Escoge la opción que indica la desviación típica de cada serie de datos:
El número de veces que come pasta durante una semana un grupo de tres amigos:
Selecciona una respuesta.
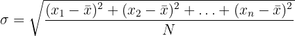
Recordemos la fórmula para la desviación típica de una población,

donde
son los valores diferentes del conjunto de datos y
el promedio de los datos.
Por lo que, para lograr determinar el valor de la desviación típica es necesario calcular el promedio.
Calculamos el promedio de los datos de la siguiente manera,

Una vez calculado el promedio, determinamos la desviación típica sustituyendo en la fórmula presentada con anterioridad

Los litros de agua que beben al día un grupo de cuatro amigos:
Selecciona una respuesta.
Recordemos la fórmula para la desviación típica de una población,

donde
son los valores del conjunto de datos y
el promedio de los datos.
Por lo que, para lograr determinar el valor de la desviación típica es necesario calcular el promedio.
Calculamos el promedio de los datos,
Sustituyendo en la fórmula de la desviación presentada con anterioridad obtenemos
Por último, calculamos raíz cuadrada para obtener la desviación típica,
El número de horas que Carmen ha visto la tele durante cada día de la semana pasada es: 
Selecciona una respuesta.
Recordemos la fórmula para la desviación típica de una población,

donde
son los valores del conjunto de datos y
el promedio de los datos.
Por lo que, para lograr determinar el valor de la desviación típica es necesario calcular el promedio.
Calculamos el promedio de los datos,
Sustituyendo en la fórmula de la desviación presentada anteriormente obtenemos que
Calculando la raíz cuadrada, obtenemos la desviación típica,
Las veces que se cepilla María los dientes al día durante una semana:
.
Selecciona una respuesta.
Recordemos la fórmula para la desviación típica de una población,

donde
son los valores del conjunto de datos y
el promedio de los datos.
Por lo que, para lograr determinar el valor de la desviación típica es necesario calcular el promedio.
Calculamos el promedio de los datos,

Determinamos la desviación típica al cuadrado sustituyendo en la fórmula presentada anteriormente

Finalmente, calculando raíz cuadrada a ambos lados, obtenemos la desviación típica,

Las notas de los exámenes de matemáticas realizados durante el curso por Pablo son:
.
Selecciona una respuesta.
Recordemos la fórmula para la desviación típica de una población,
donde
son los valores del conjunto de datos y
el promedio de los datos.
Por lo que, para lograr determinar el valor de la desviación típica es necesario calcular el promedio.
Calculamos el promedio de los datos, 
Determinamos la desviación típica al cuadrado sustituyendo los valores en la fórmula presentada anteriormente, 
Calculando la raíz cuadrada en ambos lados obtenemos la desviación típica,

El número de horas que dedican los grupos de alumnos formados en una clase al realizar un trabajo de investigación sobre de Geometría:
Selecciona una respuesta.
Recordemos la fórmula para la desviación típica de una población,

donde
son los valores del conjunto de datos y
el promedio de los datos.
Por lo que, para lograr determinar el valor de la desviación típica es necesario calcular el promedio.
Calculamos el promedio de los datos,

Determinamos la desviación típica al cuadrado sustituyendo en la fórmula presentada anteriormente,

Calculando la raíz cuadrada a ambos lados obtenemos la desviación típica,

Las estaturas en centímetros de un grupo de cinco amigos:
.
Selecciona una respuesta.
Recordemos la fórmula para la desviación típica de una población,
donde
son los valores del conjunto de datos y
el promedio de los datos.
Por lo que, para lograr determinar el valor de la desviación típica es necesario calcular el promedio.
Calculamos el promedio de los datos, 
Determinamos la desviación típica al cuadrado sustituyendo en la fórmula presentada anteriormente, esto es 
Calculando raíz cuadrada en ambos lados, la desviación típica es

El número de veces que va al cine en un mes cada componente de un grupo de once amigos es:
Selecciona una respuesta.
Recordemos la fórmula para la desviación típica de una población,
donde
son los valores del conjunto de datos y
el promedio de los datos.
Por lo que, para lograr determinar el valor de la desviación típica es necesario calcular el promedio.
Calculamos el promedio de los datos, 
Determinamos la desviación típica al cuadrado sustituyendo los valores en la fórmula, esto es, 
Por último, calculando la raíz cuadrada en la expresión anterior, obtenemos la desviación típica

