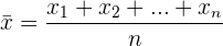
¡Bienvenido a los ejercicios de varianza, desviación media y desviación típica! En esta serie de ejercicios, exploraremos conceptos fundamentales en estadística que nos ayudarán a comprender la dispersión y la variabilidad de un conjunto de datos.
La varianza, la desviación media y la desviación típica son medidas estadísticas que nos permiten cuantificar la dispersión o variabilidad de un conjunto de datos con respecto a su media. Estas medidas son especialmente útiles para entender qué tan dispersos o agrupados están los valores de un conjunto de datos y cómo se distribuyen en torno a su valor central.
Prepárate para fortalecer tus habilidades en estadística y descubrir el fascinante mundo del análisis de datos. ¡Comencemos!
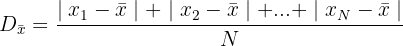
Hallar la desviación media, la varianza y la desviación típica de
.
1Calculamos la media para la serie de números
con
tenemos los siguientes cálculos.


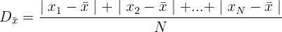
2Calculamos el valor de la desviación media.


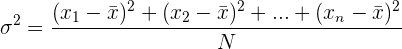
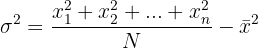
3Ahora, calculamos el valor de la varianza.


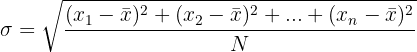
4Y finalmente, calculamos el valor de la desviación típica.


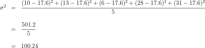
Hallar la desviación media, la varianza y la desviación típica de la series de números siguientes:
a
.
b
.
aPara la serie de números
con
tenemos los siguientes cálculos.
Para la desviación media primero necesitamos calcular el valor de la media


Calculamos el valor de la desviación media.


Ahora, calculamos el valor de la varianza.


Y finalmente, calculamos el valor de la desviación típica.


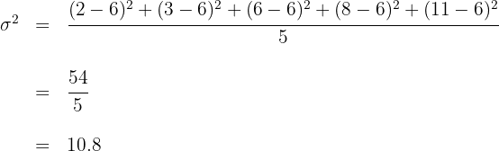
bPara la serie de números
con
tenemos los siguientes cálculos
Para la desviación media primero necesitamos calcular el valor de la media.


Luego, calculamos el valor de la desviación media.


Ahora, calculamos el valor de la varianza.


Y finalmente, calculamos el valor de la desviación típica.


Hallar la varianza y la desviación típica de
.
1Construimos la tabla de frecuencias e incluimos el producto de la variable por su frecuencia absoluta
para calcular la media y el producto de la variable al cuadrado por su frecuencia absoluta
para calcular la varianza y la desviación típica.
![]() | ![]() | ![]() | ![]() |
| 5 | 3 | 15 | 75 |
| 6 | 2 | 12 | 72 |
| 7 | 2 | 14 | 98 |
| 8 | 2 | 16 | 128 |
| 9 | 3 | 27 | 243 |
| 10 | 2 | 20 | 200 |
| 13 | 1 | 13 | 169 |
| 15 | 117 | 985 |
2Calculamos la media aritmética

3Calculamos la varianza

4Calculamos la desviación típica

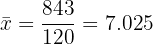
Un pediatra obtuvo la siguiente tabla sobre los meses de edad de 50 niños de su consulta en el momento de andar por primera vez. Calcular la varianza.
| Meses | Niños |
| 9 | 1 |
| 10 | 4 |
| 11 | 9 |
| 12 | 16 |
| 13 | 11 |
| 14 | 8 |
| 15 | 1 |
Completamos la tabla con:
1 El producto de la variable por su frecuencia absoluta
para calcular la media.
2 El producto de la variable al cuadrado por su frecuencia absoluta
para calcular la varianza y la desviación típica.
![]() | ![]() | ![]() | ![]() |
| 9 | 1 | 9 | 81 |
| 10 | 4 | 40 | 400 |
| 11 | 9 | 99 | 1089 |
| 12 | 16 | 192 | 2304 |
| 13 | 11 | 143 | 1859 |
| 14 | 8 | 112 | 1568 |
| 15 | 1 | 15 | 225 |
| 50 | 610 | 7526 |
Repasa estos conceptos con nuestro profesor de mates.
Calculamos la media aritmética

