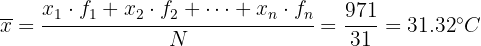
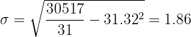
1 Las temperaturas máximas en una ciudad durante el mes de junio fueron: 
Calcula la moda:
Mo =
Este campo es obligatorio.
Calcula la mediana:
Me =
Este campo es obligatorio.
Calcula la media:
=
Este campo es obligatorio.
Calcula el rango:
R =
Este campo es obligatorio.
Calcula la desviación media:
=
Este campo es obligatorio.
Calcula la varianza:
=
Este campo es obligatorio.
Calcula la desviación típica:
=
Este campo es obligatorio.
| xi | fi | xi · fi | |x − x| | |x − x| · fi | xi² · fi |
|---|---|---|---|---|---|
| 28 | 2 | 56 | 3.32 | 6.64 | 1 568 |
| 29 | 4 | 116 | 2.32 | 9.28 | 3 364 |
| 30 | 4 | 120 | 1.32 | 5.28 | 3 600 |
| 31 | 7 | 217 | 0.32 | 2.24 | 6 727 |
| 32 | 5 | 160 | 0.68 | 3.4 | 5 120 |
| 33 | 5 | 165 | 1.68 | 8.4 | 5 445 |
| 34 | 3 | 102 | 2.68 | 8.04 | 3 468 |
| 35 | 1 | 35 | 3.68 | 3.68 | 1 225 |
| 31 | 971 | 46.96 | 30 517 |
Moda Recordemos que la moda es el valor que tiene mayor frecuencia absoluta, es decir, el valor que mas se repite. En este caso, la moda es 31 porque es la temperatura que se repite más en el mes de junio.
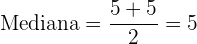
Mediana Recordemos que la mediana es el valor que ocupa el lugar central de todos los datos cuando éstos están ordenados de menor a mayor. Si la serie tiene un número impar de medidas la mediana es la puntuación central de la misma y si la serie tiene un número par de puntuaciones la mediana es la media entre las dos puntuaciones centrales. En primer lugar dividimos 31/2 y obtenemos 15.5, es decir, si colocamos las temperaturas en orden, la mediana seria la que ocupe el lugar 16.
Por tanto, Me = 31
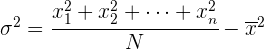
Media La media aritmética es el valor obtenido al sumar todos los datos y dividir el resultado entre el número total de datos y se representa por
, es decir 
Rango El rango es la diferencia entre el mayor y el menor de los datos de una distribución estadística. Entonces 
Desviación media La desviación respecto a la media es la diferencia entre cada valor de la variable estadística y la media aritmética. 
La desviación media es la media aritmética de los valores absolutos de las desviaciones respecto a la media. La desviación media se representa por
.
entonces 
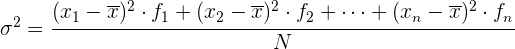
Varianza La varianza es la media aritmética del cuadrado de las desviaciones respecto a la media de una distribución estadística. La varianza se representa por
.
equivalentemente
Por tanto, 
Desviación típica La desviación típica o estándar es la raíz cuadrada de la varianza, por tanto

2Sea una distribución estadística que viene dada por la siguiente tabla:
![]() | ![]() |
|---|---|
![]() | ![]() |
![]() | ![]() |
![]() | ![]() |
![]() | ![]() |
![]() | ![]() |
Calcular:
La moda:
Mo =
Este campo es obligatorio.
La mediana:
Me =
Este campo es obligatorio.
La media:
=
Este campo es obligatorio.
El rango:
R =
Este campo es obligatorio.
Calcula la desviación media:
=
Este campo es obligatorio.
Calcula la varianza:
=
Este campo es obligatorio.
Calcula la desviación típica:
=
Este campo es obligatorio.
Completamos la tabla con:
- La frecuencia acumulada (
) para calcular la mediana
- El producto de la variable por su frecuencia absoluta (
) para calcular la media
- La desviación respecto a la media
y su producto por la frecuencia absoluta
para calcular la desviación media
- El producto de la variable al cuadrado por su frecuencia absoluta (
) para calcular la varianza y la desviación típica
![]() | ![]() | ![]() | ![]() | ![]() | ![]() | ![]() |
|---|---|---|---|---|---|---|
![]() | ![]() | ![]() | ![]() | ![]() | ![]() | ![]() |
![]() | ![]() | ![]() | ![]() | ![]() | ![]() | ![]() |
![]() | ![]() | ![]() | ![]() | ![]() | ![]() | ![]() |
![]() | ![]() | ![]() | ![]() | ![]() | ![]() | ![]() |
![]() | ![]() | ![]() | ![]() | ![]() | ![]() | ![]() |
![]() | ![]() | ![]() | ![]() |
strong>Moda
La moda es el valor que tiene mayor frecuencia absoluta.
Miramos en la columna de las
y la frecuencia absoluta mayor,
,corresponde a
.
.
Mediana
Para calcular la mediana dividimos
entre
y vemos que la casilla de las
donde se encuentra que la
mas cercana a
es
y corresponde a
.


