Calcular percentiles
Dadas las series estadísticas:
.
.
Calcular para la primera serie los percentiles
y
.
Para la segunda, hallar los percentiles
y
.
1
.
La serie en orden es:
.
Al calcular los percentiles obtenemos:
2
.
La serie en orden es:
.
Al calcular los percentiles obtenemos:
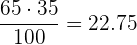
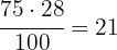
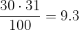
Calcular los percentiles 30 y 80 del conjunto:

La serie en orden es:
.
Al calcular los percentiles obtenemos:


Calcula el percentil 70 de la siguiente tabla:
![]() | ![]() |
![]() | ![]() |
![]() | ![]() |
![]() | ![]() |
![]() | ![]() |
![]() | ![]() |
Buscamos la posición donde se encuentra el percentil

Así, el percentil 70 es

Una distribución estadística viene dada por la siguiente tabla:
![]() | |
![]() | ![]() |
![]() | ![]() |
![]() | ![]() |
![]() | ![]() |
![]() | ![]() |
Hallar el percentil
.
1 Completamos la tabla con la frecuencia acumulada:
| ![]() | ![]() | |
![]() | ![]() | ![]() | ![]() |
![]() | ![]() | ![]() | ![]() |
![]() | ![]() | ![]() | ![]() |
![]() | ![]() | ![]() | ![]() |
![]() | ![]() | ![]() | ![]() |
![]() |
2 Buscamos el intervalo donde se encuentra el percentil
Multiplicamos
por
, en este caso
, y dividimos por 

En la columna de las frecuencias acumuladas
, identificamos el intervalo que contiene a 
La clase de
es: 
3Aplicamos la fórmula para el cálculo de percentiles de datos agrupados Extrayendo los siguientes datos:




Concluímos que:

Calcular el percentil
y
de la distribución de la tabla:
![]() | ![]() | |
|---|---|---|
![]() | ![]() | ![]() |
![]() | ![]() | ![]() |
![]() | ![]() | ![]() |
![]() | ![]() | ![]() |
![]() | ![]() | ![]() |
![]() | ![]() | ![]() |
![]() | ![]() | ![]() |
![]() |
Cálculo del percentil 
1 Buscamos el intervalo donde se encuentra el percentil
Multiplicamos
por
, en este caso
, y dividimos por 

En la columna de las frecuencias acumuladas
identificamos el intervalo que contiene a 
La clase de
es: 
2 Aplicaremos la fórmula para el cálculo de percentiles para datos agrupados
Extraemos los siguientes datos:




Concluimos que:

Cálculo del percentil 
1 Buscamos el intervalo donde se encuentra el percentil
Multiplicamos
por
, en este caso
, y dividimos por 

Buscamos en la columna de las frecuencias acumuladas
el intervalo que contiene a 
La clase de
es: 
2 Aplicaremos la fórmula para el cálculo de percentiles para datos agrupados Extraemos los siguientes datos:




Concluímos que:

Más problemas relacionados
Las alturas de los jugadores de un equipo de baloncesto vienen dadas por la tabla:
| Altura | Nº de Jugadores |
![]() | ![]() |
![]() | ![]() |
![]() | ![]() |
![]() | ![]() |
![]() | ![]() |
![]() | ![]() |
¿Cuántos jugadores se encuentran por encima de la media más una desviación típica?
1 Completamos la tabla con la frecuencia acumulada:
![]() | | | |
![]() | ![]() | ![]() | ![]() |
![]() | ![]() | ![]() | ![]() |
![]() | ![]() | ![]() | ![]() |
![]() | ![]() | ![]() | ![]() |
![]() | ![]() | ![]() | ![]() |
![]() | ![]() | ![]() | ![]() |
![]() |
2 Buscamos el intervalo del percentil deseado

Este valor pertenece a un percentil que se encuentra en el penúltimo intervalo.

3 Establecemos la siguiente proporción:

Sólo hay
jugadores por encima de 
Dada la distribución de frecuencias absolutas acumuladas:
| Edad | ![]() |
![]() | ![]() |
![]() | ![]() |
![]() | ![]() |
![]() | ![]() |
![]() | ![]() |
¿Entre qué valores se encuentran las
edades centrales?
1 Veamos que porcentaje representan las
edades

Los
alumnos representan el
% central de la distribución.

Debemos hallar
y
.
2 Calculamos
y
.


