Valor numérico de un polinomio
El valor numérico de un polinomio es el resultado que obtenemos al evaluarlo, esto es, al sustituir la variable
por un número dado, notemos que esto implica que el valor numérico depende del número por el cual sustituyamos nuestra variable. Veamos los siguientes ejemplos:
Calcula el valor numérico del polinomio
en 
Calcula el valor numérico del polinomio
en 
Como dice la definición, en el polinomio debemos sustiruir
, por lo tanto, al evaluar tenemos

Así, tenemos que el valor numérico de nuestro polinomio
en
es
.
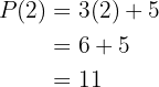
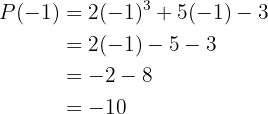
Calcula el valor numérico del polinomio
en 
Calcula el valor numérico del polinomio
en 
Como dice la definición, en el polinomio debemos sustiruir
, por lo tanto, al evaluar tenemos

Así, tenemos que el valor numérico de nuestro polinomio
en
es
.
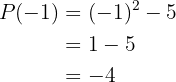
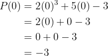
Calcula el valor numérico del polinomio
en 
Calcula el valor numérico del polinomio
en 
Como dice la definición, en el polinomio debemos sustituir
, por lo tanto, al evaluar tenemos

Así, tenemos que el valor numérico de nuestro polinomio
en
es
.
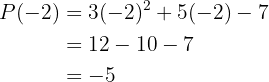
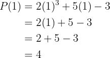
Calcula el valor numérico del polinomio
en 
Calcula el valor numérico del polinomio
en 
Como dice la definición, en el polinomio debemos sustiruir
, por lo tanto, al evaluar tenemos

Así, tenemos que el valor numérico de nuestro polinomio
en
es
.
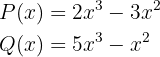
Calcula el valor numérico del polinomio 
evaluando en los siguientes valores
a 
b 
c 
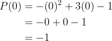
Calcula el valor numérico del polinomio 
evaluando en los siguientes valores
a 
Como dice la definición, en el polinomio debemos sustiruir
, por lo tanto, al evaluar tenemos

b 
Debemos sustiruir
, en nuestro polinomio

c 
Por último, debemos sustiruir
en nuestro polinomio

Así, obtuvimos tres valores numéricos de nuestro polinomio
, tenemos que el valor numérico de
en
es
, el valor numérico de
en
es
y, por último, el valor numérico de
en
es
.
Polinomios iguales
Para que dos polinomio sean iguales, se deben cumplir las condiciones siguientes:
-
- Los dos polinomios tienen el mismo grado.
- Lo monomios del mismo grado deben tener los mismos coeficiente en ambos polinomios (incluyendo signo).
Veamos un par de ejemplos para entender mejor esto:
Determinar si los siguientes polinomios son iguales

Por la definición, notemos que se deben cumplir ambas condiciones para ser iguales. Sin embargo, para demostrar que no son iguales es suficiente encontrar que una condición no se cumpla.
Los polinomios

Notemos que sí son del mismo grado (grado 3). Además, cada monomio que aparece en
aparece en
y tienen los mismos coeficientes. Así que ambos polinomios son iguales.

Por la definición, notemos que se deben cumplir ambas condiciones para ser iguales. Sin embargo, para demostrar que no son iguales es suficiente encontrar que una condición no se cumpla.
Los polinomios

No son iguales, esto se debe a que el monomio de orden
en
es
, mientras que el monomio de orden
en
es
, notemos que sus coeficientes son distintos,
.

Por la definición, notemos que se deben cumplir ambas condiciones para ser iguales. Sin embargo, para demostrar que no son iguales es suficiente encontrar que una condición no se cumpla.
Los polinomios

No son iguales, ya que el monomio de orden
en
es
, mientras que en
el monomio de orden
no aparece, es decir, es igual a
, esto implica que tienen coeficientes distintos.

Por la definición, notemos que se deben cumplir ambas condiciones para ser iguales. Sin embargo, para demostrar que no son iguales es suficiente encontrar que una condición no se cumpla.
Los polinomios

En este ejemplo tenenemos monomios donde los literales tienen más de una variable, entonces para ser iguales, en cada monomio con mismos literales, cada literal debe tener la misma potencia. Dicho esto, notemos que el tenemos el monomio
en
, sin embargo, en
no aparece ningún monomio con esos literales elevados a esas mismas potencias, por lo tanto podría decir que en
ese monomio es
y estos tienen distintos coeficientes, así, estos polinomios no son iguales.

