Capítulos
Definición de fracción
Una fracción es el cociente de dos números enteros
y
, que representamos de la siguiente forma:

Tipos de fracciones
Fracciones propias
Son aquellas cuyo numerador es menor que el denominador. Su valor comprendido está entre cero y uno. Ejemplos son

Fracciones impropias
Las fracciones impropias son aquellas cuyo numerador es mayor que el denominador. Su valor es mayor que
. Ejemplos son

Fracciones impropias
Las fracciones impropias son aquellas cuyo numerador es mayor que el denominador. Su valor es mayor que
. Ejemplos son

Clasifica las siguientes fracciones como propias o impropias

Procedamos a clasificar
- Propia

Procedamos a clasificar
- Propia

Procedamos a clasificar
- Impropia

Procedamos a clasificar
- Impropia

Procedamos a clasificar
- Impropia

Procedamos a clasificar
- Propia

Procedamos a clasificar
- Propia

Procedamos a clasificar
- Impropia
¿Necesitas un profesor particular de matematicas?
Numero mixto
Número mixto es el que está compuesto de parte entera y fraccionaria.
Para pasar de número mixto a fracción, se deja el mismo denominador y el numerador es la suma del producto del entero por el denominador más el numerador, del número mixto.
Para pasar una fracción impropia a número mixto, se divide el numerador por el denominador. El cociente es el entero del número mixto y el resto el numerador de la fracción, siendo el denominador el mismo.
Por ejemplo, si tenemos el número misxto
, para pasar a fracciones debemos de hacer lo siguiente
Por otro lado, para pasar de la fracción impropia
hacemos lo siguiente
Fracciones unidad y unitarias
Las fracciones unidad tienen el numerador igual al denominador. El valor numérico es igual a
. Ejemplos de fracciones unidad son los siguientes

Las fracciones unitarias tienen de numerador la unidad. Por ejemplo

Fracciones decimales
Las fracciones decimales tienen como denominador una potencia de
.

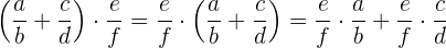
Fracciones equivalentes
Dos fracciones son equivalentes cuando el producto de extremos es igual al producto de medios, en otras palabras

en donde a
y
se les conoce como extremos y a
y
como medios.
Un ejemplo de dos fracciones equivalentes son

Lo mismo se muestra en la siguiente imagen


Comprueba si los siguientes pares de fracciones son equivalentes o no
y 
Procedamos a analizar si son equivalentes o no.
Notemos que el producto de los extremos es

mientras que le producto de los medios es

En pocas palabras, el producto de los medios es igual al producto de los extremos

por lo tanto sí son fracciones equivalentes.
y 
Procedamos a analizar si son equivalentes o no.
Notemos que el producto de los extremos es

mientras que le producto de los medios es

En pocas palabras, el producto de los medios es igual al producto de los extremos

por lo tanto sí son fracciones equivalentes.
y 
Procedamos a analizar si son equivalentes o no.
Notemos que el producto de los extremos es

mientras que le producto de los medios es

Como el producto de los medios no es igual al producto de los extremos

las fracciones no son equivalentes.
y 
Procedamos a analizar si son equivalentes o no.
Notemos que el producto de los extremos es

mientras que le producto de los medios es

En pocas palabras, el producto de los medios es igual al producto de los extremos

por lo tanto sí son fracciones equivalentes.
y 
Procedamos a analizar si son equivalentes o no.
Notemos que el producto de los extremos es

mientras que le producto de los medios es

Como el producto de los medios es no igual al producto de los extremos

las fracciones no equivalentes.
Notemos que si se multiplica o divide el numerador y denominador de una fracción por un número entero, distinto de cero, se obtiene otra fracción equivalente a la dada. Por ejemplo

esta última es una fracción equivalente. A este caso se le llama ampliar, esto debido a que multiplicamos.
Otro ejemplo sería

esta última es una fracción equivalente. A este caso se le llama simplificar, esto debido a que dividimos.
Fracciones Irreducibles
Las fracciones irreducibles son aquellas que no se pueden simplificar, esto sucede cuando el numerador y el denominador no tiene factor común alguno. Por ejemplo, las siguientes fracciones son irreducibles

Sin embargo, las siguiente fracción,
, no es irreducible

Reducción de fracciones a común denominador
Reducir varias fracciones a común denominador consiste en convertirlas en otras equivalentes que tengan el mismo denominador. Para ello:
1 Se determina el denominador común, que será el mínimo común múltiplo de los denominadores.
2 Este denominador, común, se divide por cada uno de los denominadores, multiplicándose el cociente obtenido por el numerador correspondiente.
Por ejemplo, consideremos las fracciones
y
, su común denominador es

Por lo tanto, podemos expresar ambas fracciones como

y

Comparación de fracciones
Podemos comparar dos fracciones según sus denominador y numerador. En general tenemos estos tres casos:
Fracciones con igual denominador
De dos fracciones que tienen el mismo denominador es menor el que tiene menor numerador.
Por ejemplo, consideremos las fracciones

ambas tienen el mismo denominador, sin embargo, como
, se tiene que

Fracciones con igual numerador
De dos fracciones que tienen el mismo numerador es menor el que tiene mayor denominador.
Por ejemplo, consideremos las fracciones

ambas tienen el mismo numerador, sin embargo, como
, se tiene que

Con numeradores y denominadores distintos
Notemos que este caso no es complicado. En primer lugar las tenemos que poner a común denominador. Una vez hecho esto comparamos directamente los numeradores ya que ahora tendrían mismo común denominador.
Por ejemplo, consideremos las fracciones

Tenemos que el mismo común denominador es
. Por lo tanto

Ahora, notemos que
, de donde se sigue que

o bien

Números racionales
Se llama número racional a todo número que puede representarse como el cociente de dos enteros, con denominador distinto de cero. Al conjunto de todos los números racionales lo denotamos como
.

