En este artículo exploraremos la factorización de polinomios. Primero expondremos algunos teoremas y propiedades sobre los polinomios que nos ayudarán a factorizarlos con mayor facilidad. Luego revisaremos con detalle métodos para factorizarlos y al final mostraremos algunos ejemplos de factorización de polinomios.
Teoremas sobre los factores de un polinomio
Para los siguientes teoremas recordemos que
es una raíz del polinomio
si se cumple que
.
Teorema del Resto
Teorema: El resto o residuo de la división de un polinomio
por un polinomio de la forma
es igual que el resultado de evaluar el polinomio
en
.
Por ejemplo, dividamos
entre
utilizando la regla de Ruffini:
Así, el cociente de la división es
, mientras que el residuo es 56. Por otro lado, si evaluamos
en 3, obtenemos:
Nota: Observemos que si
, entonces significa que el residuo es 0. En otras palabras:
Si multiplicamos ambos lados por
tenemos que
Por lo tanto,
es un factor de
. Este resultado se conoce como el teorema del factor.
Teorema del factor
Teorema: El polinomio
es divisible por un polinomio de la forma
si y sólo si
.
Como ejemplo, consideremos el polinomio
. Notemos que
por lo tanto,
. Además,
y
son raíces de
.
Nota: Si
es un polinomio de grado
y se divide por
, entonces el resultado tiene la forma:
donde
es constante y se conoce como residuo, mientras que
es un polinomio de grado
.
Teorema Fundamental del Álgebra
Teorema: Un polinomio
de grado
y con coeficientes reales
tiene exactamente
raíces, las cuales pueden ser reales o complejas.
Nota: Los polinomios reales tienen
raíces, sin embargo, es posible que ninguna sea real. Cuando ninguna raíz es real entonces el polinomio
no se puede factorizar en factores lineales.
Nota: Recordemos que factorizar un polinomio
en factores lineales significa escribir
de la forma
en donde
son las raíces de
.
Teorema de la Raíz Racional
Teorema: Sea
un polinomio con coeficientes
que son enteros. Si
es una raíz racional de
, entonces
tendrá la forma
donde
es un factor de
y
es un factor de
.
Nota: Este teorema, junto con el teorema del factor, nos ayudan a encontrar raíces rápido. Primero enlistamos todas las posibles raíces racionales
de
, luego evaluamos
. Si
, entonces sabremos que
es un factor de
. Describiremos algunos ejemplos en la sección de ejemplos.
Nota: Este teorema sólo nos dice la forma que tendrán las raíces racionales. Es posible que un polinomio no tenga ninguna raíz racional como en el caso de
, cuyas raíces son
y
.
Nota: Si
, entonces el polinomio se conoce como mónico. En este caso, el único factor de
es 1, por lo tanto, las raíces tienen la forma
donde
es un factor de
.
Algunas propiedades de las raíces y los factores de un polinomio
1 A cada raíz
le corresponde un binomio del tipo
como factor.
2 Supongamos que
es una raíz de
. Entonces, podemos escribir
como

donde
es un polinomio de grado
. Después, si descubrimos que
también es raíz de
, por lo tanto,
se podría escribir como

De aquí se sigue que
se puede escribir como

Si
, entonces diríamos que
es una raíz de multiplicidad 2 de
. Esto implica que las
raíces del polinomio
no son necesariamente todas distintas.
3 Podemos expresar un polinomio en factores al escribirlo como producto de todos los binomios del tipo
que correspondan a las raíces
del polinomio. Así,
se factoriza como

