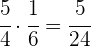
Pasos para multiplicar números racionales
1 Obtenemos el numerador por el producto de los numeradores.
2 Obtenemos el denominador por el producto de los denominadores.
Ejemplo:

Propiedades de la multiplicación de números racionales
Interna
El resultado de multiplicar dos números racionales es otro número racional.

Propiedad asociativa
El modo de agrupar los factores no varía el resultado.

Ejemplo:



Propiedad conmutativa
El orden de los factores no varía el producto.

Ejemplo


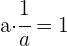
Elemento neutro
El
es el elemento neutro de la multiplicación, porque todo número multiplicado por él da el mismo número.

Ejemplo

Elemento inverso
Un número es inverso de otro si al multiplicarlos obtenemos como resultado el elemento unidad.

Ejemplo

Propiedad distributiva
El producto de un número por una suma es igual a la suma de los productos de dicho número por cada uno de los sumandos.

Ejemplo



Sacar factor común
Es el proceso inverso a la propiedad distributiva.
Si varios sumandos tienen un factor común, podemos transformar la suma en producto extrayendo dicho factor.

Ejemplo

División de números racionales
La división de dos números racionales es otro número racional que tiene:
Por numerador el producto de los extremos.
Por denominador el producto de los medios.

También podemos definir la división de dos números racionales como producto del primero por el inverso del segundo.

Resumir con IA:









Apuntes es una plataforma dirigida al estudio y la práctica de las matemáticas a través de la teoría y ejercicios interactivos que ponemos a vuestra disposición. Esta información está disponible para todo aquel/aquella que quiera profundizar en el aprendizaje de esta ciencia. Será un placer ayudaros en caso de que tengáis dudas frente algún problema, sin embargo, no realizamos un ejercicio que nos presentéis de 0 sin que hayáis si quiera intentado resolverlo. Ánimo, todo esfuerzo tiene su recompensa.
El ejercicio 10 de Simplificación de Fracciones esta mal hecho. En la multiplicación de fracciones se multiplica numero con numerador y denominado con denominador, no se suma nada. Habéis cometido un error
Hola tienes razón en la multiplicación de fracciones se multiplica de manera directa numerador por numerador y denominador por denominador, pero no encontré el error que mencionas, podrías dar mas detalles por favor.
Si van a poner ejercicio pónganlo bien si van a poner división póngame en el signo de división si van a poner multiplicación ponga bien el signo de multiplicación
Fracciónes y la unidad que representan problemas de la vida diaria usando las fracciones y las unidades que representan
La mitad y la mitad
En otro problema podemos ver qué está fracciones y litros ahí podemos ver los litros de agua y que tienes que saber cuántos litros de agua quedan
Por lo tanto quedan 90 litros de agua en el tanque
Hola, muchas gracias por tu aportación.
Hola lamentamos los errores cometidos, podrías hacernos el favor de mencionarnos donde están las fallas para poder corregirlas.
En el ejercicio dos no da esa respuesta
Hola el artículo que revise hay varios ejercicios 2, pero no encontré el error que mencionas, podrías dar mas detalles por favor, así se podrá corregir.