Escoge la opción que indica la desviación media de cada serie de datos:
El número de veces que come pasta durante una semana un grupo de tres amigos:
2, 4, 3
Selecciona una respuesta.
Comenzamos por calcular la media usando la fórmula 

Ahora calculamos la desviación media usando la fórmula 
donde,
es el número de datos y
los datos dados.


Los litros de agua que beben al día un grupo de cuatro amigos:
2, 1, 3, 2
Selecciona una respuesta.
Encontramos la media por medio de la fórmula
y posteriormente calculamos la desviación media por medio de la fórmula
donde n es el número de datos.



El número de horas que Carmen ha visto la tele durante cada día de la semana pasada es:
3, 2, 3, 3, 2, 6, 3
Selecciona una respuesta.
Comenzamos por calcular la media usando la fórmula 

Ahora calculamos la desviación media usando la fórmula 
donde,
es el número de datos y
los datos dados.




Las veces que se cepilla María los dientes al día durante una semana:
1, 2, 3, 3, 4, 2, 1.
Selecciona una respuesta.
Encontramos la media por medio de la fórmula
y posteriormente calculamos la desviación media por medio de la fórmula
donde n es el número de datos.





Las notas de los exámenes de matemáticas realizados durante el curso por Pablo son:
7, 5, 6, 8, 7, 8, 8, 9, 10, 10.
Selecciona una respuesta.
Comenzamos por calcular la media usando la fórmula
donde,
es el número de datos y
los datos dados.

Ahora calculamos la desviación media usando la fórmula


El número de horas que dedican un grupo de cuatro amigos a realizar un trabajo de investigación de Geometría:
10, 23, 12, 13
Selecciona una respuesta.
Encontramos la media por medio de la fórmula
y posteriormente calculamos la desviación media por medio de la fórmula
donde n es el número de datos.



Las estaturas en centímetros de un grupo de cinco amigos:
150, 160, 164, 158, 183.
Selecciona una respuesta.
Comenzamos por calcular la media usando la fórmula 
donde,
es el número de datos y
los datos dados.

Ahora calculamos la desviación media usando la fórmula 




El número de veces que va al cine en un mes cada componente de un grupo de cinco amigos es:
2, 2, 2, 3, 1,
Selecciona una respuesta.
Encontramos la media por medio de la fórmula
y posteriormente calculamos la desviación media por medio de la fórmula
donde n es el número de datos.



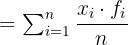
Las notas de matemáticas de los 26 alumnos de una clase son:
6, 2, 4, 4, 5, 5, 6, 3, 8, 6, 5, 3, 7, 6, 5, 6, 4, 4, 4, 3, 5, 5, 4, 6, 7, 4
Calcula la desviación media, redondeando a dos cifras decimales si fuese necesario:
Este campo es obligatorio.
![]() | ![]() | ![]() | ![]() | ![]() | |
|---|---|---|---|---|---|
| 2 | I | 1 | 2 | 2.88 | 2.88 |
| 3 | III | 3 | 9 | 1.88 | 5.64 |
| 4 | ![]() | 7 | 28 | 0.88 | 6.16 |
| 5 | ![]() | 6 | 30 | 0.12 | 0.72 |
| 6 | ![]() | 6 | 36 | 1.12 | 6.72 |
| 7 | II | 2 | 14 | 2.12 | 4.24 |
| 8 | I | 1 | 8 | 3.12 | 3.12 |
| Total | 26 | 127 | 29.48 |
De la sección anterior, usando las fórmulas para datos agrupados:
y la fórmula para la desviación media,

donde
es el número de datos,
los datos dados y
la frecuencia respectiva a los datos dados.

Así, resolviendo la tabla,

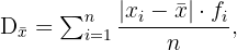
Las faltas de asistencia de 25 alumnos de otra clase son:
0, 1, 1, 1, 3, 2, 2, 7, 1, 2, 1, 0, 0, 0, 1, 2, 1, 2, 1, 2, 0, 0, 4, 6, 7
Calcula la desviación media, redondeando a dos cifras decimales si fuese necesario:
Este campo es obligatorio.
![]() | ![]() | ![]() | ![]() | ![]() | |
|---|---|---|---|---|---|
| 0 | ![]() | 6 | 0 | 1.88 | 11.28 |
| 1 | ![]() | 8 | 8 | 0.88 | 7.04 |
| 2 | ![]() | 6 | 12 | 0.12 | 0.72 |
| 3 | I | 1 | 3 | 1.12 | 1.12 |
| 4 | I | 1 | 4 | 2.12 | 2.12 |
| 6 | I | 1 | 6 | 4.12 | 4.12 |
| 7 | II | 2 | 14 | 5.12 | 10.24 |
| Total | 25 | 47 | 36.64 |
De la sección anterior, usando las fórmulas para datos agrupados:
y la fórmula para la desviación media,

donde
es el número de datos,
los datos dados y
la frecuencia respectiva a los datos dados.

Así, resolviendo la tabla,

Si tienes dudas puedes consultar la teoría
Resumir con IA:










Apuntes es una plataforma dirigida al estudio y la práctica de las matemáticas a través de la teoría y ejercicios interactivos que ponemos a vuestra disposición. Esta información está disponible para todo aquel/aquella que quiera profundizar en el aprendizaje de esta ciencia. Será un placer ayudaros en caso de que tengáis dudas frente algún problema, sin embargo, no realizamos un ejercicio que nos presentéis de 0 sin que hayáis si quiera intentado resolverlo. Ánimo, todo esfuerzo tiene su recompensa.
Me gusto la dinámica solo que no pude completar lo ultimo
Hola nos alegra que te halla gustado la dinámica, si tienes una duda con confianza coméntalo y te responderemos.
en la realización de esta actividad vimos de manera clara toda la distribución de datos. en actividad de las diagramas de barra identificamos las categorías y los intervalos de mayor a menor frecuencia, ya que en la actividad de los polígonos llevamos acabo las tendencias y variables de todo el conjunto de datos. esto son las herramientas que mas utilizamos para hacer la interpretación de datos con la ayuda de ka estadística y hace la comparación de diversos grupos y variables.
Hola excelente resumen de lo que se analiza en el artículo, te felicitamos.
4. La tabla registra el ahorro mensual de s/. 100 mensuales. Completa la tabla y contesta.
a) ¿Cuál es la suma de la tercera y cuarta frecuencia absoluta acumulada?
b) ¿Cuántos estudiantes tienen ahorros mayores o iguales que S/. 20, pero menores que S/. 40?
c) ¿Qué porcentaje de estudiantes tienen ahorros menores que S/. 30?
d) ¿A qué intervalo pertenecen los ahorros de la mayoría de los estudiantes?
Lo unico que no me parecio del ejercicio es que al momento de redondear por ejemplo cuando el resultados es .155 asi fue como lo escribi pero me lo marcaba incorrecto, ya que pedia redondear a 16%
Entonces eso complico un poco a la hora de los resultados.
Hola entendemos tu frustración, pero como a veces sucede que algunos libros o maestros piden redondear y otros no, entonces se tomo este criterio que es mas generalizado.