Por ejemplo, ya que
y
son raíces del polinomio
, entonces podemos escribir

4 Todo polinomio que no tenga un término independiente tendrá a
como raíz. Por lo tanto, también tendrá a
como factor (es decir,
).
Por ejemplo, el polinomio
se puede factorizar como
. De aquí, concluímos que las raíces son
y
.
5 Un polinomio es irreducible o primo si no puede descomponerse en factores.
Por ejemplo, el polinomio
no se puede factorizar ya que las raíces son complejas.
Métodos para factorizar un polinomio
Factor común
Sacar el factor común consiste en aplicar la propiedad distributiva de los números reales:
Por ejemplo, consideremos el polinomio
. Notemos que cada término se puede dividir por
(es decir, es el factor común). Por lo tanto, el polinomio lo podemos factorizar como
Observemos que el polinomio
no se puede factorizar, por lo tanto, esto es lo más que podemos factorizar el polinomio. La única raíz del polinomio es
con multiplicidad 2.
Productos notables
Existen algunos polinomios de segundo grado que son muy sencillos de factorizar ya que tienen una estructura fácilmente reconocible. Los más comunes son:
1 Diferencia de cuadrados: si el polinomio se puede escribir de la forma
, entonces podemos factorizar como
.
Por ejemplo, los polinomios
o
.
2 Trinomio cuadrado perfecto: si el polinomio tiene la forma
, entonces lo podemos factorizar como
.
Por ejemplo, consideremos el polinomio
(donde
y
), el cual se puede factorizar como
.
Nota: existen otros productos notables, como el cubo perfecto de binomios. Sin embargo, esos no son tan conmunes.
Con el teorema de la raíz racional
Si no tenemos un factor común o no se puede escribir el polinomio como un producto notable, entonces podemos intentar a utilizar el teorema de la raíz racional (siempre que todos los coeficientes del polinomio sean enteros). Aquí evaluamos el polinomio
entre todas las posibles raíces racionales
buscado alguna que satisfaga que
. En este caso, utilizamos la regla de Ruffini para realizar la factorización de la forma:
Luego repetimos el procedimiento con
(pero descargamos aquellos valores
que ya sabemos que no son factores).
Utilizando la fórmula general
Si el polinomio es de segundo grado (
) y todos los métodos anteriores fallaron, entonces podemos utilizar la fórmula general:
esto nos dará las dos raíces del polinomio
y
y el polinomio lo podremos factorizar como
.
Nota: Si las raíces son complejas, podemos obtar por dejar el polinomio sin factorizar y decir que es irreducible. También es posible factorizarlo utilizando las raíces complejas, sin embargo, en este caso los factores serán polinomios en los números complejos.
Nota: Si el polinomio es de grado mayor a 2 todo lo anterior falla, entonces es posible que todas las raíces sean irracionales o complejas. En este caso lo más apropiado es utilizar algún método numérico o un programa de computadora para factorizar el polinomio.
Ejemplos
Encuentra las raíces del polinomio
y factorízalo.
Por el teorema de la raíz racional sabemos que las raíces racionales serán de la forma
; ya que el polinomio es mónico y el término constante es 6 cuyos factores son 1, 2, 3 y 6 (todos los factores, no sólo los primos).
Al evaluar el polinomio en estos 8 posibles valores tenemos
,
,
,
(de aquí ya sabemos que
es una raíz),
(de donde sabemos que
también es una raíz, por lo que nos detenemos de evaluar ya que ya encontramos las dos raíces).
Por lo tanto, el polinomio
lo podemos factorizar como

Encuentra las raíces del polinomio
y factorízalo.
Por el teorema de la raíz racional sabemos que las raíces racionales serán de la forma
; ya que el polinomio es mónico y el término constante es 4 cuyos factores son 1, 2 y 4 (todos los factores, no sólo los primos).
Al evaluar el polinomio en estos 6 posibles valores tenemos
,
,
,
(de aquí ya sabemos que
son raices), por lo que nos detenemos de evaluar ya que ya encontramos las tres raíces).
Por lo tanto, el polinomio
lo podemos factorizar como

Factoriza los siguientes polinomios utilizando la fórmula general:
a 
b 
c 
Se nos pide utilizar la fórmula general, por lo que eso haremos para cada polinomio:
a Primero tenemos
,

por lo tanto, una raíz es
y la otra raíz es
. De aquí, se sigue que el polinomio se factoriza como

b Para
tenemos

por lo tanto, una raíz es
y la otra raíz es
. De aquí, se sigue que el polinomio se factoriza como

c Por último, para
notemos que no tenemos un polinomio de segundo grado. Sin embargo, solo tenemos las potencias 2 y 4, de manera que podemos hacer el cambio de variable
,

Este polinomio ya es de segundo grado, por lo que podemos utilizar la fórmula general,

De aquí, tenemos que las raíces son
y
. No obstante,
, por lo que tenemos

De esta forma, el polinomio queda factorizado como

Factoriza el siguiente polinomio de tercer grado:

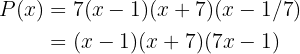
Como el polinomio es de tercer grado y tiene coeficientes enteros, entonces utilizaremos el teorema de la raíz racional para enlistar todas las posibles raíces racionales.
El coeficiente principal es 7, cuyos factores son 1 y 7. El coeficiente independiente es 7, que tiene factores 1 y 7. De esta forma, las posibles raíces son

