En esta sección aprenderemos la definición de monomio, sus características, propiedades y algunas operaciones entre ellos.
¿Qué es un monomio?
Un monomio es una expresión algebraica de un sólo término que se compone del producto de incógnitas de variables (literales) cuyos exponentes son números enteros no negativos, y un número llamado coeficiente. Se denomina polinomio a la suma de varios monomios, por lo tanto podemos ver a un monomio como una clase de polinomio la cual poseé un único término.
El grado del monomio es la potencia más grande entre las variables.
Ejemplos de monomios son
, cuyo literal es
, su coeficiente es
y su grado es
. Otro ejemplo es
, cuyo literal es
, su coeficiente es
y su grado es
. Un último ejemplo es
en donde los literales son
y
, el coeficiente es
y su grado es
. Por otro lado,
no es un monomio ya que su exponente es una fracción, de igual manera,
no es un monomio ya que su exponente es negativo.
Ejercicios de monomios
Identifica cuáles de las siguientes expresiones algebraicas son monomios, además indica cuál es su grado y su coeficiente:
1 
2 
3 
4 
5 
6 
7 
8 
9 
10 
Analizaremos si las exrpesiones cumplen con la definición, en caso de hacerlo, procederemos a identificar su grado y su coeficiente.
1 
Notemos que cumple con la definición de monomio. Además, dado que solo hay un literal y su pontencia es
, entonces el grado del monomio es
, además, su coeficiente también es
.
2 
Notemos que la potencia de la variable
es
, por lo tanto no cumple la definición de monomio ya que no pueden tener potencias negativas.
3 
No cumple la definición de monomio ya que un monomio debe componerse por un único término, aquí tenemos dos términos,
y
. De hecho, éste es un binomio.
4 
Cumple con la definición de monomio. Además el grado es
ya que el exponente de
es
. El coeficiente es
.
5 
No cumple con la definición de monomio ya que esta expresión es equivalente a
, cuyo exponente es negativo.
6 
No cumple con la definición de monomio ya que esta expresión es equivalente a
, cuyo exponente no es entero, recordemos que el exponente debe ser entero no negativo.
7 
No cumple la definición de monomio ya que un monomio debe componerse por un único término, aquí tenemos dos términos,
y
. De hecho, éste es un binomio.
8 
Cumple con la definición de monomio. Además el grado es
ya que el exponente de
es
. El coeficiente es
.
9 
No cumple con la definición de monomio ya que esta expresión es equivalente a
, cuyo exponente es negativo.
10 
No cumple con la definición de monomio ya que esta expresión es equivalente a
, cuyo exponente no es entero, recordemos que el exponente debe ser entero no negativo.
Operaciones básicas de monomios
Suma y resta de monomios
Para sumar o restar dos monomios y poder juntar los términos (simplificar), las variables que hay en ellos deben ser las mismas y, además, tener las mismas potencias. El resultado de la suma o resta será un monomio cuyo coeficiente será la suma o resta de los coeficientes que se estén sumando o restando multiplicando las variables con sus respectivas potencias. Por ejemplo, la suma
se puede simplificar ya que las variables o literales son las mismas,
y
, además estas tienen las mismas potencias,
tiene potencia
y
tiene potencia
en ambos monomios, por lo tanto la suma sería igual a
Por otro lado, la suma
no se puede simplificar ya que las potencias del literal
no son iguales, por lo tanto esta suma solo la podemos expresar como
. Si bien es cierto que podemos despejar una
de ambos monomios ese no es un tema que trataremos en este artículo.
Multiplicación y división de monomios
Sabemos que al multiplicar dos términos con misma base, el resultado es la base elevado a la suma de las potencias, en otras palabras, dados las expresiones con misma base
y
, su producto es
Así, por ejemplo, el producto de
y
es
Ahora, con monomios es muy parecido, dados dos monomios, al hacer su producto, el coeficiente resultante será el producto de los respectivos coeficientes y respecto a las variables simplemente agrupamos aquellas con la misma base y hacemos sus respectivos productos, en caso de haber variables que solo aparezcan en un monomio pero no el otro, entonces lo pasamos directamente. Así, por ejemplo, tomemos los monomios
y
, entonce sus producto es
De manera análoga, sabemos que al dividir dos términos con misma base, el resultado es la base elevado a la resta de las potencias (la potencia del numerador menos la potencia del denominador), en otras palabras, dados las expresiones con misma base
y
, su división es
Así, por ejemplo, el producto de
y
es
Ahora, con monomios es muy parecido, dados dos monomios, al hacer su división, el coeficiente resultante será división de los respectivos coeficientes y respecto a las variables simplemente agrupamos aquellas con la misma base y hacemos sus respectivas divisiones, en caso de haber variables en el numerador que no estén en el denominador, entonces las pasamos directamente, sin embargo, si hay variables en el denominador que no estén en el numerador, entonces las pasamos pero cambiando el signo de la potencia. Así, por ejemplo, tomemos los monomios
y
, entonce sus división es
Potencias de monomios
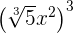
Las potencias de monomios son simples. Simplemente es elevar tanto el coeficiente como cada literal a la potencia a la cual elevamos todo el monomio. Claro, siempre aplicando las propiedades de exponente. Así, si queremos elevar, por ejemplo, el monomio
a la potencia
, tenemos que
Ejercicios sobre operaciones de monomios
Sumas y restas de monomios
Realiza las siguientes sumas y restas de monomios:
1 
2 
3 
4 
5 
Para resolver estos ejercicio haceremos uso de la explicación de suma y resta de monomios que vimos previamente.
1 
Como ambos monomios tienen los mismos literales y estos tienen las mismas potencias, podemos simplificar directamente