Calculamos la varianza

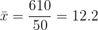
El resultado de lanzar dos dados 120 veces viene dado por la tabla. Calcular la varianza
| Sumas | Veces |
| 2 | 3 |
| 3 | 8 |
| 4 | 9 |
| 5 | 11 |
| 6 | 20 |
| 7 | 19 |
| 8 | 16 |
| 9 | 13 |
| 10 | 11 |
| 11 | 6 |
| 12 | 4 |
1Agregamos las columnas de 
![]() | ![]() | ![]() | ![]() |
| 2 | 3 | 6 | 12 |
| 3 | 8 | 24 | 72 |
| 4 | 9 | 36 | 144 |
| 5 | 11 | 55 | 275 |
| 6 | 20 | 120 | 720 |
| 7 | 19 | 133 | 931 |
| 8 | 16 | 128 | 1024 |
| 9 | 13 | 117 | 1053 |
| 10 | 11 | 110 | 1100 |
| 11 | 6 | 66 | 726 |
| 12 | 4 | 48 | 576 |
| 120 | 843 | 6633 |
2Calculamos la media aritmética

3Calculamos la varianza

Calcular la varianza de una distribución estadística que viene dada por la siguiente tabla
![]() | |
| [10, 15) | 3 |
| [15, 20) | 5 |
| [20, 25) | 7 |
| [25, 30) | 4 |
| [30, 35) | 2 |
1Agregamos las columnas de 
![]() | ![]() | ![]() | ![]() | |
| [10, 15) | 12.5 | 3 | 37.5 | 468.75 |
| [15, 20) | 17.5 | 5 | 87.5 | 1531.25 |
| [20, 25) | 22.5 | 7 | 157.5 | 3543.75 |
| [25, 30) | 27.5 | 4 | 110 | 3025 |
| [30, 35) | 32.5 | 2 | 65 | 2112.5 |
| 21 | 457.5 | 10681.25 |
2Calculamos la media

3Calculamos la varianza

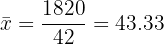
Calcular la varianza de la distribución de la tabla
![]() | ![]() | ![]() | ![]() | |
|---|---|---|---|---|
| [10, 20) | 15 | 1 | 15 | 225 |
| [20, 30) | 25 | 8 | 200 | 5000 |
| [30,40) | 35 | 10 | 350 | 12 250 |
| [40, 50) | 45 | 9 | 405 | 18 225 |
| [50, 60) | 55 | 8 | 440 | 24 200 |
| [60,70) | 65 | 4 | 260 | 16 900 |
| [70, 80) | 75 | 2 | 150 | 11 250 |
| 42 | 1 820 | 88 050 |
1Calculamos la media

2Calculamos la varianza

Las alturas de los jugadores de un equipo de baloncesto vienen dadas por la tabla. Calcula la varianza
| Altura | Nº de Jugadores |
| [1.70, 1.75) | 1 |
| [1.75, 1.80) | 3 |
| [1.80, 1.85) | 4 |
| [1.85, 1.90) | 8 |
| [1.90, 1.95) | 5 |
| [1.95, 2.00) | 2 |
1Completamos la tabla con las columnas de 
![]() | ![]() | ![]() | ![]() | ![]() | |
| [1.70, 1.75) | 1.725 | 1 | 1 | 1.725 | 2.976 |
| [1.75, 1.80) | 1.775 | 3 | 4 | 5.325 | 9.452 |
| [1.80, 1.85) | 1.825 | 4 | 8 | 7.3 | 13.323 |
| [1.85, 1.90) | 1.875 | 8 | 16 | 15 | 28.125 |
| [1.90, 1.95) | 1.925 | 5 | 21 | 9.625 | 18.53 |
| [1.95, 2.00) | 1.975 | 2 | 23 | 3.95 | 7.802 |
| 23 | 42.925 | 80.213 |
2Calculamos la media

