Un número racional es todo número que puede representarse como el cociente de dos enteros, con denominador distinto de cero. Se representa por
.


Suma y resta de números racionales
La suma (resta) de números racionales se realiza en función de sus denominadores: si tienen el mismo o diferente denominador.
Con el mismo denominador
Se suman o se restan los numeradores y se mantiene el denominador.


Ejemplos:


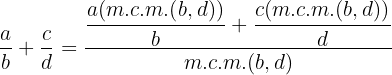
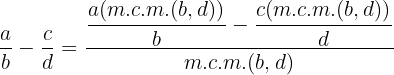
Con distinto denominador
En primer lugar se reducen los denominadores a común denominador, y se suman o se restan los numeradores de las fracciones equivalentes obtenidas.


Ejemplos:


Propiedades de la suma de números racionales
Para cualesquiera
se satisfacen las siguientes propiedades
1Interna. La suma de números racionales es de nuevo un número racional

2 Asociativa. Sumar los dos primeros números y al resultado añadir un tercer número, es igual a que al primer número se le añada el resultado de la suma del segundo con el tercer número

Ejemplo:

3 Conmutativa. Si se intercambian los sumandos, el resultado es el mismo

Ejemplo:

4 Elemento neutro. Existe un elemento
tal que al sumarlo con un número el resultado sigue siendo el mismo número

Ejemplo:

5 Elemento opuesto. Todo número racional posee un opuesto, tal que al sumar ambos el resultado es el elemento neutro

Ejemplo:

El opuesto del opuesto de un número es igual al mismo número.

Multiplicación de números racionales
El resultado de multiplicar dos números racionales es de nuevo un racional cuyo numerador se obtiene de la multiplicación de los numeradores y el denominador de la multiplicación de los denominadores

Ejemplo:

Propiedades de la multiplicación de números racionales
Para cualesquiera
se satisfacen las siguientes propiedades
1 Interna. La multiplicación de dos racionales es un racional

2 Asociativa. Multiplicar los dos primeros números y al resultado multiplicarlo por un tercer número, es igual a que al primer número se le multiplique el resultado de la multiplicación del segundo con el tercer número

Ejemplo:

3 Conmutativa. El resultado de una multiplicación se preserva al intercambiar los multiplicandos

Ejemplo:

4Elemento neutro. Existe un elemento
tal que al multiplicalo con un número el resultado sigue siendo el mismo número

Ejemplo:

5Elemento inverso. Todo número racional diferente de cero posee un opuesto, tal que al multiplicar ambos el resultado es el elemento neutro de la multiplicación

Ejemplo:

6 Distributiva

Ejemplo:

7 Sacar factor común.

Ejemplo:

División de números racionales
El resultado de dividir dos números racionales es de nuevo un racional cuyo numerador se obtiene multiplicando los extremos y el denominador de multiplicar los medios

Ejemplo:

Potencias de números racionales
Potencias de exponente entero y base racional
Consiste en elevar el numerador y denominador a la potencia dada. En caso de que la potencia sea negativa, el resultado es el inverso de la base elevado a la potencia positiva, esto es, para 


Ejemplos:


Propiedades
1 Todo racional distinto de cero, elevado a la potencia cero tiene como resultado uno.

2 Todo racional elevado a la potencia uno, tiene como resultado el mismo racional

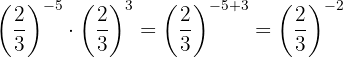
3 Producto de potencias con la misma base. Se preserva la base y se suman los exponentes

Ejemplo:

4 División de potencias con la misma base. Se preserva la base y se restan los exponentes

Ejemplo:

5 Potencia de una potencia. Se preserva la base y se multiplican los exponentes

Ejemplo:

6 Producto de potencias con el mismo exponente. Se preserva el exponente y se multiplican las bases

Ejemplo:

7 Cociente de potencias con el mismo exponente. Se preserva el exponente y se dividen las bases

Ejemplo:

Ejercicios propuestos
Resolver las siguientes operaciones con fracciones

1Eliminamos los paréntesis

2El
y aplicamos la suma de fracciones con diferente denominador


1Realizamos la suma dentro de los paréntesis, para esto notamos que el 

2Realizamos la división de fraciones y simplificamos el resultado


1Realizamos la resta dentro de los paréntesis

2Realizamos la multiplicación de fraciones y simplificamos el resultado


1Realizamos la suma dentro de los paréntesis

2Realizamos la división de fraciones y simplificamos el resultado


1Realizamos las sumas y restas del numerador y denominador

2Escribimos en notación de división y realizamos la operación. Finalmente se simplifica el resultado


1Realizamos las sumas y restas del numerador y denominador

2Escribimos en notación de división y realizamos la operación. Finalmente se simplifica el resultado


Como se trata de multiplicar potencias con la misma base, se conserva la base y sumamos los exponentes


Como se trata de multiplicar potencias con la misma base, se conserva la base y sumamos los exponentes

Como la potencia resultante tiene exponente uno, entonces la potencia es igual a la base


Como se trata de multiplicar potencias con la misma base, se conserva la base y sumamos los exponentes

Como la potencia resultante tiene exponente negativo, entonces la potencia es igual al inverso de la base con exponente positivo. Finalmente la potencia resultante tiene exponente uno, entonces la potencia es igual a la nueva base


Como se trata de multiplicar potencias con la misma base, se conserva la base y sumamos los exponentes

Como la potencia resultante tiene exponente negativo, entonces la potencia es igual al inverso de la base con exponente positivo.


