Da el resultado de cada una de las siguientes operaciones con una fracción simplificada:
| 1 | ![]() |
Toda fracción elevada a la potencia cero es igual a uno

| 2 | ![]() | |
Para elevar una fracción a una potencia dada, se eleva el numerador y el denominador a dicha potencia y finalmente se desarrollan las potencias

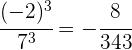
| 3 | ![]() | |
Para elevar una fracción a una potencia dada, se eleva el numerador y el denominador a dicha potencia

Los números negativos elevados a una potencia par se convierten en positivos. Así el resultado es

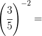
| 4 | ![]() | |
Para quitar el signo negativo del exponente, tenemos que escribir la fracción inversa

Para elevar una fracción a una potencia dada, se eleva el numerador y el denominador a dicha potencia y finalmente se desarrollan las potencias

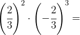
| 5 | ![]() | |
Para elevar una fracción a una potencia dada, se eleva el numerador y el denominador a dicha potencia

Los números negativos elevados a una potencia impar se convierten en se mantienen negativos. Así el resultado es

| 6 | ![]() | |
Las potencias tienen la misma base, entonces la base es la misma y se suman los exponentes

Para elevar una fracción a una potencia dada, se eleva el numerador y el denominador a dicha potencia

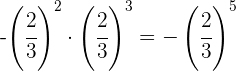
| 7 | ![]() | |
Las potencias pares siempre son positivas, por lo que

Las potencias tienen la misma base, entonces la base es la misma y se suman los exponentes

Para elevar una fracción a una potencia dada, se eleva el numerador y el denominador a dicha potencia

| 8 | ![]() | |
Las potencias impares de números negativos siempre son negativas, por lo que

Las potencias tienen la misma base, entonces para multiplicar, la base es la misma y se suman los exponentes

Para elevar una fracción a una potencia dada, se eleva el numerador y el denominador a dicha potencia

| 9 | ![]() | |
Las potencias tienen la misma base, entonces para dividir, la base es la misma y se restan los exponentes

Para quitar el signo negativo del exponente, tenemos que escribir la fracción inversa

Para elevar una fracción a una potencia dada, se eleva el numerador y el denominador a dicha potencia

| 10 | ![]() | |
Las potencias impares preservan los signos

Las potencias tienen la misma base, entonces para dividir, la base es la misma y se restan los exponentes

Para elevar una fracción a una potencia dada, se eleva el numerador y el denominador a dicha potencia

Si tienes dudas puedes consultar la teoría
Resumir con IA:











Apuntes es una plataforma dirigida al estudio y la práctica de las matemáticas a través de la teoría y ejercicios interactivos que ponemos a vuestra disposición. Esta información está disponible para todo aquel/aquella que quiera profundizar en el aprendizaje de esta ciencia. Será un placer ayudaros en caso de que tengáis dudas frente algún problema, sin embargo, no realizamos un ejercicio que nos presentéis de 0 sin que hayáis si quiera intentado resolverlo. Ánimo, todo esfuerzo tiene su recompensa.
El ejercicio 10 de Simplificación de Fracciones esta mal hecho. En la multiplicación de fracciones se multiplica numero con numerador y denominado con denominador, no se suma nada. Habéis cometido un error
Hola tienes razón en la multiplicación de fracciones se multiplica de manera directa numerador por numerador y denominador por denominador, pero no encontré el error que mencionas, podrías dar mas detalles por favor.
Si van a poner ejercicio pónganlo bien si van a poner división póngame en el signo de división si van a poner multiplicación ponga bien el signo de multiplicación
Fracciónes y la unidad que representan problemas de la vida diaria usando las fracciones y las unidades que representan
La mitad y la mitad
En otro problema podemos ver qué está fracciones y litros ahí podemos ver los litros de agua y que tienes que saber cuántos litros de agua quedan
Por lo tanto quedan 90 litros de agua en el tanque
Hola, muchas gracias por tu aportación.
Hola lamentamos los errores cometidos, podrías hacernos el favor de mencionarnos donde están las fallas para poder corregirlas.
En el ejercicio dos no da esa respuesta
Hola el artículo que revise hay varios ejercicios 2, pero no encontré el error que mencionas, podrías dar mas detalles por favor, así se podrá corregir.