Prioridades en operaciones
Resuelve los siguientes ejercicios de operaciones combinadas

Primero resolvemos las multiplicaciones

Realizamos la resta


Primero resolvemos las divisiones

Realizamos la resta


Primero resolvemos las multiplicaciones

Realizamos las sumas y restas


Primero resolvemos las multiplicaciones

Realizamos las restas


Primero resolvemos las divisiones

Realizamos las restas


Primero resolvemos las multiplicaciones

Realizamos las sumas y restas


Primero resolvemos las divisiones

Realizamos las sumas y restas


Primero resolvemos las multiplicaciones y divisiones

Realizamos las sumas y restas


Primero resolvemos las multiplicaciones en interior de los paréntesis
Realizamos la suma en el interior de los paréntesis y multiplicamos los resultados

Primero resolvemos las multiplicaciones y divisiones
Realizamos la suma y resta en el interior de los paréntesis y después volvemos a realizar la suma de los resultados

Primero resolvemos las multiplicaciones en el interior del paréntesis y calculamos la potencia
Realizamos la multiplicación y después sumamos de los resultados

Primero resolvemos la resta en el interior del paréntesis
Realizamos la multiplicación y después sumamos de los resultados

Primero resolvemos las multiplicaciones y después las sumas en el interior de los paréntesis
Realizamos las multiplicaciones y después las sumas en el interior de los paréntesis

Realizamos las operaciones en los paréntesis interiores considerando lo siguiente: primero se realizan las multiplicaciones y divisiones, después la suma y la resta para simplificar los resultados. Si aún existen paréntesis, el proceso se repite nuevamente











Quitamos paréntesis, en el segundo como tenemos el signo menos delante tomamos el opuesto, es decir, que cambiamos todo de signo


En primer lugar efectuamos la suma del interior del paréntesis, posteriormente dividimos las fracciones y por último simplificamos


Realizamos las operaciones de los paréntesis, efectuamos el producto de los resultados y simplificamos


Realizamos las operaciones de los paréntesis, efectuamos la división de los resultados y simplificamos


Quitamos paréntesis interiores realizando primero las multiplicaciones y divisiones, y despues realizamos las sumas y restas. Repetimos este proceso hasta que ya no queden paréntesis.


Quitamos paréntesis interiores realizando primero las multiplicaciones y divisiones, y despues realizamos las sumas y restas. Repetimos este proceso hasta que ya no queden paréntesis.

Simplificación de fracciones
Simplifica las siguientes expresiónes

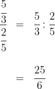
La fracción la ponemos como un división de dos fracciones


Realizamos las operaciones en el numerador

La fracción resultante la ponemos como un división de dos fracciones, simplificamos, realizamos la división y volvemos a simplificar


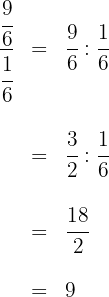
Realizamos las operaciones en el denominador

La fracción resultante la ponemos como un división de dos fracciones, realizamos la división y volvemos a simplificar


Realizamos las operaciones en el numerador y denominador

La fracción resultante la ponemos como un división de dos fracciones, simplificamos, realizamos la división y volvemos a simplificar


Realizamos las operaciones en el numerador y denominador

La fracción resultante la ponemos como un división de dos fracciones, simplificamos, realizamos la división y volvemos a simplificar


En primer lugar efectuamos 
Hacemos el inverso de 


1 Realizamos las operaciones indicadas en los paréntesis, en el paréntesis del 2º denominador tenemos que multiplicar primero y en siguiente paso dividimos.

2  es un número mixto por tanto dejamos el mismo denominador (7) y el numerador es la suma de la multiplicación del entero (5) por el denominador (7) más el numerador del número mixto (1).
  es un número mixto por tanto dejamos el mismo denominador (7) y el numerador es la suma de la multiplicación del entero (5) por el denominador (7) más el numerador del número mixto (1).

3 Efectuamos las operaciones indicadas y simplificamos

4 Realizamos las operaciones indicadas y reducimos a común denominador en la 2ª fracción

5 Realizamos la potencias y tenemos en cuenta que en una fracción elevada a un número negativo tenemos que cambiar el numerador por el denominador y posteriormente elevar al exponente


1 Efectuamos las operaciones en los dos paréntesis

2 Como hemos quitado los paréntesis el corchete se convierte en paréntesis

3 Realizamos la división y multiplicación del paréntesis y simplificamos los resultados

4 Dividimos  por el resultado del paréntesis y simplificamos
 por el resultado del paréntesis y simplificamos


1 Reducimos las fracciones de cada paréntesis a su común denominador. También pasamos a fracción el número mixto, ppara ello dejamos el mismo denominador (2) y el numerador es la suma de la multiplicación del entero (2) por el denominador (2) más el numerador del número mixto (1).

2 Realizamos las operaciones en los numeradores, como dentro del 2º corchete quitamos los paréntesis, el corchete se convierte en paréntesis

3 Realizamos la potencia y como no quedan paréntesis en el primer corchete, sustituímos este por un paréntesis

4 Multiplicamos en el primer paréntesis y dividimos en el 2º

5 Hacemos la suma del primer paréntesis, simplificamos en el 2º y dividimos


1 Primero operamos con las productos y números mixtos de los paréntesis:

2 Operamos los paréntesis y simplificamos

3 Realizamos el producto y lo simplificamos, cambiamos el corchete por un paréntesis

4 Realizamos las operaciones del paréntesis









 Cargando...
Cargando...
Apuntes es una plataforma dirigida al estudio y la práctica de las matemáticas a través de la teoría y ejercicios interactivos que ponemos a vuestra disposición. Esta información está disponible para todo aquel/aquella que quiera profundizar en el aprendizaje de esta ciencia. Será un placer ayudaros en caso de que tengáis dudas frente algún problema, sin embargo, no realizamos un ejercicio que nos presentéis de 0 sin que hayáis si quiera intentado resolverlo. Ánimo, todo esfuerzo tiene su recompensa.
Si van a poner ejercicio pónganlo bien si van a poner división póngame en el signo de división si van a poner multiplicación ponga bien el signo de multiplicación
Hola lamentamos los errores cometidos, podrías hacernos el favor de mencionarnos donde están las fallas para poder corregirlas.
En el ejercicio dos no da esa respuesta
Hola el artículo que revise hay varios ejercicios 2, pero no encontré el error que mencionas, podrías dar mas detalles por favor, así se podrá corregir.
Buenos días, saludos desde México, quiero hacerle la observación de que el resultado del inciso b del problema 6 de la primera sección es incorrecto, porque está considerando al censo como 15,400 y no es verdad, ese es el número de votantes, por tanto el censo debe tener mayor cantidad de personas
Hola gracias por visitar la pagina, una disculpa ya se corrigió.
Hola agradecemos tu observación, una disculpa ya se corrigió.