Opera y simplifica, en caso que sea posible. Si la fracción es negativa, el signo se escribirá en el numerador:

Este campo es obligatorio.
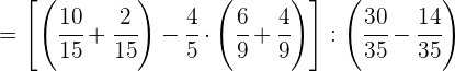
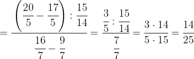
1 Descomponemos en factores algunos números compuestos para simplificar

2 Simplificamos y ponemos a común denominador una suma

3 Ponemos las demás sumas o restas a común denominador

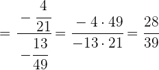
4 Realizamos las operaciones

5 Hacemos la división del paréntesis y ponemos a común denominador la resta del siguiente paréntesis

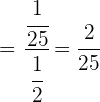
6 Realizamos la operación del paréntesis y dividimos

Si no te das cuenta de simplificar en los pasos intermedios también puedes hacerlo y obviamente obtendrás el mismo resultado. Te mostramos la siguiente forma:

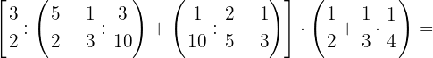
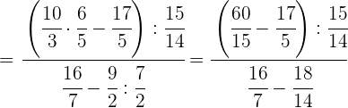
1 Realizamos las multiplicaciones dentro de los paréntesis

2 Ponemos a común denominador las sumas y resta de los paréntesis

3 Efectuamos las sumas o restas. Hacemos la división del
interior del paréntesis y ponemos a común denominador

4 Se realiza la diferencia del paréntesis y se divide


Este campo es obligatorio.
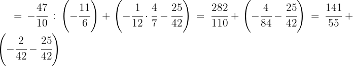
1 Realizamos las multiplicaciones dentro de los paréntesis y simplificamos los resultados obtenidos


2 Ponemos a común denominador las sumas y resta de los paréntesis

3 Efectuamos las sumas o restas en el interior de los paréntesis. Luego hacemos las multiplicaciones y ponemos a común denominador

4 Se realiza la diferencia del paréntesis y se divide


Este campo es obligatorio.
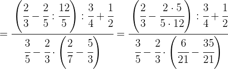
1 Realizamos las multiplicaciones dentro de los paréntesis y simplificamos los resultados obtenidos


2 Ponemos a común denominador las sumas y resta de los paréntesis

3 Efectuamos las sumas o restas en el interior de los paréntesis. Luego ponemos a común denominador

4 Se realiza la diferencia del paréntesis y se divide


Este campo es obligatorio.
1 Realizamos las multiplicaciones dentro de los paréntesis y simplificamos los resultados obtenidos


2 Ponemos a común denominador las sumas y resta de los paréntesis

3 Efectuamos las sumas o restas en el interior de los paréntesis. Luego hacemos las divisiones y ponemos a común denominador

4 Se realiza la divisón y sumamos el resultado


Este campo es obligatorio.
1 Realizamos las multiplicaciones dentro de los paréntesis y simplificamos los resultados obtenidos


2 Ponemos a común denominador las sumas y resta de los paréntesis

3 Efectuamos la división. Luego hacemos las divisiones y ponemos a común denominador

4 Se realiza la resta y multiplicamos el resultado


Este campo es obligatorio.
1 Realizamos las multiplicaciones dentro de los paréntesis y simplificamos los resultados obtenidos


2 Ponemos a común denominador las sumas y resta de los paréntesis

3 Efectuamos la división. Luego hacemos las divisiones y ponemos a común denominador

4 Se realiza la multiplicación y luego la resta


Este campo es obligatorio.
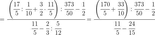
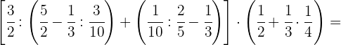
1 Pasamos los números mixtos a fracción, dividimos en el primer paréntesis y ponemos a común denominador el paréntesis del denominador

2 Simplificamos el resultado de la división del paréntesis y operamos en el paréntesis del denominador

3 Vamos realizando las operaciones que nos vamos encontrando

4 Cuando lleguemos a la fración que tiene tanto en el numerador como en el denominador una sola fracción, entonces tenemos que hacer la división: producto de extremos partido producto de medios y simplificamos