Nota que descartamos
ya que es igual a
.
Ahora evaluamos el polinomio en estos valores para encontrar las raíces:

Notamos que el
es una raíz. Por lo tanto, utilizamos la regla de Ruffini:

Es decir,
y
son factores.
Notemos que el último factor es cuadrático, por lo que podemos utilizar la fórmula general:

Por lo tanto, las raíces restantes son
y
.
Es decir, las tres raíces son

Por último, el polinomio se factoriza como (recordemos que el coeficiente principal siempre lo dejamos fuera de los factores lineales):

donde multiplicamos el último factor por el 7 para deshacernos de la fracción.
Factoriza el siguiente polinomio de cuarto grado:

Como el polinomio es de cuarto grado y tiene coeficientes enteros, entonces utilizaremos el teorema de la raíz racional para enlistar todas las posibles raíces racionales.
El coeficiente principal es 2, cuyos factores son 1 y 2. El coeficiente independiente es 6, que tiene factores 1, 2, 3 y 6. De esta forma, las posibles raíces son

Nota que descartamos
ya que es igual a
; al igual que descartamos
ya que es igual a
.
Ahora evaluamos el polinomio en estos valores para encontrar las raíces:

Notamos que el
es una raíz. Por lo tanto, utilizamos la regla de Ruffini:

Es decir,
y
son factores.
Seguimos realizando el procedimiento, ahora con evaluando
en las posibles raíces (volvemos a intentar con 1, por si es una raíz de multiplicidad mayor):

por lo que
también es raíz. Utilizamos la regla de Ruffini de nuevo:

de forma que los factores son
y
.
Notemos que el último factor es cuadrático, por lo que podemos utilizar la fórmula general:

Por lo tanto, las raíces restantes son
y
.
Es decir, las cuatro raíces son

Por último, el polinomio se factoriza como (recordemos que el coeficiente principal siempre lo dejamos fuera de los factores lineales):

donde multiplicamos el último factor por el 2 para deshacernos de la fracción.
¿Conoces nuestras clases particulares matematicas Madrid?
Resumir con IA:









Apuntes es una plataforma dirigida al estudio y la práctica de las matemáticas a través de la teoría y ejercicios interactivos que ponemos a vuestra disposición. Esta información está disponible para todo aquel/aquella que quiera profundizar en el aprendizaje de esta ciencia. Será un placer ayudaros en caso de que tengáis dudas frente algún problema, sin embargo, no realizamos un ejercicio que nos presentéis de 0 sin que hayáis si quiera intentado resolverlo. Ánimo, todo esfuerzo tiene su recompensa.
me gustaría tener más información sobre esta URL es muy profunda su información y me apoya en álgebra
Hola, que bueno que te ayude la pagina, en cuanto a que tengas mas información, pueden poner en el buscador el tema que necesitas estudiar junto con la palabra superprof y tendras bastante información.
Quiero mas ejemplos de monomios pero feciles
En el cálculo con polinomios creo que la 4 estaba mal
Hola revise el ejercicio y no encontré el error, pero al principio me confundí pues la solución esta arriba del número, no se si te paso a ti, si no fue así, podrías señalármelo por favor.
HAY MUCHOS ERRORES
Miren sus soluciones a los problemas, los errores en la resolucion de sus propios problemas son DEMACIADOS.
Un ejemplo en calculos con polinomios
(x²+2)² (a+b)²=a²+2ab+b²
(x²)²+2(x²)(2)+2²
resultado real= x⁴+4x²+4
el suyo es= x⁴+2x²+4
Los invito a realizar su chequeo ya que confunde y desmotiva el uso de la pagina a la gran mayoria que estamos aprendiendo.
Hola te agradecemos tus comentarios, el error que mencionas ya se corrigió, si encuentras algún otro con gusto te atenderemos.
Este tipo de ejercicios no solo fortalecen el razonamiento algebraico, sino que también entrenan tu capacidad para explicar procesos paso a paso, algo que tú haces muy bien en tus presentaciones. Además, el uso de Ruffini y el teorema del resto te permite abordar polinomios complejos con elegancia y lógica, algo muy útil en programación y algoritmos también.
Utilizar el teorema del resto, la regla de ruffini y la formula general para ecuaciones de segundo grado