Elige la opción correcta:
¿Necesitas un profe mates?
La sucesión

Selecciona una respuesta.
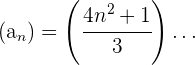
1Calculamos los primeros tres términos



2Calculamos los términos 100, 1000 y 1000000

3Como los términos decrecen y no tienen límite finito, entonces la sucesión es divergente y su límite es
.
La sucesión 
Selecciona una respuesta.
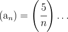
1Calculamos los primeros tres términos



2Calculamos los términos 100, 1000 y 1000000

3Como los términos decrecen y tienen límite finito, entonces la sucesión es convergente y su límite es
.
La sucesión

Selecciona una respuesta.
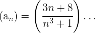
1Calculamos los primeros tres términos



2Calculamos los términos 100, 1000 y 1000000

3Como los términos decrecen y tienen límite finito, entonces la sucesión es convergente y su límite es
.
La sucesión

Selecciona una respuesta.
1Los términos de esta sucesión alternan de mayor a menor y viceveresa, con lo que la sucesión no es convergente ni divergente. Este tipo de sucesiones se llama oscilante.
La sucesión

Selecciona una respuesta.
1Comparamos los primeros dos términos

2Comparamos los siguientes términos



3Como los términos siempre crecen, entonces la sucesión es estrictamente creciente.
La sucesión

Selecciona una respuesta.
1Comparamos los primeros dos términos

2Comparamos los siguientes términos






3Como los términos decrecen o son iguales, entonces la sucesión es monótona decreciente.
La sucesión

Selecciona una respuesta.
1Comparamos los primeros dos términos

2Comparamos los siguientes términos



3Como los términos decrecen, entonces la sucesión es monótona decreciente.
La sucesión

Selecciona una respuesta.
1Comparamos los primeros dos términos

2Comparamos los siguientes términos




3Como los términos se alternan de mayor a menor, entonces la sucesión no es monótona.
La sucesión

Selecciona una respuesta.
1Comparamos los primeros dos términos

2Comparamos los siguientes términos





3Como los términos crecen o son iguales, entonces la sucesión es monótona creciente.
La sucesión

Selecciona una respuesta.
1Calculamos los primeros cinco términos





2Observamos que

3Como los términos crecen, entonces la sucesión es estrictamente creciente.
Elige la opción más correcta:
La sucesión

Selecciona una respuesta.
1Se trata de una sucesión estrictamente creciente, por lo que no puede estar acotada superiormente.
2 Por ser creciente, el primer término de la sucesión será menor que todos los demás
3 Luego la sucesión está acotada inferiormente y su cota ínfimo (y mínimo a la vez) es 1
La sucesión

Selecciona una respuesta.
1Se trata de una sucesión oscilante, donde 1 es una cota superior y −1 es una cota inferior, por tanto, la sucesión está acotada inferior y superiormente, es decir, está acotada
La sucesión

Selecciona una respuesta.
1La sucesión es
, que es decreciente.
2Todos los términos son menores o iguales que 3 y mayores que 0, por lo que está acotada inferiormente por 0 y superiormente por 3
La sucesión

Selecciona una respuesta.
1Podemos observar que todos los términos son superiores o iguales a cero, por lo que la sucesión está acotada inferiormente y 0 es una cota inferior
La sucesión

Selecciona una respuesta.
1La sucesión está acotada, pues está acotada superior e inferiormente.
2Su supremo (y también máximo) es 5 y su ínfimo es 0. Además, es decreciente.
3Toda sucesión decreciente y acotada inferiormente es convergente y su límite es igual al ínfimo de la sucesión, con lo que
tiende a su ínfimo, es decir, tiende a 0.
La sucesión

Selecciona una respuesta.
1La sucesión es estrictamente creciente y aunque está acotada inferiormente y su ínfimo (y mínimo) es 8, no está acotada superiormente.
2Por otra parte, es fácil comprobar que es divergente y tiende a
, es decir, no es convergente.
3Luego, las tres primeras respuestas son correctas.
La sucesión

