En este artículo continuaremos con la resolución de ejercicios de potencias aplicando las leyes de los exponentes. Para ver la parte I, visite: Ejercicios resueltos de potencias I.
Para resolver los siguientes ejercicios haremos uso de los siguiente
Ley de los exponentes
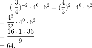
1
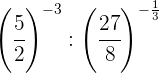
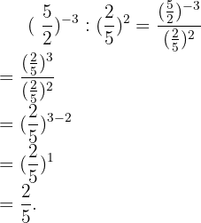
2
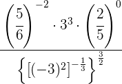
3
4
5
6
Resuelve las siguientes operaciones utilizando las leyes de los exponentes


Elevamos cada base a su respectiva potencia y multiplicamos



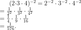
Para hallar la potencia de un producto, elevamos cada alemento a la potencia dada 


Para hallar la potencia de una potencia multiplicamos los exponentes siguiendo la quinta propiedad de la ley de los exponentes
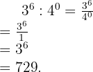
donde la última igualdad se sigue por la tercera propiedad de la ley de los exponentes


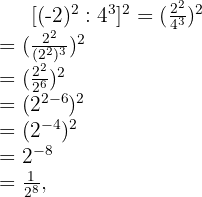
Reescribimos la división y simplificamos usando la cuarta propiedad de la ley de los exponentes



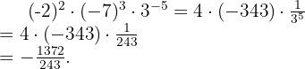
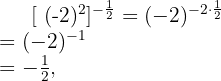
Elevamos cada base a su respectiva potencia y usamos la tercera ley de los exponentes para cambiar la potencia negativa en el último término



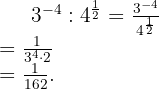
Reescribimos la división, y usamos que
por la tercera y sexta propiedad de la ley de los exponentes. Así 


Cambiamos el primer término a exponente positivo usando la tercera propiedad de la ley de los exponentes, después distibuimos la potencia en la fracción y luego multiplicamos



Reescrubimos la división, usamos la tercera propiedad de la ley de los exponentes para cambiar a positivo la potenica en el primer término y usamos la primera propiedad para sumar los exponentes ya que la base es la misma



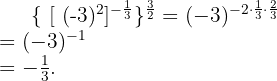
Primero simplificamos la operación que involucra a el corchete
donde en la tercera igualdad hemos utulizado la quinta propiedad de la ley de los exponentes, en la cuarta igualdad usamos la segunda propiedad, en la quinta igualdad hemos usado de nuevo la quinta propiedad y finalmente, en la última igualdad usamos la propiedad 3.
Ahora usamos la sexta propiedad en el último término para obtener que 
Así
donde hemos utilizado la primera y segunda propiedad de la ley de los exponentes.


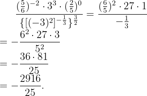
El el numerador, cambiamos el primer término a potencia positiva utilizando la tercera propiedad de la ley de los exponentes
También, utilizamos la cuarta propiedad para simplificar el tercer término 
Ahora, en el denominador, para calcular una potencia de una potencia, por la quinta propiedad, multiplicamos los exponentes para obtener que 
Así, finalmente obtenemos que 
Resumir con IA:

Apuntes es una plataforma dirigida al estudio y la práctica de las matemáticas a través de la teoría y ejercicios interactivos que ponemos a vuestra disposición. Esta información está disponible para todo aquel/aquella que quiera profundizar en el aprendizaje de esta ciencia. Será un placer ayudaros en caso de que tengáis dudas frente algún problema, sin embargo, no realizamos un ejercicio que nos presentéis de 0 sin que hayáis si quiera intentado resolverlo. Ánimo, todo esfuerzo tiene su recompensa.
El ejercicio 10 de Simplificación de Fracciones esta mal hecho. En la multiplicación de fracciones se multiplica numero con numerador y denominado con denominador, no se suma nada. Habéis cometido un error
Hola tienes razón en la multiplicación de fracciones se multiplica de manera directa numerador por numerador y denominador por denominador, pero no encontré el error que mencionas, podrías dar mas detalles por favor.
Si van a poner ejercicio pónganlo bien si van a poner división póngame en el signo de división si van a poner multiplicación ponga bien el signo de multiplicación
Fracciónes y la unidad que representan problemas de la vida diaria usando las fracciones y las unidades que representan
La mitad y la mitad
En otro problema podemos ver qué está fracciones y litros ahí podemos ver los litros de agua y que tienes que saber cuántos litros de agua quedan
Por lo tanto quedan 90 litros de agua en el tanque
Hola, muchas gracias por tu aportación.
Hola lamentamos los errores cometidos, podrías hacernos el favor de mencionarnos donde están las fallas para poder corregirlas.
En el ejercicio dos no da esa respuesta
Hola el artículo que revise hay varios ejercicios 2, pero no encontré el error que mencionas, podrías dar mas detalles por favor, así se podrá corregir.