Opera y simplifica, caso de que se pueda:
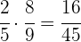
| 1 | 2 | · | 8 | = | |
| 5 | 9 |
1Para obtener el nuevo numerador multiplicamos ambos numeradores

2Para obtener el nuevo denominador multiplicamos ambos denominadores

3El resultado de la operación es:

4Calculamos el máximo común divisor del nuevo numerador y denominador

5Como el
, entonces no se puede simplificar el resultado, por lo que

| 2 | 3 | · | 5 | = | |
| 7 | 4 |
1Para obtener el nuevo numerador multiplicamos ambos numeradores

2Para obtener el nuevo denominador multiplicamos ambos denominadores

3El resultado de la operación es:

4Calculamos el máximo común divisor del nuevo numerador y denominador

5Como el
, entonces no se puede simplificar el resultado, por lo que

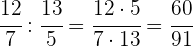
| 3 | 7 | : | 11 | = | |
| 9 | 4 |
1Para obtener el nuevo numerador multiplicamos los extremos

2Para obtener el nuevo denominador multiplicamos los medios

3El resultado de la operación es:

4Calculamos el máximo común divisor del nuevo numerador y denominador

5Como el
, entonces no se puede simplificar el resultado, por lo que

| 4 | 12 | : | 13 | = | |
| 7 | 5 |
1Para obtener el nuevo numerador multiplicamos los extremos

2Para obtener el nuevo denominador multiplicamos los medios

3El resultado de la operación es:

4Calculamos el máximo común divisor del nuevo numerador y denominador

5Como el
, entonces no se puede simplificar el resultado, por lo que

¿Quieres encontrar los mejores profesores particulares de matematicas? ¡Entra en Superprof!
| 5 | 14 | · | 3 | = | |
| 9 | 7 |
1Para obtener el nuevo numerador multiplicamos ambos numeradores

2Para obtener el nuevo denominador multiplicamos ambos denominadores

3El resultado de la operación es:

4Calculamos el máximo común divisor del nuevo numerador y denominador

5Como el
, entonces si se puede simplificar el resultado, por lo que

| 6 | 3 | · | 6 | = | |
| 4 | 10 |
1Para obtener el nuevo numerador multiplicamos ambos numeradores

2Para obtener el nuevo denominador multiplicamos ambos denominadores

3El resultado de la operación es:

4Calculamos el máximo común divisor del nuevo numerador y denominador

5Como el
, entonces si se puede simplificar el resultado, por lo que

| 7 | 8 | · | 15 | = | |
| 5 | 22 |
1Para obtener el nuevo numerador multiplicamos ambos numeradores

2Para obtener el nuevo denominador multiplicamos ambos denominadores

3El resultado de la operación es:

4Calculamos el máximo común divisor del nuevo numerador y denominador

5Como el
, entonces si se puede simplificar el resultado, por lo que

| 8 | 30 | · | 35 | = | |
| 77 | 42 |
1Para obtener el nuevo numerador multiplicamos ambos numeradores

2Para obtener el nuevo denominador multiplicamos ambos denominadores

3El resultado de la operación es:

4Calculamos el máximo común divisor del nuevo numerador y denominador

5Como el
, entonces si se puede simplificar el resultado, por lo que

| 9 | 4 | : | 12 | = | |
| 25 | 5 |
1Para obtener el nuevo numerador multiplicamos los extremos

2Para obtener el nuevo denominador multiplicamos los medios

3El resultado de la operación es:

4Calculamos el máximo común divisor del nuevo numerador y denominador

5Como el
, entonces si se puede simplificar el resultado, por lo que

| 10 | 22 | : | 33 | = | |
| 30 | 25 |
1Para obtener el nuevo numerador multiplicamos los extremos

2Para obtener el nuevo denominador multiplicamos los medios

3El resultado de la operación es:

4Calculamos el máximo común divisor del nuevo numerador y denominador

5Como el
, entonces si se puede simplificar el resultado, por lo que

| 11 | 3 | : | 18 | = | |
| 10 | 5 |
1Para obtener el nuevo numerador multiplicamos los extremos

2Para obtener el nuevo denominador multiplicamos los medios

3El resultado de la operación es:

4Calculamos el máximo común divisor del nuevo numerador y denominador

5Como el
, entonces si se puede simplificar el resultado, por lo que

| 12 | 6 | : | 10 | = | |
| 51 | 35 |
1Para obtener el nuevo numerador multiplicamos los extremos

2Para obtener el nuevo denominador multiplicamos los medios

3El resultado de la operación es:

4Calculamos el máximo común divisor del nuevo numerador y denominador

5Como el
, entonces si se puede simplificar el resultado, por lo que

Si tienes dudas puedes consultar la teoría
Resumir con IA:

Apuntes es una plataforma dirigida al estudio y la práctica de las matemáticas a través de la teoría y ejercicios interactivos que ponemos a vuestra disposición. Esta información está disponible para todo aquel/aquella que quiera profundizar en el aprendizaje de esta ciencia. Será un placer ayudaros en caso de que tengáis dudas frente algún problema, sin embargo, no realizamos un ejercicio que nos presentéis de 0 sin que hayáis si quiera intentado resolverlo. Ánimo, todo esfuerzo tiene su recompensa.
El ejercicio 10 de Simplificación de Fracciones esta mal hecho. En la multiplicación de fracciones se multiplica numero con numerador y denominado con denominador, no se suma nada. Habéis cometido un error
Hola tienes razón en la multiplicación de fracciones se multiplica de manera directa numerador por numerador y denominador por denominador, pero no encontré el error que mencionas, podrías dar mas detalles por favor.
Si van a poner ejercicio pónganlo bien si van a poner división póngame en el signo de división si van a poner multiplicación ponga bien el signo de multiplicación
Fracciónes y la unidad que representan problemas de la vida diaria usando las fracciones y las unidades que representan
La mitad y la mitad
En otro problema podemos ver qué está fracciones y litros ahí podemos ver los litros de agua y que tienes que saber cuántos litros de agua quedan
Por lo tanto quedan 90 litros de agua en el tanque
Hola, muchas gracias por tu aportación.
Hola lamentamos los errores cometidos, podrías hacernos el favor de mencionarnos donde están las fallas para poder corregirlas.
En el ejercicio dos no da esa respuesta
Hola el artículo que revise hay varios ejercicios 2, pero no encontré el error que mencionas, podrías dar mas detalles por favor, así se podrá corregir.