Por la definición, notemos que se deben cumplir ambas condiciones para ser iguales. Sin embargo, para demostrar que no son iguales es suficiente encontrar que una condición no se cumpla.
Los polinomios

En este ejemplo tenenemos monomios donde los literales tienen más de una variable, entonces para ser iguales, en cada monomio con mismos literales, cada literal debe tener la misma potencia. Dicho esto, notemos que el tenemos el monomio
en
, sin embargo, en
no aparece ningún monomio con esos coeficientes, por lo tanto podría decir que en
ese monomio es
y estos tienen distintos coeficientes, así, estos polinomios no son iguales.
Polinomios semejantes
Un polinomio
es semejante a
si para cada monomio en
se encuentra un monomio con los mismos literales en
cuyo coeficiente sea distinto a
. Notemos que aquí no exigimos que los monomios tengan los mismos coeficiente, solo que ambos tengan coeficientes no nulos (distintos de cero).
Para que quede más clara esta definición, procedamos a ver unos ejemplos:
Determinar si los siguientes polinomios son equivalentes

Recordemos que para que sean semenjantes, si uno monomio es parte de uno de los polinomios, entonces otro monomio con mismos literales y coeficiente no cero debe estar en el otro polinomio.
Los polinomios

Dado que estos polinomios son iguales, cada monomio en uno se encuentra en el otro, por lo tanto, también son semejantes. De hecho, todo par de polinomios iguales siempre serán semejantes.

Recordemos que para que sean semenjantes, si uno monomio es parte de uno de los polinomios, entonces otro monomio con mismos literales y coeficiente no cero debe estar en el otro polinomio.
Los polinomios

Estos polinomios son semejantes, ya que ambos se componen de monomios de orden
,
y
con literal
y coeficientes distintos de cero.

Recordemos que para que sean semenjantes, si uno monomio es parte de uno de los polinomios, entonces otro monomio con mismos literales y coeficiente no cero debe estar en el otro polinomio.

No son semejantes, ya que el monomio de orden
en
es
, mientras que en
el monomio de orden
no aparece, es decir, es igual a
, por lo tanto no cumplen con la definición de polinomios semejantes.

Recordemos que para que sean semenjantes, si uno monomio es parte de uno de los polinomios, entonces otro monomio con mismos literales y coeficiente no cero debe estar en el otro polinomio.
Los polinomios

En este ejemplo tenenemos monomios donde los literales tienen más de una variable. Podemos ver casi de manera directa que no son semejantes, ya que en
tenemos un monomio de grado
con literal
, este es
, sin embargo en
no hay ningún monomio de grado
con literal
, por lo tanto no cumple con la definición de semejanza de polinomios.

Recordemos que para que sean semenjantes, si uno monomio es parte de uno de los polinomios, entonces otro monomio con mismos literales y coeficiente no cero debe estar en el otro polinomio.
Los polinomios

En este ejemplo tenenemos monomios donde los literales tienen más de una variable. Podemos ver casi de manera directa que no son semejantes, ya que en
tenemos un monomio de grado
con literal
, este es
, sin embargo en
no hay ningún monomio de grado
con literal
, por lo tanto no cumple con la definición de semejanza de polinomios.
Resumir con IA:









Apuntes es una plataforma dirigida al estudio y la práctica de las matemáticas a través de la teoría y ejercicios interactivos que ponemos a vuestra disposición. Esta información está disponible para todo aquel/aquella que quiera profundizar en el aprendizaje de esta ciencia. Será un placer ayudaros en caso de que tengáis dudas frente algún problema, sin embargo, no realizamos un ejercicio que nos presentéis de 0 sin que hayáis si quiera intentado resolverlo. Ánimo, todo esfuerzo tiene su recompensa.
Quiero mas ejemplos de monomios pero feciles
En el cálculo con polinomios creo que la 4 estaba mal
Hola revise el ejercicio y no encontré el error, pero al principio me confundí pues la solución esta arriba del número, no se si te paso a ti, si no fue así, podrías señalármelo por favor.
HAY MUCHOS ERRORES
Miren sus soluciones a los problemas, los errores en la resolucion de sus propios problemas son DEMACIADOS.
Un ejemplo en calculos con polinomios
(x²+2)² (a+b)²=a²+2ab+b²
(x²)²+2(x²)(2)+2²
resultado real= x⁴+4x²+4
el suyo es= x⁴+2x²+4
Los invito a realizar su chequeo ya que confunde y desmotiva el uso de la pagina a la gran mayoria que estamos aprendiendo.
Hola te agradecemos tus comentarios, el error que mencionas ya se corrigió, si encuentras algún otro con gusto te atenderemos.
Este tipo de ejercicios no solo fortalecen el razonamiento algebraico, sino que también entrenan tu capacidad para explicar procesos paso a paso, algo que tú haces muy bien en tus presentaciones. Además, el uso de Ruffini y el teorema del resto te permite abordar polinomios complejos con elegancia y lógica, algo muy útil en programación y algoritmos también.
Utilizar el teorema del resto, la regla de ruffini y la formula general para ecuaciones de segundo grado