Capítulos
En estadística, los cuartiles son valores que dividen un conjunto de datos ordenados en cuatro partes iguales, permitiendo analizar la distribución de los datos de una manera más detallada. Los cuartiles proporcionan una medida importante de dispersión y son fundamentales en la descripción de la variabilidad dentro de un conjunto de datos.
En este conjunto de ejercicios resueltos, abordaremos paso a paso cómo calcular y analizar los cuartiles de un conjunto de datos, brindando ejemplos prácticos que ilustran tanto los métodos de cálculo como su interpretación en contextos estadísticos. Estos ejercicios ayudarán a fortalecer la comprensión de las técnicas de análisis de datos y a desarrollar habilidades clave para interpretar la distribución y dispersión de los mismos.
Cálculo de cuartiles de un conjunto de datos
Calcular los cuartiles del conjunto 
Comencemos ordenando en orden ascendente el conjunto de tal manera que obtenemos
.

Calcular los cuartiles del conjunto 
Comencemos ordenando en orden ascendente el conjunto de tal manera que obtenemos
.
En este caso 
En este caso 
En este caso 
Calcular los cuartiles del conjunto 
Comencemos ordenando en orden ascendente el conjunto de tal manera que obtenemos
.
En este caso 
En este caso 
En este caso 
Calcular los cuartiles del conjunto 
Comencemos ordenando en orden ascendente el conjunto de tal manera que obtenemos 
En este caso 
En este caso 
En este caso 
Calcular los cuartiles del conjunto: 
Ordenamos el conjunto 
En este caso 
En este caso 
En este caso 
Cálculo de cuartiles usando distintas tablas
Calcula el cuartil
de la siguiente tabla:
![]() | ![]() |
![]() | ![]() |
![]() | ![]() |
![]() | ![]() |
![]() | ![]() |
![]() | ![]() |
Buscamos la posición donde se encuentra el primer cuartil

Así, el primer cuartil es

Calcula el cuartil
de la siguiente tabla:
![]() | ![]() |
![]() | ![]() |
![]() | ![]() |
![]() | ![]() |
![]() | ![]() |
![]() | ![]() |
Buscamos la posición donde se encuentra el tercer cuartil

Así, el terer cuartil es

Calcula el cuartil
de la siguiente tabla:
![]() | ![]() |
![]() | ![]() |
![]() | ![]() |
![]() | ![]() |
![]() | ![]() |
![]() | ![]() |
Buscamos la posición donde se encuentra el segundo cuartil

Así, el segundo cuartil es

Calcula los cuartiles
y
de la siguiente tabla:
![]() | |
![]() | ![]() |
![]() | ![]() |
![]() | ![]() |
![]() | ![]() |
![]() | ![]() |
Buscamos el intervalo donde se encuentra el primer cuartil, multiplicando 1 por
y dividiendo por 

Buscamos en la columna de las frecuencias acumuladas
el intervalo que contiene a 
La clase de
es: 
Aplicaremos la fórmula para el cálculo de cuartiles para datos agrupados, extrayendo los siguientes datos:





Cálculo del tercer cuartil
Buscamos el intervalo donde se encuentra el tercer cuartil, multiplicando
por
y dividiendo por 

Buscamos en la columna de las frecuencias acumuladas
el intervalo que contiene a 
La clase de
es: 
Aplicaremos la fórmula para el cálculo de cuartiles para datos agrupados, extrayendo los siguientes datos:





Dada la distribución estadística:
![]() | |
![]() | ![]() |
![]() | ![]() |
![]() | ![]() |
![]() | ![]() |
![]() | ![]() |
![]() | ![]() |
Calcular los cuartiles
y
.
Ampliamos la tabla con otra columna donde disponemos la frecuencia acumulada
:
En la primera casilla colocamos la primera frecuencia absoluta. En la segunda casilla sumamos el valor de la frecuencia acumulada anterior más la frecuencia absoluta correspondiente y así sucesivamente hasta la última, que tiene que se igual a
, de la siguiente manera:
![]() | ![]() | ![]() | |
![]() | ![]() | ![]() | ![]() |
![]() | ![]() | ![]() | ![]() |
![]() | ![]() | ![]() | ![]() |
![]() | ![]() | ![]() | ![]() |
![]() | ![]() | ![]() | ![]() |
![]() | ![]() | ![]() | |
![]() |
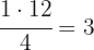
Cálculo del primer cuartil
Buscamos el intervalo donde se encuentra el primer cuartil, multiplicando 1 por
y dividiendo por 

Buscamos en la columna de las frecuencias acumuladas
el intervalo que contiene a 
La clase de
es: [5, 10)
Aplicaremos la fórmula para el cálculo de cuartiles para datos agrupados, extrayendo los siguientes datos:





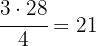
Cálculo del tercer cuartil
Buscamos el intervalo donde se encuentra el tercer cuartil, multiplicando
por
y dividiendo por 

Buscamos en la columna de las frecuencias acumuladas
el intervalo que contiene a 
La clase de
es: 
Aplicaremos la fórmula para el cálculo de cuartiles para datos agrupados, extrayendo los siguientes datos:





Problema de distribución estadística
El número de días que faltarón los alumnos de un colegio debido a diversas enfermedades se representa en la siguiente tabla:
![]() | |
![]() | ![]() |
![]() | ![]() |
![]() | ![]() |
![]() | ![]() |
![]() | ![]() |
![]() | ![]() |
A partir de que valor se encuentra el 25% del número de alumnos con la mayor cantidad de faltas?
Cálculo del tercer cuartil
Buscamos la posición donde se encuentra el tercer cuartil, multiplicando 3 por
y dividiendo por 

