Métodos para la obtención de las raíces y factorización
En la ecuación de la forma
, el polinomio
se puede descomponer en factores de primer y segundo grado. Para ello utilizaremos el teorema del resto y la regla de Ruffini. También nos resultará útil la fórmula general.
¿Cómo están relacionadas las raíces del polinomio con su factorización?
Si tengo un polinomio
de grado
con raíces
, entonces el polinomio se factoriza como

Ejemplo
1 
Tomamos los divisores del término independiente: 
Aplicando el teorema del resto sabremos para cuáles de estos valores la división es exacta. Comenzamos con 1.

Como resultó 0, la división de
por el factor
es exacta, así que procedemos a calcularla por Ruffini.
Dividimos por Ruffini.




Por ser la división exacta, D = d · c, entonces

Se concluye que una raíz del polinomio
es
.
Continuamos realizando las mismas operaciones al segundo factor.
Volvemos a probar nuevamente con 1 porque el primer factor podría estar elevado al cuadrado. Para esto usamos el cociente resultante de Ruffini 

Como resultó un número distinto a 0, probamos con otro divisor, por ejemplo con -1

Como es igual a 0, calculamos la división de
por
con Ruffini.




Se concluye entonces que

Otra raíz es
.
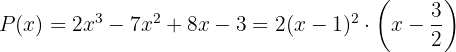
Como ya nos queda encontrar las raíces de
y es un polinomio de segundo grado, podemos usar la fórmula general. También podríamos continuar como lo hemos hecho, sin embargo ese método sólo encuentra raíces enteras, y no nos serviría si el polinomio tuviera raíces no enteras.

Usando la fórmula general tenemos que

Entonces


Las soluciones son:
,
,
y 
De esto se concluye que el polinomio
se factoriza como

Ejercicios propuestos para la solución de ecuaciones por el método de Ruffini y el teorema del resto
1 
Tomamos los divisores del término independiente: 
Aplicando el teorema del resto sabremos para cuáles de estos valores la división es exacta. Comenzamos con 1.

Como resultó 0, la división de
por el factor
es exacta, así que procedemos a calcularla por Ruffini.




Entonces

Se concluye que una raíz del polinomio
es
.
Continuamos realizando las mismas operaciones al segundo factor.
Volvemos a probar nuevamente con 1 porque esa raíz se podría repetir, es decir, que el primer factor podría estar elevado al cuadrado. Para esto usamos el cociente resultante de Ruffini 

Como es igual a 0, calculamos la división de
por
con Ruffini.




Por lo tanto

Las soluciones son:
y 
De esto se concluye que el polinomio
se factoriza como

2 
Tomamos los divisores del término independiente: 
Aplicando el teorema del resto sabremos para cuáles de estos valores la división es exacta



Como resultó 0, la división de
por el factor
es exacta, así que procedemos a calcularla por Ruffini.




Por lo tanto

Como ya nos queda encontrar las raíces de
y es un polinomio de segundo grado, usamos la fórmula general


Como no resulta un número real, no podemos descomponer más el polinomio de grado 2, entonces el polinomio
se factoriza

Y solo tiene una raíz: 
3
Aplicando el teorema del resto sabremos para cuáles de estos valores la división es exacta 



Como resultó 0 en este último, la división de
por el factor
es exacta, así que procedemos a calcularla por Ruffini.




Entonces

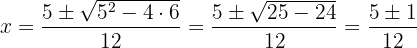
Como ya nos queda encontrar las raíces de
y es un polinomio de segundo grado, usamos la fórmula general


Entonces


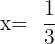
Las soluciones son:
,
y 
De esto se concluye que el polinomio
se factoriza como

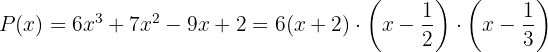
4 
Aplicando el teorema del resto sabremos para cuáles de estos valores la división es exacta 


Como resultó 0 en este último, la división de
por el factor
es exacta, así que procedemos a calcularla por Ruffini.




Entonces

Como ya nos queda encontrar las raíces del segundo factor
y es un polinomio de segundo grado, usamos la fórmula general


Entonces


Las soluciones son:
,
,
.
De esto se concluye que el polinomio
se factoriza como

Si necesitas que un profesor de mates te acompañe en tus estudios, lo podrás encontrar en Superprof.
Resumir con IA:









Apuntes es una plataforma dirigida al estudio y la práctica de las matemáticas a través de la teoría y ejercicios interactivos que ponemos a vuestra disposición. Esta información está disponible para todo aquel/aquella que quiera profundizar en el aprendizaje de esta ciencia. Será un placer ayudaros en caso de que tengáis dudas frente algún problema, sin embargo, no realizamos un ejercicio que nos presentéis de 0 sin que hayáis si quiera intentado resolverlo. Ánimo, todo esfuerzo tiene su recompensa.
me gustaría tener más información sobre esta URL es muy profunda su información y me apoya en álgebra
Hola, que bueno que te ayude la pagina, en cuanto a que tengas mas información, pueden poner en el buscador el tema que necesitas estudiar junto con la palabra superprof y tendras bastante información.
Quiero mas ejemplos de monomios pero feciles
En el cálculo con polinomios creo que la 4 estaba mal
Hola revise el ejercicio y no encontré el error, pero al principio me confundí pues la solución esta arriba del número, no se si te paso a ti, si no fue así, podrías señalármelo por favor.
HAY MUCHOS ERRORES
Miren sus soluciones a los problemas, los errores en la resolucion de sus propios problemas son DEMACIADOS.
Un ejemplo en calculos con polinomios
(x²+2)² (a+b)²=a²+2ab+b²
(x²)²+2(x²)(2)+2²
resultado real= x⁴+4x²+4
el suyo es= x⁴+2x²+4
Los invito a realizar su chequeo ya que confunde y desmotiva el uso de la pagina a la gran mayoria que estamos aprendiendo.
Hola te agradecemos tus comentarios, el error que mencionas ya se corrigió, si encuentras algún otro con gusto te atenderemos.
Este tipo de ejercicios no solo fortalecen el razonamiento algebraico, sino que también entrenan tu capacidad para explicar procesos paso a paso, algo que tú haces muy bien en tus presentaciones. Además, el uso de Ruffini y el teorema del resto te permite abordar polinomios complejos con elegancia y lógica, algo muy útil en programación y algoritmos también.
Utilizar el teorema del resto, la regla de ruffini y la formula general para ecuaciones de segundo grado