Como se trata de multiplicar potencias con la misma base, se conserva la base y sumamos los exponentes

Como la potencia resultante tiene exponente negativo, entonces la potencia es igual al inverso de la base con exponente positivo.


Cambiamos el segundo elemento a exponente positivo, para ello la base cambia por su inversa y resolvemos la multiplicación de potencias con la misma base

La potencia resultante tiene exponente uno, entonces la potencia es igual a la base


Como se trata de dividir potencias con la misma base, se conserva la base y restamos los exponentes

Como la potencia resultante tiene exponente negativo, entonces la potencia es igual al inverso de la base con exponente positivo. Finalmente como la potencia resultante tiene exponente uno, entonces la potencia es igual a la nueva base


Como se trata de dividir potencias con la misma base, se conserva la base y restamos los exponentes

Como la potencia resultante tiene exponente negativo, entonces la potencia es igual al inverso de la base con exponente positivo.


Como se trata de dividir potencias con la misma base, se conserva la base y restamos los exponentes


Como se trata de dividir potencias con la misma base, se conserva la base y restamos los exponentes

Como la potencia resultante tiene exponente uno, entonces la potencia es igual a la nueva base


Cambiamos el primer elemento a exponente positivo, para ello la base cambia por su inversa y resolvemos la división de potencias con la misma base


Como se trata de potencia de una potencias, se conserva la base y multiplicamos los exponentes


Como se trata de potencia de una potencias, se conserva la base y multiplicamos los exponentes

Como la potencia resultante tiene exponente negativo, entonces la potencia es igual al inverso de la base con exponente positivo.


1Expresamos como potencias de números primos las bases de las potencias

2Cambiamos el primer elemento a exponente positivo, para ello la base cambia por su inversa y resolvemos la división de potencias con la misma base


1Ponemos todas las fracciones con el mismo numerador y denominador, para ello descomponemos en factores los números que no sean primos

2Se tienen elementos que son potencias de potencias, entonces se conserva la base y se multiplican los exponentes

3Para las potencias con base
y exponentes negativos, ponemos la fracción inversa con exponente positivo

4Tanto en el numerador como en el denominador multiplicamos las potencias con la misma base y dividimos los resultados. Finalmente, ponemos la fracción inversa con exponente positivo


1Primero operamos con las productos y números mixtos de los paréntesis.

2Realizamos las sumas dentro de los paréntesis y simplificamos el tercer paréntesis

3Realizamos los productos y simplificamos la tercera fracción

4Realizamos la suma para ello notamos que el 

4Realizamos la división y simplificamos


1Primero, por la jerarquía de las operaciones, realizamos las multiplicaciones y divisiones dentro de los paréntesis

2Simplificamos aquellas fracciones donde sea posible realizarlo, reescribimos las fracciones mixtas y después calculamos la suma en los paréntesis

3Reescribimos la última expresión y aplicamos las propiedades de las potencias de números racionales

4Realizamos las divisiones y simplificamos. Finalmente realizamos la rsta de las fracciones resultantes


1Simplificamos las fracciones donde sea posible realizarlo y procedemos con la suma y resta dentro de los paréntesis

2Realizamos las multiplicaciones y divisiones en el interior de los corchetes

3Realizamos la resta en el interior de los corchetes

4Finalmente realizamos la división y simplificamos el resultado


1Realizamos las sumas en el interior de los paréntesis y reescribimos la fracción mixta

2Realizamos las multiplicaciones, divisiones y potencias en el interior de los corchetes

3Realizamos la suma en el interior del corchete

4Finalizamos realizando la división

Resumir con IA:









Apuntes es una plataforma dirigida al estudio y la práctica de las matemáticas a través de la teoría y ejercicios interactivos que ponemos a vuestra disposición. Esta información está disponible para todo aquel/aquella que quiera profundizar en el aprendizaje de esta ciencia. Será un placer ayudaros en caso de que tengáis dudas frente algún problema, sin embargo, no realizamos un ejercicio que nos presentéis de 0 sin que hayáis si quiera intentado resolverlo. Ánimo, todo esfuerzo tiene su recompensa.
El ejercicio 10 de Simplificación de Fracciones esta mal hecho. En la multiplicación de fracciones se multiplica numero con numerador y denominado con denominador, no se suma nada. Habéis cometido un error
Hola tienes razón en la multiplicación de fracciones se multiplica de manera directa numerador por numerador y denominador por denominador, pero no encontré el error que mencionas, podrías dar mas detalles por favor.
Si van a poner ejercicio pónganlo bien si van a poner división póngame en el signo de división si van a poner multiplicación ponga bien el signo de multiplicación
Fracciónes y la unidad que representan problemas de la vida diaria usando las fracciones y las unidades que representan
La mitad y la mitad
En otro problema podemos ver qué está fracciones y litros ahí podemos ver los litros de agua y que tienes que saber cuántos litros de agua quedan
Por lo tanto quedan 90 litros de agua en el tanque
Hola, muchas gracias por tu aportación.
Hola lamentamos los errores cometidos, podrías hacernos el favor de mencionarnos donde están las fallas para poder corregirlas.
En el ejercicio dos no da esa respuesta
Hola el artículo que revise hay varios ejercicios 2, pero no encontré el error que mencionas, podrías dar mas detalles por favor, así se podrá corregir.