Capítulos
Fracciones con el mismo denominador
Se suman o se restan los numeradores y se mantiene el denominador.
Ejemplos:
Fracciones con distinto denominador
Para calcular la suma o resta de fracciones con denominadores diferentes, reduciremos al caso anterior, es decir, obtendremos fracciones equivalentes pero con el mismo denominador y así, sólo sumaremos o se restaremos los numeradores de las fracciones obtenidas.
Un posible denominador común es el mínimo común múltiplo de los denominadores.
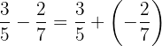
Ejemplo:
El mínimo común multiplo de los denominadores
y
es
.
Para obtener las fracciones equivalentes llevamos a cabo el siguiente procedimiento:
Y finalmente sumamos
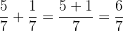
Otro ejemplo:
Como los denominadores son los mismos que en el ejemplo anterior, usaremos la información ya obtenida.

Propiedades de la suma
1 Interna
El resultado de sumar dos números racionales es otro número racional.
Si 
Ejemplo:
La suma de los racionales
y
me dio como resultado
, lo cual es un número racional también.
2 Asociativa
El modo de agrupar los sumandos no varía el resultado.

Ejemplo:


3 Conmutativa
El orden de los sumandos no varía la suma.

Ejemplo:
4 Elemento neutro
El 0 es el elemento neutro de la suma, porque todo número sumado con él da el mismo número.
Ejemplo:
5 Elemento opuesto
Dos números son opuestos si al sumarlos obtenemos como resultado el cero.

El opuesto de un número
en la suma se denota como 
Ejemplo:
El opuesto del opuesto de un número es igual al mismo número.

Ejemplo:
Como consecuencia de estas propiedades, la diferencia de dos números racionales se define como la suma del minuendo más el opuesto del sustraendo.

Ejemplo:

Resumir con IA:









Apuntes es una plataforma dirigida al estudio y la práctica de las matemáticas a través de la teoría y ejercicios interactivos que ponemos a vuestra disposición. Esta información está disponible para todo aquel/aquella que quiera profundizar en el aprendizaje de esta ciencia. Será un placer ayudaros en caso de que tengáis dudas frente algún problema, sin embargo, no realizamos un ejercicio que nos presentéis de 0 sin que hayáis si quiera intentado resolverlo. Ánimo, todo esfuerzo tiene su recompensa.
El ejercicio 10 de Simplificación de Fracciones esta mal hecho. En la multiplicación de fracciones se multiplica numero con numerador y denominado con denominador, no se suma nada. Habéis cometido un error
Hola tienes razón en la multiplicación de fracciones se multiplica de manera directa numerador por numerador y denominador por denominador, pero no encontré el error que mencionas, podrías dar mas detalles por favor.
Si van a poner ejercicio pónganlo bien si van a poner división póngame en el signo de división si van a poner multiplicación ponga bien el signo de multiplicación
Fracciónes y la unidad que representan problemas de la vida diaria usando las fracciones y las unidades que representan
La mitad y la mitad
En otro problema podemos ver qué está fracciones y litros ahí podemos ver los litros de agua y que tienes que saber cuántos litros de agua quedan
Por lo tanto quedan 90 litros de agua en el tanque
Hola, muchas gracias por tu aportación.
Hola lamentamos los errores cometidos, podrías hacernos el favor de mencionarnos donde están las fallas para poder corregirlas.
En el ejercicio dos no da esa respuesta
Hola el artículo que revise hay varios ejercicios 2, pero no encontré el error que mencionas, podrías dar mas detalles por favor, así se podrá corregir.