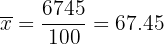
Media
Calculamos la sumatoria de la variable por su frecuencia absoluta (
) que es
y la dividimos por
.

Desviación media
Calculamos la sumatoria de de los productos de desviaciones respecto a la media por sus frecuencias absolutas correspondientes
que es
y dividimos por
.

Rango
Realizamos la la diferencia entre el mayor y el menor de los valores
.
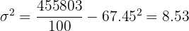
Varianza
Calculamos la sumatoria de
, la dividimos por
y al resultado le restaremos la media aritmética al cuadrado 
.
Desviación típica
Hacemos la raíz cuadrada de la varianza

3 Hallar la media, mediana y moda de la siguiente serie de números:

La moda:
Mo =
Este campo es obligatorio.
La mediana:
Me =
Este campo es obligatorio.
La media:
=
Este campo es obligatorio.
Moda
La moda es
porque es el valor que más se repite.
.
Mediana
La serie tiene un número par de puntuaciones, la mediana será la media entre las dos puntuaciones centrales.
.
Media
Aplicamos la fórmula de la media.
.
4 Hallar la desviación media, la varianza y la desviación típica de la siguiente serie de numeros:

Desviación media:
=
Este campo es obligatorio.
Varianza:
=
Este campo es obligatorio.
Desviación típica:
=
Este campo es obligatorio.
Media
.
Desviación media
.
Varianza

Desviación típica
.
Resumir con IA:






































Apuntes es una plataforma dirigida al estudio y la práctica de las matemáticas a través de la teoría y ejercicios interactivos que ponemos a vuestra disposición. Esta información está disponible para todo aquel/aquella que quiera profundizar en el aprendizaje de esta ciencia. Será un placer ayudaros en caso de que tengáis dudas frente algún problema, sin embargo, no realizamos un ejercicio que nos presentéis de 0 sin que hayáis si quiera intentado resolverlo. Ánimo, todo esfuerzo tiene su recompensa.
Me gusto la dinámica solo que no pude completar lo ultimo
Hola nos alegra que te halla gustado la dinámica, si tienes una duda con confianza coméntalo y te responderemos.
en la realización de esta actividad vimos de manera clara toda la distribución de datos. en actividad de las diagramas de barra identificamos las categorías y los intervalos de mayor a menor frecuencia, ya que en la actividad de los polígonos llevamos acabo las tendencias y variables de todo el conjunto de datos. esto son las herramientas que mas utilizamos para hacer la interpretación de datos con la ayuda de ka estadística y hace la comparación de diversos grupos y variables.
Hola excelente resumen de lo que se analiza en el artículo, te felicitamos.
4. La tabla registra el ahorro mensual de s/. 100 mensuales. Completa la tabla y contesta.
a) ¿Cuál es la suma de la tercera y cuarta frecuencia absoluta acumulada?
b) ¿Cuántos estudiantes tienen ahorros mayores o iguales que S/. 20, pero menores que S/. 40?
c) ¿Qué porcentaje de estudiantes tienen ahorros menores que S/. 30?
d) ¿A qué intervalo pertenecen los ahorros de la mayoría de los estudiantes?
Lo unico que no me parecio del ejercicio es que al momento de redondear por ejemplo cuando el resultados es .155 asi fue como lo escribi pero me lo marcaba incorrecto, ya que pedia redondear a 16%
Entonces eso complico un poco a la hora de los resultados.
Hola entendemos tu frustración, pero como a veces sucede que algunos libros o maestros piden redondear y otros no, entonces se tomo este criterio que es mas generalizado.