3Calculamos la varianza

Dada la distribución estadística. Calcular la varianza
![]() | |
| [0, 5) | 3 |
| [5, 10) | 5 |
| [10, 15) | 7 |
| [15, 20) | 8 |
| [20, 25) | 2 |
| [25, ∞) | 6 |
1Completamos la tabla con las columnas de 
![]() | ![]() | ![]() | |
| [0, 5) | 2.5 | 3 | 3 |
| [5, 10) | 7.5 | 5 | 8 |
| [10, 15) | 12.5 | 7 | 15 |
| [15, 20) | 17.5 | 8 | 23 |
| [20, 25) | 22.5 | 2 | 25 |
| [25, ∞) | 6 | 31 | |
| 31 |
2No se puede calcular la media, porque no se puede hallar la marca de clase del último intervalo.
3Si no hay media, no es posible hallar la varianza.
Considérese los siguientes datos:
. Se pide:
a Calcular su media y su varianza.
b Si los todos los datos anteriores los multiplicamos por
, cúal será la nueva media y varianza.
Completamos la tabla con las columnas de 
![]() | ![]() |
| 2 | 4 |
| 3 | 9 |
| 4 | 16 |
| 6 | 36 |
| 8 | 64 |
| 10 | 100 |
| 33 | 229 |
1 Media y varianza:


2 Si todos los valores de la variable se multiplican por un número la media queda multiplicada por
y la varianza queda multiplicada por el cuadrado de dicho número.


Resumir con IA:







Apuntes es una plataforma dirigida al estudio y la práctica de las matemáticas a través de la teoría y ejercicios interactivos que ponemos a vuestra disposición. Esta información está disponible para todo aquel/aquella que quiera profundizar en el aprendizaje de esta ciencia. Será un placer ayudaros en caso de que tengáis dudas frente algún problema, sin embargo, no realizamos un ejercicio que nos presentéis de 0 sin que hayáis si quiera intentado resolverlo. Ánimo, todo esfuerzo tiene su recompensa.
Me gusto la dinámica solo que no pude completar lo ultimo
Hola nos alegra que te halla gustado la dinámica, si tienes una duda con confianza coméntalo y te responderemos.
en la realización de esta actividad vimos de manera clara toda la distribución de datos. en actividad de las diagramas de barra identificamos las categorías y los intervalos de mayor a menor frecuencia, ya que en la actividad de los polígonos llevamos acabo las tendencias y variables de todo el conjunto de datos. esto son las herramientas que mas utilizamos para hacer la interpretación de datos con la ayuda de ka estadística y hace la comparación de diversos grupos y variables.
Hola excelente resumen de lo que se analiza en el artículo, te felicitamos.
4. La tabla registra el ahorro mensual de s/. 100 mensuales. Completa la tabla y contesta.
a) ¿Cuál es la suma de la tercera y cuarta frecuencia absoluta acumulada?
b) ¿Cuántos estudiantes tienen ahorros mayores o iguales que S/. 20, pero menores que S/. 40?
c) ¿Qué porcentaje de estudiantes tienen ahorros menores que S/. 30?
d) ¿A qué intervalo pertenecen los ahorros de la mayoría de los estudiantes?
Lo unico que no me parecio del ejercicio es que al momento de redondear por ejemplo cuando el resultados es .155 asi fue como lo escribi pero me lo marcaba incorrecto, ya que pedia redondear a 16%
Entonces eso complico un poco a la hora de los resultados.
Hola entendemos tu frustración, pero como a veces sucede que algunos libros o maestros piden redondear y otros no, entonces se tomo este criterio que es mas generalizado.