Este campo es obligatorio.
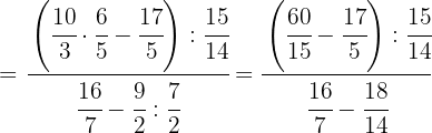
1 Resolvemos en el interior de los paréntesis, para esto ponemos a común denominador las fracciones

2 Realizamos las multiplicaciones y divisiones y simplificamos

3 Cuando lleguemos a la fración que tiene tanto en el numerador como en el denominador una sola fracción, entonces tenemos que hacer la división: producto de extremos partido producto de medios y simplificamos


Este campo es obligatorio.
1 Pasamos los números mixtos a fracciones y luego realizamos las multiplicaciones y divisiones

2 Escribimos los elementos con denominador común

3 Cuando lleguemos a la fración que tiene tanto en el numerador como en el denominador una sola fracción, entonces tenemos que hacer la división: producto de extremos partido producto de medios y simplificamos


Este campo es obligatorio.
1 Pasamos los números mixtos a fracciones y luego realizamos las multiplicaciones y divisiones

2 Escribimos los elementos con denominador común y realizamos las operaciones indicadas

3 Cuando lleguemos a la fración que tiene tanto en el numerador como en el denominador una sola fracción, entonces tenemos que hacer la división: producto de extremos partido producto de medios y simplificamos


Este campo es obligatorio.
1 Pasamos los números mixtos a fracciones y luego realizamos las multiplicaciones y divisiones

2 Escribimos los elementos con denominador común y realizamos las operaciones indicadas


Este campo es obligatorio.
1 Realizamos las multiplicaciones en el interior de los paréntesis

2 Escribimos los elementos con denominador común y realizamos las operaciones indicadas

3 Realizamos la multiplicación en el denominador y escribimos los elementos con denominador común

4 Cuando lleguemos a la fración que tiene tanto en el numerador como en el denominador una sola fracción, entonces tenemos que hacer la división: producto de extremos partido producto de medios y simplificamos

Si tienes dudas puedes consultar la teoría
Resumir con IA:

Apuntes es una plataforma dirigida al estudio y la práctica de las matemáticas a través de la teoría y ejercicios interactivos que ponemos a vuestra disposición. Esta información está disponible para todo aquel/aquella que quiera profundizar en el aprendizaje de esta ciencia. Será un placer ayudaros en caso de que tengáis dudas frente algún problema, sin embargo, no realizamos un ejercicio que nos presentéis de 0 sin que hayáis si quiera intentado resolverlo. Ánimo, todo esfuerzo tiene su recompensa.
El ejercicio 10 de Simplificación de Fracciones esta mal hecho. En la multiplicación de fracciones se multiplica numero con numerador y denominado con denominador, no se suma nada. Habéis cometido un error
Hola tienes razón en la multiplicación de fracciones se multiplica de manera directa numerador por numerador y denominador por denominador, pero no encontré el error que mencionas, podrías dar mas detalles por favor.
Si van a poner ejercicio pónganlo bien si van a poner división póngame en el signo de división si van a poner multiplicación ponga bien el signo de multiplicación
Fracciónes y la unidad que representan problemas de la vida diaria usando las fracciones y las unidades que representan
La mitad y la mitad
En otro problema podemos ver qué está fracciones y litros ahí podemos ver los litros de agua y que tienes que saber cuántos litros de agua quedan
Por lo tanto quedan 90 litros de agua en el tanque
Hola, muchas gracias por tu aportación.
Hola lamentamos los errores cometidos, podrías hacernos el favor de mencionarnos donde están las fallas para poder corregirlas.
En el ejercicio dos no da esa respuesta
Hola el artículo que revise hay varios ejercicios 2, pero no encontré el error que mencionas, podrías dar mas detalles por favor, así se podrá corregir.