Reducción de fracciones a común denominador
Reducir varias fracciones a común denominador consiste en convertirlas en otras equivalentes y que tengan en común el mismo denominador. Para ello:
1 Determinamos el denominador común
El denominador común será el mínimo común múltiplo de los denominadores.
2 Calculamos los numeradores
Este denominador común se divide por cada uno de los denominadores que teníamos anteriormente, y se multiplica el cociente obtenido por el numerador correspondiente.
Ejemplo
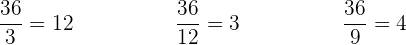
Reduce las siguientes fracciones a común denominador

Calculamos el mínimo común múltiplo de los denominadores: 3, 12 y 9.
Para ello primero expresamos los números en factores primos


Tomamos cada uno de los factores primos que aparezcan, a la potencia más grande que se muestre y los multiplicamos

2Calcular los numeradores
Primero consideramos el cociente entre el denominador común y los anteriores denominadores

Ese cociente lo multiplicamos por los numeradores correspondientes

Nuestra fracciones equivalentes son

Comparar fracciones
Fracciones con igual denominador
De dos fracciones que tienen el mismo denominador es menor la que tiene menor numerador.
Ejemplo:

Fracciones con igual numerador
De dos fracciones que tienen el mismo numerador es menor el que tiene mayor denominador.
Ejemplo:

Fracciones con numeradores y denominadores distintos
Para poder comparar fracciones con distinto numerador y denominador debemos encontrar las fracciones equivalentes con común denominador.
A partir de aquí podemos decir que será menor la fracción que tenga menor numerador.
Ejemplo:

Reducimos a común denominador

Es menor la que tiene menor numerador.

Resumir con IA:









Apuntes es una plataforma dirigida al estudio y la práctica de las matemáticas a través de la teoría y ejercicios interactivos que ponemos a vuestra disposición. Esta información está disponible para todo aquel/aquella que quiera profundizar en el aprendizaje de esta ciencia. Será un placer ayudaros en caso de que tengáis dudas frente algún problema, sin embargo, no realizamos un ejercicio que nos presentéis de 0 sin que hayáis si quiera intentado resolverlo. Ánimo, todo esfuerzo tiene su recompensa.
El ejercicio 10 de Simplificación de Fracciones esta mal hecho. En la multiplicación de fracciones se multiplica numero con numerador y denominado con denominador, no se suma nada. Habéis cometido un error
Hola tienes razón en la multiplicación de fracciones se multiplica de manera directa numerador por numerador y denominador por denominador, pero no encontré el error que mencionas, podrías dar mas detalles por favor.
Si van a poner ejercicio pónganlo bien si van a poner división póngame en el signo de división si van a poner multiplicación ponga bien el signo de multiplicación
Fracciónes y la unidad que representan problemas de la vida diaria usando las fracciones y las unidades que representan
La mitad y la mitad
En otro problema podemos ver qué está fracciones y litros ahí podemos ver los litros de agua y que tienes que saber cuántos litros de agua quedan
Por lo tanto quedan 90 litros de agua en el tanque
Hola, muchas gracias por tu aportación.
Hola lamentamos los errores cometidos, podrías hacernos el favor de mencionarnos donde están las fallas para poder corregirlas.
En el ejercicio dos no da esa respuesta
Hola el artículo que revise hay varios ejercicios 2, pero no encontré el error que mencionas, podrías dar mas detalles por favor, así se podrá corregir.