Contesta a las siguientes cuestiones:
Las notas de matemáticas de los 26 alumnos de una clase son:
.
Calcula la desviación típica de las notas obtenidas, redondeando a dos cifras decimales si fuese necesario:
Este campo es obligatorio.
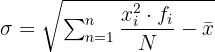
Recordemos la fórmula para la desviación típica de datos agrupados,

donde
representa los datos diferentes de la población,
es la frecuencia de los datos y
el promedio de los datos, podemos notar que es necesario calcular los valores
y
para lograr determinar la desviación típica. Esto lo lograremos con ayuda de la siguiente tabla.
Datos![]() | Frecuencia![]() | ![]() | ![]() |
|---|---|---|---|
| 2 | 1 | 2 | 4 |
| 3 | 3 | 9 | 27 |
| 4 | 7 | 28 | 112 |
| 5 | 6 | 30 | 150 |
| 6 | 6 | 36 | 216 |
| 7 | 2 | 14 | 98 |
| 8 | 1 | 8 | 64 |
| 26 | 127 | 671 |
En la tabla anterior, en la última fila se encuentran las suma totales de las columnas. Esto quiere decir que 26 representa la cardinalidad del conjunto de datos y 127 es la suma del total de datos.
Teniendo esto en cuenta, calculamos el promedio de la siguiente manera. 
Sustituyendo los valores en la fórmula de la desviación típica para datos agrupados obtenemos que 
Las faltas de asistencia de 25 alumnos de otra clase son:
.
Calcula la desviación típica:
Este campo es obligatorio.
Recordemos la fórmula para la desviación típica de datos agrupados,
donde
representa los datos diferentes de la población,
es la frecuencia de los datos y
el promedio de los datos, podemos notar que es necesario calcular los valores
y
para lograr determinar la desviación típica. Esto lo lograremos con ayuda de la siguiente tabla.
Datos ![]() | Frecuencia ![]() | ![]() | ![]() |
|---|---|---|---|
| 0 | 6 | 0 | 0 |
| 1 | 8 | 8 | 8 |
| 2 | 6 | 12 | 24 |
| 3 | 1 | 3 | 9 |
| 4 | 1 | 4 | 16 |
| 6 | 1 | 6 | 36 |
| 7 | 2 | 14 | 98 |
| 25 | 47 | 191 |
En la tabla anterior, en la última fila se encuentran las suma totales de las columnas. Esto quiere decir que 25 representa la cardinalidad del conjunto de datos y 47 es la suma del total de datos.
Teniendo esto en cuenta, calculamos el promedio de la siguiente manera. 
Sustituyendo los valores en la fórmula de la desviación típica para datos agrupados obtenemos que

Si tienes dudas puedes consultar la teoría
Resumir con IA:



Apuntes es una plataforma dirigida al estudio y la práctica de las matemáticas a través de la teoría y ejercicios interactivos que ponemos a vuestra disposición. Esta información está disponible para todo aquel/aquella que quiera profundizar en el aprendizaje de esta ciencia. Será un placer ayudaros en caso de que tengáis dudas frente algún problema, sin embargo, no realizamos un ejercicio que nos presentéis de 0 sin que hayáis si quiera intentado resolverlo. Ánimo, todo esfuerzo tiene su recompensa.
Me gusto la dinámica solo que no pude completar lo ultimo
Hola nos alegra que te halla gustado la dinámica, si tienes una duda con confianza coméntalo y te responderemos.
en la realización de esta actividad vimos de manera clara toda la distribución de datos. en actividad de las diagramas de barra identificamos las categorías y los intervalos de mayor a menor frecuencia, ya que en la actividad de los polígonos llevamos acabo las tendencias y variables de todo el conjunto de datos. esto son las herramientas que mas utilizamos para hacer la interpretación de datos con la ayuda de ka estadística y hace la comparación de diversos grupos y variables.
Hola excelente resumen de lo que se analiza en el artículo, te felicitamos.
4. La tabla registra el ahorro mensual de s/. 100 mensuales. Completa la tabla y contesta.
a) ¿Cuál es la suma de la tercera y cuarta frecuencia absoluta acumulada?
b) ¿Cuántos estudiantes tienen ahorros mayores o iguales que S/. 20, pero menores que S/. 40?
c) ¿Qué porcentaje de estudiantes tienen ahorros menores que S/. 30?
d) ¿A qué intervalo pertenecen los ahorros de la mayoría de los estudiantes?
Lo unico que no me parecio del ejercicio es que al momento de redondear por ejemplo cuando el resultados es .155 asi fue como lo escribi pero me lo marcaba incorrecto, ya que pedia redondear a 16%
Entonces eso complico un poco a la hora de los resultados.
Hola entendemos tu frustración, pero como a veces sucede que algunos libros o maestros piden redondear y otros no, entonces se tomo este criterio que es mas generalizado.