Buscamos en la columna de las frecuencias absolutas la posición 

El número de días que tarda una empresa de mensajería en entregar 16 productos se representa en la siguiente tabla:
![]() | |
![]() | ![]() |
![]() | ![]() |
![]() | ![]() |
![]() | ![]() |
![]() | ![]() |
![]() | ![]() |
A partir de que valor se encuentra el 25% de las entregas tardías?
Cálculo del tercer cuartil
Buscamos la posición donde se encuentra el tercer cuartil, multiplicando 3 por
y dividiendo por 

Buscamos en la columna de las frecuencias absolutas la posición 

Las alturas de un grupo de alumnos de un colegio son las siguientes:
![]() | |
![]() | ![]() |
![]() | ![]() |
![]() | ![]() |
![]() | ![]() |
![]() | ![]() |
![]() | ![]() |
A partir de que valor se encuentra el 25% de las alturas mayores?
Cálculo del tercer cuartil
Buscamos la posición donde se encuentra el tercer cuartil, multiplicando 3 por
y dividiendo por 

Buscamos en la columna de las frecuencias absolutas la posición 

A continuación se presentan la temperatura en una población a lo largo de un año
![]() | |
![]() | ![]() |
![]() | ![]() |
![]() | ![]() |
![]() | ![]() |
![]() | ![]() |
![]() | ![]() |
Hasta que valor se encuentra el 25% de la temperatura más baja?
Ampliamos la tabla con otra columna donde disponemos la frecuencia acumulada
:
En la primera casilla colocamos la primera frecuencia absoluta. En la segunda casilla sumamos el valor de la frecuencia acumulada anterior más la frecuencia absoluta correspondiente y así sucesivamente hasta la última, que tiene que se igual a
, de la siguiente manera:
![]() | ![]() | ![]() | |
![]() | ![]() | ![]() | ![]() |
![]() | ![]() | ![]() | ![]() |
![]() | ![]() | ![]() | ![]() |
![]() | ![]() | ![]() | ![]() |
![]() | ![]() | ![]() | ![]() |
![]() | ![]() | ![]() | |
![]() |
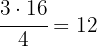
Cálculo del primer cuartil
Buscamos el intervalo donde se encuentra el primer cuartil, multiplicando 1 por
y dividiendo por 

Buscamos en la columna de las frecuencias acumuladas
el intervalo que contiene a 
La clase de
es: [5, 10)
Aplicaremos la fórmula para el cálculo de cuartiles para datos agrupados, extrayendo los siguientes datos:





El histograma de la distribución correspondiente al peso de
alumnos de Bachillerato es el siguiente:

¿A partir de que valores se encuentran el
% de los alumnos más pesados?
Construimos la tabla:
![]() | ![]() | ![]() | |
![]() | ![]() | ![]() | ![]() |
![]() | ![]() | ![]() | ![]() |
![]() | ![]() | ![]() | ![]() |
![]() | ![]() | ![]() | ![]() |
![]() | ![]() | ![]() | ![]() |
![]() |
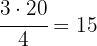
Buscamos el intervalo donde se encuentra el tercer cuartil, multiplicando
por
y dividiendo por 

Buscamos en la columna de las frecuencias acumuladas
el intervalo que contiene a 
La clase de
es: 
Aplicaremos la fórmula para el cálculo de cuartiles para datos agrupados, extrayendo los siguientes datos:





Resumir con IA:





























































Apuntes es una plataforma dirigida al estudio y la práctica de las matemáticas a través de la teoría y ejercicios interactivos que ponemos a vuestra disposición. Esta información está disponible para todo aquel/aquella que quiera profundizar en el aprendizaje de esta ciencia. Será un placer ayudaros en caso de que tengáis dudas frente algún problema, sin embargo, no realizamos un ejercicio que nos presentéis de 0 sin que hayáis si quiera intentado resolverlo. Ánimo, todo esfuerzo tiene su recompensa.
Me gusto la dinámica solo que no pude completar lo ultimo
Hola nos alegra que te halla gustado la dinámica, si tienes una duda con confianza coméntalo y te responderemos.
en la realización de esta actividad vimos de manera clara toda la distribución de datos. en actividad de las diagramas de barra identificamos las categorías y los intervalos de mayor a menor frecuencia, ya que en la actividad de los polígonos llevamos acabo las tendencias y variables de todo el conjunto de datos. esto son las herramientas que mas utilizamos para hacer la interpretación de datos con la ayuda de ka estadística y hace la comparación de diversos grupos y variables.
Hola excelente resumen de lo que se analiza en el artículo, te felicitamos.
4. La tabla registra el ahorro mensual de s/. 100 mensuales. Completa la tabla y contesta.
a) ¿Cuál es la suma de la tercera y cuarta frecuencia absoluta acumulada?
b) ¿Cuántos estudiantes tienen ahorros mayores o iguales que S/. 20, pero menores que S/. 40?
c) ¿Qué porcentaje de estudiantes tienen ahorros menores que S/. 30?
d) ¿A qué intervalo pertenecen los ahorros de la mayoría de los estudiantes?
Lo unico que no me parecio del ejercicio es que al momento de redondear por ejemplo cuando el resultados es .155 asi fue como lo escribi pero me lo marcaba incorrecto, ya que pedia redondear a 16%
Entonces eso complico un poco a la hora de los resultados.
Hola entendemos tu frustración, pero como a veces sucede que algunos libros o maestros piden redondear y otros no, entonces se tomo este criterio que es mas generalizado.