2 
Como ambos monomios tienen los mismos literales y estos tienen las mismas potencias, podemos simplificar directamente

3 
Como ambos monomios tienen los mismos literales y estos tienen las mismas potencias, podemos simplificar directamente

4 
Notemos que todos los monomios tienen lo mismo literales, sin embargo solo dos monomios tienen los literales con las mismas potencias, por lo tanto solo se pueden simplificar estos dos

5 
Notemos que todos los monomios tienen lo mismo literales, sin embargo, no todos tienen estos elevados a las mismas potencias. Vamos a agrupas aquellos monomios que cumplan tener los mismo literales y estos tengas las mismas potencias y así simplificaremos

Productos de monomios
Realiza las siguientes multiplicaciones de monomios:
1 
2 
3 
4 
5 
Para resolver estos ejercicio haceremos uso de la explicación de producto de monomios que vimos previamente. Recordemos agrupar variables iguales y coeficientes.
1 

2 

3 

4 

5 

División de monomios
Realiza las siguientes divisiones de monomios:
1 
2 
3 
4 
5 
Para resolver estos ejercicio haceremos uso de la explicación de división de monomios que vimos previamente. Recordemos agrupar variables iguales y coeficientes.
1 

2 

3 

4 

5 

Potencia de monomios
Resuelve las siguientes potencias de monomios:
1 
2 
3 
4 
5 
Para resolver estos ejercicio haceremos uso de la explicación de potencias de monomios que vimos previamente. Recordemos elevar a dicha potencia variables y coeficientes.
1 

2 

3 

4 

5 

Resumir con IA:









Apuntes es una plataforma dirigida al estudio y la práctica de las matemáticas a través de la teoría y ejercicios interactivos que ponemos a vuestra disposición. Esta información está disponible para todo aquel/aquella que quiera profundizar en el aprendizaje de esta ciencia. Será un placer ayudaros en caso de que tengáis dudas frente algún problema, sin embargo, no realizamos un ejercicio que nos presentéis de 0 sin que hayáis si quiera intentado resolverlo. Ánimo, todo esfuerzo tiene su recompensa.
me gustaría tener más información sobre esta URL es muy profunda su información y me apoya en álgebra
Hola, que bueno que te ayude la pagina, en cuanto a que tengas mas información, pueden poner en el buscador el tema que necesitas estudiar junto con la palabra superprof y tendras bastante información.
Quiero mas ejemplos de monomios pero feciles
En el cálculo con polinomios creo que la 4 estaba mal
Hola revise el ejercicio y no encontré el error, pero al principio me confundí pues la solución esta arriba del número, no se si te paso a ti, si no fue así, podrías señalármelo por favor.
HAY MUCHOS ERRORES
Miren sus soluciones a los problemas, los errores en la resolucion de sus propios problemas son DEMACIADOS.
Un ejemplo en calculos con polinomios
(x²+2)² (a+b)²=a²+2ab+b²
(x²)²+2(x²)(2)+2²
resultado real= x⁴+4x²+4
el suyo es= x⁴+2x²+4
Los invito a realizar su chequeo ya que confunde y desmotiva el uso de la pagina a la gran mayoria que estamos aprendiendo.
Hola te agradecemos tus comentarios, el error que mencionas ya se corrigió, si encuentras algún otro con gusto te atenderemos.
Este tipo de ejercicios no solo fortalecen el razonamiento algebraico, sino que también entrenan tu capacidad para explicar procesos paso a paso, algo que tú haces muy bien en tus presentaciones. Además, el uso de Ruffini y el teorema del resto te permite abordar polinomios complejos con elegancia y lógica, algo muy útil en programación y algoritmos también.
Utilizar el teorema del resto, la regla de ruffini y la formula general para ecuaciones de segundo grado