Selecciona una respuesta.
1La sucesión está acotada, pues lo está superior e inferiormente
2Su supremo (y máximo) es 5.5 y su ínfimo es 0. Además es decreciente.
3Toda sucesión decreciente y acotada inferiormente es convergente y su límite es igual al ínfimo de la sucesión, con lo que
tiende a su ínfimo, es decir, tiende a 0.
4Luego, las tres primeras respuestas son correctas.
La sucesión

Selecciona una respuesta.
1La sucesión es estrictamente creciente y no está acotada superiormente.
2 Está acotada inferiormente y su ínfimo (y mínimo) es 11.
3Además esta sucesión es divergente, su límite es
.
La sucesión

Selecciona una respuesta.
1La sucesión está acotada, pues lo está superior e inferiormente. Su supremo (y también máximo) es 8 y su ínfimo es 0, luego la opción correcta es está acotada inferiormente y su ínfimo es 0.
2Además es decreciente. Toda sucesión decreciente y acotada inferiormente es convergente y su límite es igual al ínfimo de la sucesión, con lo que
tiende a su ínfimo, es decir, tiende a 0.
La sucesión

Selecciona una respuesta.
1La sucesión es

2Está acotada, pues lo está superior e inferiormente. Su ínfimo (y mínimo) es 1.5 y su supremo es 2. Además es creciente
3Toda sucesión creciente y acotada superiormente es convergente y su límite es igual al supremo de la sucesión, con lo que nuestra sucesión tiende a su supremo, es decir, tiende a 2.
4Por tanto, la opción correcta es la tercera: es creciente, acotada superiormente, con supremo 2 y converge a 2
¿Eres más de aprender desde casa? ¡Encuentra un profesor online de matematicas en Superprof!
Si tienes dudas puedes consultar la teoría
Resumir con IA:

Apuntes es una plataforma dirigida al estudio y la práctica de las matemáticas a través de la teoría y ejercicios interactivos que ponemos a vuestra disposición. Esta información está disponible para todo aquel/aquella que quiera profundizar en el aprendizaje de esta ciencia. Será un placer ayudaros en caso de que tengáis dudas frente algún problema, sin embargo, no realizamos un ejercicio que nos presentéis de 0 sin que hayáis si quiera intentado resolverlo. Ánimo, todo esfuerzo tiene su recompensa.
el ejercicio 2 de sucesiones esta mal correjido ya que te dan el quinto y sexto termino, la diferencia es 12, y se ha copiado y pegado la respuesta del 1 en el 2
Hola podrías hacerme el favor de darme mas detalles pues no encontré el ejercicio que mencionas, nos ayudaría mucho.
en el ejercicio Nro. 5 hay una inconsistencia: para hallar a 1 seria 479 = a1 + 39(5) entonces 39*5 = 195 —- al despejar 479 -195 = a1 el resultado seria a1 = 284 ___ que seria el primer termino de la progresion …. entonces la progresion quedaria, así:
284 , 289 , 294 , 299 , 304 , 309 ,314 ,319, 324, 329, 334…
Hola agradecemos tus observaciones, pero no encontré el ejercicio que mencionas para poder corregirlo, podrías ser mas especifico seria de mucha ayuda.
hola podrias darme una idea de como podria hacer este ejercicio aplicando al formula CORRECTA Pedro ha decidido tomar un tour en sus vacaciones, para lo cual decide ahorrar de tal forma que el primer mes ahorra $ 300 y, luego, cada mes ahorra 3 veces lo ahorrado el mes anterior y así sucesivamente. ¿Cuánto ahorra al noveno mes?
Una disculpa, pero hubo una confusión con los artículos y se corrigió otro, te agradecemos tu paciencia y ahora si se corrigió, si no fuera así puedes mencionarlo otra vez y trabajaremos en ello.
50,45,39,32,