Definición de deciles
Los deciles son los nueve valores que dividen una serie de datos ordenados en diez partes iguales.
Los deciles dan los valores correspondientes al
%, al
%... y al
% de los datos.
El quinto decil coincide con la mediana:
. Pero también, coincide con el segundo cuartil:
.
Cálculo de los deciles
En primer lugar buscamos la clase donde se encuentra
, en la tabla de las frecuencias acumuladas.

es el límite inferior de la clase donde se encuentra el decil i-ésimo.
es la suma de las frecuencias absolutas.
es la frecuencia acumulada anterior a la clase el decil i-ésimo.
es la amplitud de la clase o longitud del intervalo correspondiente a la clase del decil i-ésimo.
Ejercicio de deciles
Calcular los deciles de la distribución de la tabla.
![]() | |
|---|---|
![]() | ![]() |
![]() | ![]() |
![]() | ![]() |
![]() | ![]() |
![]() | ![]() |
![]() | ![]() |
![]() | ![]() |
Solución:
En primer lugar crearemos una nueva columna con los valores de la frecuencia acumulada. Para obtener la frecuencia acumulada realizamos lo que se indica:
En la primera casilla colocamos la primera frecuencia absoluta. En la segunda casilla sumamos el valor de la frecuencia acumulada anterior más la frecuencia absoluta correspondiente y así sucesivamente hasta la última, que tiene que ser igual a
.
![]() | ![]() | ||
|---|---|---|---|
![]() | ![]() | ![]() | |
![]() | ![]() | ![]() | |
![]() | ![]() | ![]() | |
![]() | ![]() | ![]() | |
![]() | ![]() | ![]() | |
![]() | ![]() | ![]() | |
![]() |
| ![]() | |
![]() |
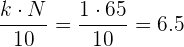
Cálculo del primer decil
Buscamos la clase donde se encuentra el primer decil:

Buscamos en la columna de las frecuencias acumuladas
el intervalo que contiene a
.
La clase de
es: 
Aplicaremos la fórmula para el cálculo de deciles para datos agrupados, extrayendo los siguientes datos:






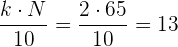
Cálculo del segundo decil
Buscamos la clase donde se encuentra el primer decil:

Buscamos en la columna de las frecuencias acumuladas
el intervalo que contiene a
.
La clase de
es: 
Aplicaremos la fórmula para el cálculo de deciles para datos agrupados, extrayendo los siguientes datos:






Cálculo del tercer decil
Buscamos la clase donde se encuentra el primer decil:

Buscamos en la columna de las frecuencias acumuladas
el intervalo que contiene a
.
La clase de
es: 
Aplicaremos la fórmula para el cálculo de deciles para datos agrupados, extrayendo los siguientes datos:






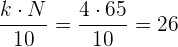
Cálculo del cuarto decil
Buscamos la clase donde se encuentra el primer decil:

Buscamos en la columna de las frecuencias acumuladas
el intervalo que contiene a
.
La clase de
es: 
Aplicaremos la fórmula para el cálculo de deciles para datos agrupados, extrayendo los siguientes datos:






Cálculo del quinto decil
Buscamos la clase donde se encuentra el primer decil:

Buscamos en la columna de las frecuencias acumuladas
el intervalo que contiene a
.
La clase de
es: 
Aplicaremos la fórmula para el cálculo de deciles para datos agrupados, extrayendo los siguientes datos:






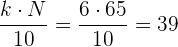
Cálculo del sexto decil
Buscamos la clase donde se encuentra el primer decil:

Buscamos en la columna de las frecuencias acumuladas
el intervalo que contiene a
.
La clase de
es: 
Aplicaremos la fórmula para el cálculo de deciles para datos agrupados, extrayendo los siguientes datos:






Cálculo del séptimo decil
Buscamos la clase donde se encuentra el primer decil:

Buscamos en la columna de las frecuencias acumuladas
el intervalo que contiene a
.
La clase de
es: 
Aplicaremos la fórmula para el cálculo de deciles para datos agrupados, extrayendo los siguientes datos:






Cálculo del octavo decil
Buscamos la clase donde se encuentra el primer decil:

Buscamos en la columna de las frecuencias acumuladas
el intervalo que contiene a
.
La clase de
es: 
Aplicaremos la fórmula para el cálculo de deciles para datos agrupados, extrayendo los siguientes datos:






Cálculo del noveno decil
Buscamos la clase donde se encuentra el primer decil:

Buscamos en la columna de las frecuencias acumuladas
el intervalo que contiene a
.
La clase de
es: 
Aplicaremos la fórmula para el cálculo de deciles para datos agrupados, extrayendo los siguientes datos:






Resumir con IA:























Apuntes es una plataforma dirigida al estudio y la práctica de las matemáticas a través de la teoría y ejercicios interactivos que ponemos a vuestra disposición. Esta información está disponible para todo aquel/aquella que quiera profundizar en el aprendizaje de esta ciencia. Será un placer ayudaros en caso de que tengáis dudas frente algún problema, sin embargo, no realizamos un ejercicio que nos presentéis de 0 sin que hayáis si quiera intentado resolverlo. Ánimo, todo esfuerzo tiene su recompensa.
Me gusto la dinámica solo que no pude completar lo ultimo
Hola nos alegra que te halla gustado la dinámica, si tienes una duda con confianza coméntalo y te responderemos.
en la realización de esta actividad vimos de manera clara toda la distribución de datos. en actividad de las diagramas de barra identificamos las categorías y los intervalos de mayor a menor frecuencia, ya que en la actividad de los polígonos llevamos acabo las tendencias y variables de todo el conjunto de datos. esto son las herramientas que mas utilizamos para hacer la interpretación de datos con la ayuda de ka estadística y hace la comparación de diversos grupos y variables.
Hola excelente resumen de lo que se analiza en el artículo, te felicitamos.
4. La tabla registra el ahorro mensual de s/. 100 mensuales. Completa la tabla y contesta.
a) ¿Cuál es la suma de la tercera y cuarta frecuencia absoluta acumulada?
b) ¿Cuántos estudiantes tienen ahorros mayores o iguales que S/. 20, pero menores que S/. 40?
c) ¿Qué porcentaje de estudiantes tienen ahorros menores que S/. 30?
d) ¿A qué intervalo pertenecen los ahorros de la mayoría de los estudiantes?
Lo unico que no me parecio del ejercicio es que al momento de redondear por ejemplo cuando el resultados es .155 asi fue como lo escribi pero me lo marcaba incorrecto, ya que pedia redondear a 16%
Entonces eso complico un poco a la hora de los resultados.
Hola entendemos tu frustración, pero como a veces sucede que algunos libros o maestros piden redondear y otros no, entonces se tomo este criterio que es mas generalizado.