Operaciones de números raciones
Suma y resta de números raciones
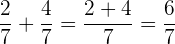
Cuando se tiene el mismo denominador símplemente se suman (o restan) los numeradores y se mantiene el denominador, por ejemplo, veamos la siguiente suma

o bien, la siguiente resta

Cuando se tienen distintos denominadores éstos se reducen a común denominador, y se suman (o restan) los numeradores de las fracciones equivalentes obtenidas. Por ejemplo, consideremos la siguiente suma

mínimo común denominador es
, por lo tanto

O bien, consideremos la siguiente resta

mínimo común denominador es
, por lo tanto

La operación de suma de los numéros racionales tiene las siguientes propiedades:
1 Cerrada. Se dice que una operación es cerrada cuando al operar dos elementos de un conjunto, sus resultados también pertenece a dicho conjunto. En pocas palabaras, si

entonces se tiene que

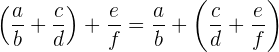
2 Asociatividad. La asociatividad nos dice que siempre se cumple que

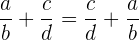
3 Conmutatividad. Esta propiedad nos dice que

4 Elemento neutro. Tenemos que
es el elemento neutro, esto quiere decir que

5 Inverso. El inverso nos quiere decir que si

entonces también existe

y se cumple que

Producto de números raciones
El producto de dos números racionales es otro número racional el cual tiene por numerador el producto de los numeradores y por denominador el producto de los denominadores. Esto es

La operación de producto de los numéros racionales tiene las siguientes propiedades:
1 Cerrada. Se dice que una operación es cerrada cuando al operar dos elementos de un conjunto, sus resultados también pertenece a dicho conjunto. En pocas palabaras, si

entonces se tiene que

2 Asociatividad. La asociatividad nos dice que siempre se cumple que

3 Conmutatividad. Esta propiedad nos dice que

4 Elemento neutro. Tenemos que
es el elemento neutro, esto quiere decir que

5 Inverso. El inverso nos quiere decir que si

entonces también existe

y se cumple que

6 Distributividad con la suma. Esto nos dice que

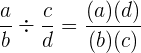
Cociente de números racionales
El cociente de números racionales es otro número racional que tiene por numerador el producto de los extremos y por denominador el producto de los medios. Por ejemplo

Potencias de números racionales
Se tiene que un número racional elevado a la n-ésima potencia es igual elevar el númerador y el denominador a la n-ésimia protencia. En pocas palabras

Las potencias de números racionales cumplen las siguientres propieades
1 
2 
3 
4 
5 
6 
7 
Jerarquia de operaciones
Los números racionales, al ser un subconjunto de los números reales, también cumple con la jerarquia de operaciones, esto es, las operaciones se realizan en el siguiente orden
1 Efectuar las operaciones entre paréntesis, corchetes y llaves.
2 Calcular las potencias y raíces.
3 Efectuar los productos y cocientes.
4 Realizar las sumas y restas.
Resumir con IA:









Apuntes es una plataforma dirigida al estudio y la práctica de las matemáticas a través de la teoría y ejercicios interactivos que ponemos a vuestra disposición. Esta información está disponible para todo aquel/aquella que quiera profundizar en el aprendizaje de esta ciencia. Será un placer ayudaros en caso de que tengáis dudas frente algún problema, sin embargo, no realizamos un ejercicio que nos presentéis de 0 sin que hayáis si quiera intentado resolverlo. Ánimo, todo esfuerzo tiene su recompensa.
El ejercicio 10 de Simplificación de Fracciones esta mal hecho. En la multiplicación de fracciones se multiplica numero con numerador y denominado con denominador, no se suma nada. Habéis cometido un error
Hola tienes razón en la multiplicación de fracciones se multiplica de manera directa numerador por numerador y denominador por denominador, pero no encontré el error que mencionas, podrías dar mas detalles por favor.
Si van a poner ejercicio pónganlo bien si van a poner división póngame en el signo de división si van a poner multiplicación ponga bien el signo de multiplicación
Fracciónes y la unidad que representan problemas de la vida diaria usando las fracciones y las unidades que representan
La mitad y la mitad
En otro problema podemos ver qué está fracciones y litros ahí podemos ver los litros de agua y que tienes que saber cuántos litros de agua quedan
Por lo tanto quedan 90 litros de agua en el tanque
Hola, muchas gracias por tu aportación.
Hola lamentamos los errores cometidos, podrías hacernos el favor de mencionarnos donde están las fallas para poder corregirlas.
En el ejercicio dos no da esa respuesta
Hola el artículo que revise hay varios ejercicios 2, pero no encontré el error que mencionas, podrías dar mas detalles por favor, así se podrá corregir.