Las 10 edades centrales están en el intervalo:
.
El número de días que faltarón los alumnos de un colegio debido a diversas enfermedades se representa en la siguiente tabla:
![]() | |
![]() | ![]() |
![]() | ![]() |
![]() | ![]() |
![]() | ![]() |
![]() | ![]() |
![]() | ![]() |
A partir de que valor se encuentra el 25% del número de alumnos con la mayor cantidad de faltas?
Cálculo del percentil 75
Buscamos la posición donde se encuentra el percentil 75, multiplicando 75 por
y dividiendo por 

Buscamos en la columna de las frecuencias absolutas la posición 

A continuación se presentan la temperatura en una población a lo largo de un año
![]() | |
![]() | ![]() |
![]() | ![]() |
![]() | ![]() |
![]() | ![]() |
![]() | ![]() |
![]() | ![]() |
Hasta que valor se encuentra el 30% de la temperatura más baja?
Ampliamos la tabla con otra columna donde disponemos la frecuencia acumulada
:
En la primera casilla colocamos la primera frecuencia absoluta. En la segunda casilla sumamos el valor de la frecuencia acumulada anterior más la frecuencia absoluta correspondiente y así sucesivamente hasta la última, que tiene que se igual a
, de la siguiente manera:
![]() | ![]() | ![]() | |
![]() | ![]() | ![]() | ![]() |
![]() | ![]() | ![]() | ![]() |
![]() | ![]() | ![]() | ![]() |
![]() | ![]() | ![]() | ![]() |
![]() | ![]() | ![]() | ![]() |
![]() | ![]() | ![]() | |
![]() |
Cálculo del percentil 30
Buscamos el intervalo donde se encuentra el percentil 30, multiplicando 30 por
y dividiendo por 

Buscamos en la columna de las frecuencias acumuladas
el intervalo que contiene a 
La clase de
es: [10, 15)
Aplicaremos la fórmula para el cálculo de percentiles para datos agrupados, extrayendo los siguientes datos:





El histograma de la distribución correspondiente al peso de
alumnos de Bachillerato es el siguiente:

¿Hasta que valor se encuentra el
% de los alumnos menos pesados?
Construimos la tabla:
![]() | ![]() | ![]() | |
![]() | ![]() | ![]() | ![]() |
![]() | ![]() | ![]() | ![]() |
![]() | ![]() | ![]() | ![]() |
![]() | ![]() | ![]() | ![]() |
![]() | ![]() | ![]() | ![]() |
![]() |
Buscamos el intervalo donde se encuentra el percentil 40, multiplicando
por
y dividiendo por 

Buscamos en la columna de las frecuencias acumuladas
el intervalo que contiene a 
La clase de
es: 
Aplicaremos la fórmula para el cálculo de percentiles para datos agrupados, extrayendo los siguientes datos:





Resumir con IA:




















































































Apuntes es una plataforma dirigida al estudio y la práctica de las matemáticas a través de la teoría y ejercicios interactivos que ponemos a vuestra disposición. Esta información está disponible para todo aquel/aquella que quiera profundizar en el aprendizaje de esta ciencia. Será un placer ayudaros en caso de que tengáis dudas frente algún problema, sin embargo, no realizamos un ejercicio que nos presentéis de 0 sin que hayáis si quiera intentado resolverlo. Ánimo, todo esfuerzo tiene su recompensa.
Me gusto la dinámica solo que no pude completar lo ultimo
Hola nos alegra que te halla gustado la dinámica, si tienes una duda con confianza coméntalo y te responderemos.
en la realización de esta actividad vimos de manera clara toda la distribución de datos. en actividad de las diagramas de barra identificamos las categorías y los intervalos de mayor a menor frecuencia, ya que en la actividad de los polígonos llevamos acabo las tendencias y variables de todo el conjunto de datos. esto son las herramientas que mas utilizamos para hacer la interpretación de datos con la ayuda de ka estadística y hace la comparación de diversos grupos y variables.
Hola excelente resumen de lo que se analiza en el artículo, te felicitamos.
4. La tabla registra el ahorro mensual de s/. 100 mensuales. Completa la tabla y contesta.
a) ¿Cuál es la suma de la tercera y cuarta frecuencia absoluta acumulada?
b) ¿Cuántos estudiantes tienen ahorros mayores o iguales que S/. 20, pero menores que S/. 40?
c) ¿Qué porcentaje de estudiantes tienen ahorros menores que S/. 30?
d) ¿A qué intervalo pertenecen los ahorros de la mayoría de los estudiantes?
Lo unico que no me parecio del ejercicio es que al momento de redondear por ejemplo cuando el resultados es .155 asi fue como lo escribi pero me lo marcaba incorrecto, ya que pedia redondear a 16%
Entonces eso complico un poco a la hora de los resultados.
Hola entendemos tu frustración, pero como a veces sucede que algunos libros o maestros piden redondear y otros no, entonces se tomo este criterio que es mas generalizado.