La desviación típica es una medida fundamental en estadística que indica cuánto se dispersan los datos respecto a su media. Es especialmente útil para comprender la variabilidad de un conjunto de datos y comparar distribuciones.
Te presentamos una serie de ejercicios resueltos paso a paso que te ayudarán a entender cómo calcular la desviación típica tanto para datos agrupados como para datos no agrupados. Estos ejercicios están diseñados para reforzar conceptos clave y mostrar la aplicación práctica de las fórmulas, facilitando así una comprensión más profunda del tema.
Calcula la desviación típica
Hallar la desviación media, la varianza y la desviación típica de 10, 12, 13, 16, 9, 8, 12, 8, 6, 16
1 Calculamos la media aritmética

2Calculamos la desviación media


3Calculamos la varianza


4Calculamos la desviación típica


En un gimnasio los usuarios que utilizan la caminadora han marcado los siguientes tiempos: 25, 42, 56, 38, 43, 54 minutos. Encuentra la desviación media, la varianza y la desviación típica
1 Calculamos la media aritmética

2Calculamos la desviación media


3Calculamos la varianza


4Calculamos la desviación típica


La cantidad de lluvia en milímetros registrada en una población fue de 15, 20, 20, 22 y 23 milímetros. Encuentra la desviación media, la varianza y la desviación típica
1 Calculamos la media aritmética

2Calculamos la desviación media


3Calculamos la varianza


4Calculamos la desviación típica


El tiempo de espera registrado por cinco personas en un banco fue de 5, 6, 7, 8, 10 minutos. Encuentra la desviación media, la varianza y la desviación típica
1 Calculamos la media aritmética

2Calculamos la desviación media


3Calculamos la varianza


4Calculamos la desviación típica


Las calificaciones de María fueron 95, 90, 87, 98, 100. Encuentra la desviación media, la varianza y la desviación típica
1 Calculamos la media aritmética

2Calculamos la desviación media


3Calculamos la varianza


4Calculamos la desviación típica


Completar las tablas
Encuentra la desviación típica para la siguiente tabla:
![]() | ![]() |
![]() | ![]() |
![]() | ![]() |
![]() | ![]() |
![]() | ![]() |
![]() | ![]() |
![]() | ![]() |
![]() | ![]() |
1 Completamos la tabla
-
- El producto de la variable por su frecuencia absoluta
para calcular la media
- El producto de la variable por su frecuencia absoluta
-
- El producto de la variable al cuadrado por su frecuencia absoluta
para calcular la desviación típica
- El producto de la variable al cuadrado por su frecuencia absoluta
![]() | ![]() | ![]() | ![]() | ![]() |
![]() | ![]() | ![]() | ![]() | ![]() |
![]() | ![]() | ![]() | ![]() | ![]() |
![]() | ![]() | ![]() | ![]() | ![]() |
![]() | ![]() | ![]() | ![]() | ![]() |
![]() | ![]() | ![]() | ![]() | ![]() |
![]() | ![]() | ![]() | ![]() | ![]() |
![]() | ![]() | ![]() | ![]() | ![]() |
![]() | ![]() | ![]() |
2 Media aritmética

3 Desviación típica

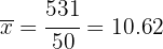
En un gimnasio los usuarios han utilizado una caminadora durante un mes y los tiempos en minutos vienen dados por la siguiente tabla:
| Tiempo | Veces |
![]() | ![]() |
![]() | ![]() |
![]() | ![]() |
![]() | ![]() |
![]() | ![]() |
![]() | ![]() |
Calcular la desviación típica.
1 Completamos la tabla
-
- El producto de la variable por su frecuencia absoluta
para calcular la media
- El producto de la variable por su frecuencia absoluta
-
- El producto de la variable al cuadrado por su frecuencia absoluta
para calcular la desviación típica
- El producto de la variable al cuadrado por su frecuencia absoluta
![]() | ![]() | ![]() | ![]() |
![]() | ![]() | ![]() | ![]() |
![]() | ![]() | ![]() | ![]() |
![]() | ![]() | ![]() | ![]() |
![]() | ![]() | ![]() | ![]() |
![]() | ![]() | ![]() | ![]() |
![]() | ![]() | ![]() | ![]() |
![]() | ![]() | ![]() |
2 Media aritmética

