuestro ejemplo, lo dividimos en
partes.
3 Unimos el último punto del segmento auxiliar con el extremo del otro segmento y trazamos segmentos paralelos en cada uno de los puntos, obtenidos en la partición del segmento auxiliar.

En la práctica se utilizan número racional y fracción como sinónimos.
Operaciones en los números racionales
Las operaciones aritméticas en los números racionales se definen de la siguiente manera
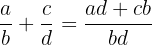
1. Suma de fracciones
Dadas dos fracciones
y
, definimos la suma como
.
Cuando el denominador es el mismo en ambas fracciones,
y
, la suma es más sencilla
.
Ejemplos
.
.
2. Resta de fracciones
Dadas dos fracciones
y
, definimos la resta como
.
Cuando el denominador es el mismo en ambas fracciones,
y
, la resta es más sencilla
.
Ejemplos
.
.
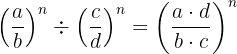
3. Multiplicación de fracciones
Dadas dos fracciones
y
, definimos la multiplicación como
.
Ejemplos
.
.
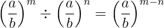
4. División de fracciones
Dadas dos fracciones
y
, definimos la división como
.
Ejemplos
.
.
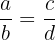
Propiedades de los números racionales
Los números raciones tienen algunas propiedades, por ejemplo
si y solo si se cumple que 
si y solo si se cumple que 


Resumir con IA:














Apuntes es una plataforma dirigida al estudio y la práctica de las matemáticas a través de la teoría y ejercicios interactivos que ponemos a vuestra disposición. Esta información está disponible para todo aquel/aquella que quiera profundizar en el aprendizaje de esta ciencia. Será un placer ayudaros en caso de que tengáis dudas frente algún problema, sin embargo, no realizamos un ejercicio que nos presentéis de 0 sin que hayáis si quiera intentado resolverlo. Ánimo, todo esfuerzo tiene su recompensa.
El ejercicio 10 de Simplificación de Fracciones esta mal hecho. En la multiplicación de fracciones se multiplica numero con numerador y denominado con denominador, no se suma nada. Habéis cometido un error
Hola tienes razón en la multiplicación de fracciones se multiplica de manera directa numerador por numerador y denominador por denominador, pero no encontré el error que mencionas, podrías dar mas detalles por favor.
Si van a poner ejercicio pónganlo bien si van a poner división póngame en el signo de división si van a poner multiplicación ponga bien el signo de multiplicación
Fracciónes y la unidad que representan problemas de la vida diaria usando las fracciones y las unidades que representan
La mitad y la mitad
En otro problema podemos ver qué está fracciones y litros ahí podemos ver los litros de agua y que tienes que saber cuántos litros de agua quedan
Por lo tanto quedan 90 litros de agua en el tanque
Hola, muchas gracias por tu aportación.
Hola lamentamos los errores cometidos, podrías hacernos el favor de mencionarnos donde están las fallas para poder corregirlas.
En el ejercicio dos no da esa respuesta
Hola el artículo que revise hay varios ejercicios 2, pero no encontré el error que mencionas, podrías dar mas detalles por favor, así se podrá corregir.