3 Desviación típica

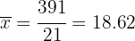
Calcular la desviación típica de una distribución estadística que viene dada por la siguiente tabla, la cual representa el volumen de lluvia de 21 días en mililitros:
| Mililitros | Días |
![]() | ![]() |
![]() | ![]() |
![]() | ![]() |
![]() | ![]() |
1 Completamos la tabla
-
- El producto de la variable por su frecuencia absoluta
para calcular la media
- El producto de la variable por su frecuencia absoluta
-
- El producto de la variable al cuadrado por su frecuencia absoluta
para calcular la desviación típica
- El producto de la variable al cuadrado por su frecuencia absoluta
![]() | ![]() | ![]() | ![]() |
![]() | ![]() | ![]() | ![]() |
![]() | ![]() | ![]() | ![]() |
![]() | ![]() | ![]() | ![]() |
![]() | ![]() | ![]() | ![]() |
![]() | ![]() | ![]() |
2 Media aritmética

3 Desviación típica

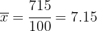
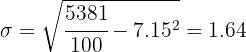
El tiempo de espera de 100 clientes en una sucursal bancaria viene dado por la tabla:
| Tiempo | Número de clientes |
![]() | ![]() |
![]() | ![]() |
![]() | ![]() |
![]() | ![]() |
![]() | ![]() |
Calcular la desviación típica
1 Completamos la tabla
-
- El producto de la variable por su frecuencia absoluta
para calcular la media
- El producto de la variable por su frecuencia absoluta
-
- El producto de la variable al cuadrado por su frecuencia absoluta
para calcular la desviación típica
- El producto de la variable al cuadrado por su frecuencia absoluta
![]() | ![]() | ![]() | ![]() |
![]() | ![]() | ![]() | ![]() |
![]() | ![]() | ![]() | ![]() |
![]() | ![]() | ![]() | ![]() |
![]() | ![]() | ![]() | ![]() |
![]() | ![]() | ![]() | ![]() |
![]() | ![]() | ![]() |
2 Media aritmética

3 Desviación típica

Las calificaciones de un grupo de estudiantes viene dado en la siguiente tabla:
| Calificaciones | Número de alumnos |
![]() | ![]() |
![]() | ![]() |
![]() | ![]() |
![]() | ![]() |
![]() | ![]() |
![]() | ![]() |
Calcular la desviación típica.
1 Completamos la tabla con la columna de 
![]() | ![]() | ![]() | ![]() |
![]() | ![]() | ![]() | ![]() |
![]() | ![]() | ![]() | ![]() |
![]() | ![]() | ![]() | ![]() |
![]() | ![]() | ![]() | ![]() |
![]() | ![]() | ![]() | ![]() |
![]() | ![]() | ![]() | ![]() |
![]() | ![]() | ![]() |
2 Media aritmética

3 Desviación típica

Resumir con IA:














































































































Apuntes es una plataforma dirigida al estudio y la práctica de las matemáticas a través de la teoría y ejercicios interactivos que ponemos a vuestra disposición. Esta información está disponible para todo aquel/aquella que quiera profundizar en el aprendizaje de esta ciencia. Será un placer ayudaros en caso de que tengáis dudas frente algún problema, sin embargo, no realizamos un ejercicio que nos presentéis de 0 sin que hayáis si quiera intentado resolverlo. Ánimo, todo esfuerzo tiene su recompensa.
Me gusto la dinámica solo que no pude completar lo ultimo
Hola nos alegra que te halla gustado la dinámica, si tienes una duda con confianza coméntalo y te responderemos.
en la realización de esta actividad vimos de manera clara toda la distribución de datos. en actividad de las diagramas de barra identificamos las categorías y los intervalos de mayor a menor frecuencia, ya que en la actividad de los polígonos llevamos acabo las tendencias y variables de todo el conjunto de datos. esto son las herramientas que mas utilizamos para hacer la interpretación de datos con la ayuda de ka estadística y hace la comparación de diversos grupos y variables.
Hola excelente resumen de lo que se analiza en el artículo, te felicitamos.
4. La tabla registra el ahorro mensual de s/. 100 mensuales. Completa la tabla y contesta.
a) ¿Cuál es la suma de la tercera y cuarta frecuencia absoluta acumulada?
b) ¿Cuántos estudiantes tienen ahorros mayores o iguales que S/. 20, pero menores que S/. 40?
c) ¿Qué porcentaje de estudiantes tienen ahorros menores que S/. 30?
d) ¿A qué intervalo pertenecen los ahorros de la mayoría de los estudiantes?
Lo unico que no me parecio del ejercicio es que al momento de redondear por ejemplo cuando el resultados es .155 asi fue como lo escribi pero me lo marcaba incorrecto, ya que pedia redondear a 16%
Entonces eso complico un poco a la hora de los resultados.
Hola entendemos tu frustración, pero como a veces sucede que algunos libros o maestros piden redondear y otros no, entonces se tomo este criterio que es mas generalizado.