Los polinomios son expresiones algebraicas fundamentales en el estudio de las matemáticas, especialmente en el álgebra. Dominar las operaciones con polinomios —como la suma, resta, multiplicación y división— es esencial para resolver problemas más complejos y avanzar en temas como factorización, ecuaciones y funciones.
En esta sección encontrarás una serie de ejercicios resueltos paso a paso que te permitirán reforzar tus habilidades en el manejo de polinomios. Cada ejercicio está diseñado para mostrar claramente el procedimiento y la lógica detrás de cada operación, ayudándote a comprender no solo el “cómo”, sino también el “por qué” de cada paso.
Operaciones con monomios
Efectúa las siguientes operaciones con monomios:

1 Los monomios que forman la expresión son equivalentes, esto es, tienen las mismas literales con sus respectivos exponentes, por lo que el resultado se obtiene sumando sus coeficientes y se conserva las literales con sus respectivos exponentes


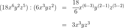
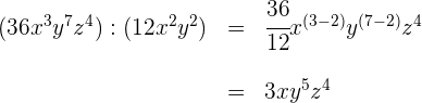
1 Para dividir dos monomios se dividen sus coeficientes y aplicamos las leyes de los exponentes a las literales: para dividir dos elementos que poseen la misma base, se conserva la base y se restan sus exponentes


1 Para multiplicar monomios se multiplican sus coeficientes y aplicamos las leyes de los exponentes a las literales: para multiplicar elementos que poseen la misma base, se conserva la base y se suman sus exponentes


1 Para dividir dos monomios se dividen sus coeficientes y aplicamos las leyes de los exponentes a las literales: para dividir dos elementos que poseen la misma base, se conserva la base y se restan sus exponentes


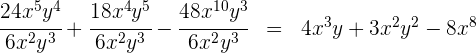
1 Dividimos cada término del numerador entre el denominador común

2 Aplicamos las leyes de los exponentes a las literales: para dividir dos elementos que poseen la misma base, se conserva la base y se restan sus exponentes

Suma y resta de polinomios
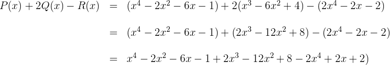
Dados los polinomios:



Calcular:

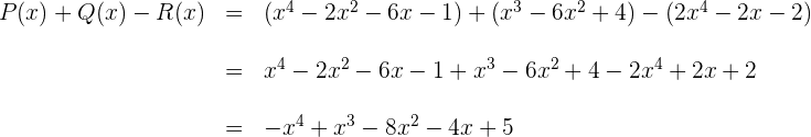
1 Sustituimos los polinomios

2 Quitamos los paréntesis

3 Sumando términos semejantes se obtiene


1 Sustituimos los polinomios

2 Realizamos el producto 

3 Quitamos los paréntesis

4 Sumando términos semejantes se obtiene


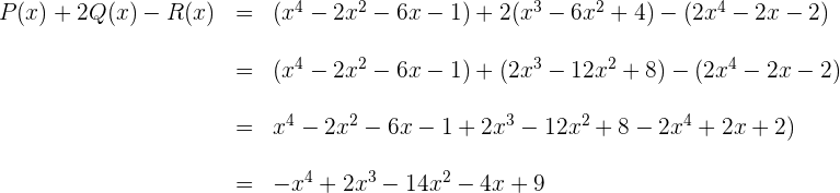
1 Sustituimos los polinomios

2 Quitamos los paréntesis

3 Sumando términos semejantes se obtiene

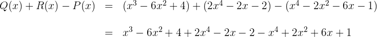
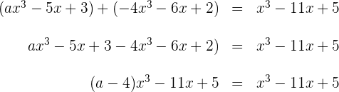
Calcula el valor de
, para que sea cierta la igualdad:

1 Quitamos los paréntesis del lado izquierdo y agrupamos sus términos semejantes

2 Quitamos los paréntesis

3 Igualando los coeficientes de
se obtiene
, luego 
Calcula el valor de
, para que sea cierta la igualdad:

1 Quitamos los paréntesis del lado izquierdo y agrupamos sus términos semejantes

2 Quitamos los paréntesis

3 Igualando los coeficientes de
se obtiene
, luego 
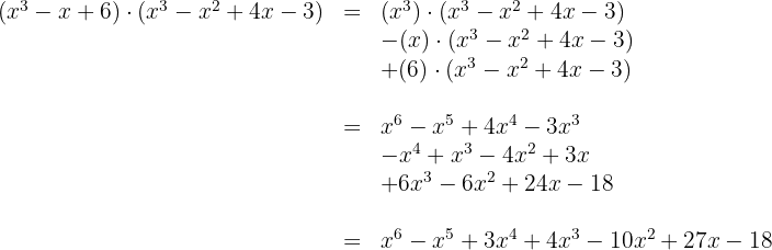
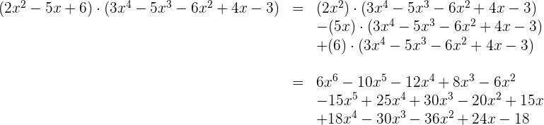
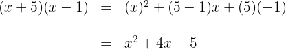
Multiplicación de polinomios
Calcular las siguiente multiplicaciones:

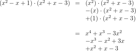
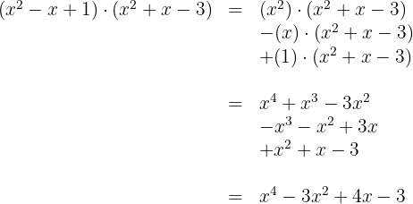
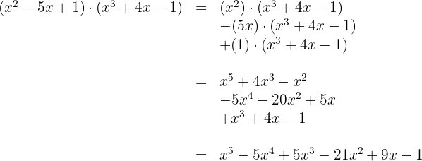
1 Multiplicamos cada término del primer polinomio por el segundo polinomio

2 Sumamos los términos semejantes


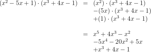
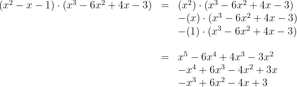
1 Multiplicamos cada término del primer polinomio por el segundo polinomio

2 Sumamos los términos semejantes


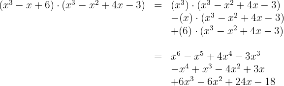
1 Multiplicamos cada término del primer polinomio por el segundo polinomio

2 Sumamos los términos semejantes


1 Multiplicamos cada término del primer polinomio por el segundo polinomio

2 Sumamos los términos semejantes


1 Multiplicamos cada término del primer polinomio por el segundo polinomio

2 Sumamos los términos semejantes

Evaluación en polinomio
Hallar el valor numérico del polinomio
, para:

1 Evaluamos para 


1 Evaluamos para 


1 Evaluamos para 


1 Evaluamos para 


1 Evaluamos para 

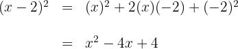
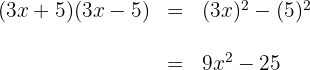
Producto de binomios
Calcula:

1 Aplicamos la fórmula de un binomio al cuadrado

2 Realizamos las operaciones


1 Aplicamos la fórmula de un binomio al cuadrado

2 Realizamos las operaciones


1 Aplicamos la fórmula de un binomio conjugado

2 Realizamos las operaciones


1 Aplicamos la fórmula de un binomio conjugado

2 Realizamos las operaciones


1 Aplicamos la fórmula de producto de binomios con término común

2 Realizamos las operaciones

Resumir con IA:









Apuntes es una plataforma dirigida al estudio y la práctica de las matemáticas a través de la teoría y ejercicios interactivos que ponemos a vuestra disposición. Esta información está disponible para todo aquel/aquella que quiera profundizar en el aprendizaje de esta ciencia. Será un placer ayudaros en caso de que tengáis dudas frente algún problema, sin embargo, no realizamos un ejercicio que nos presentéis de 0 sin que hayáis si quiera intentado resolverlo. Ánimo, todo esfuerzo tiene su recompensa.
me gustaría tener más información sobre esta URL es muy profunda su información y me apoya en álgebra
Hola, que bueno que te ayude la pagina, en cuanto a que tengas mas información, pueden poner en el buscador el tema que necesitas estudiar junto con la palabra superprof y tendras bastante información.
Quiero mas ejemplos de monomios pero feciles
En el cálculo con polinomios creo que la 4 estaba mal
Hola revise el ejercicio y no encontré el error, pero al principio me confundí pues la solución esta arriba del número, no se si te paso a ti, si no fue así, podrías señalármelo por favor.
HAY MUCHOS ERRORES
Miren sus soluciones a los problemas, los errores en la resolucion de sus propios problemas son DEMACIADOS.
Un ejemplo en calculos con polinomios
(x²+2)² (a+b)²=a²+2ab+b²
(x²)²+2(x²)(2)+2²
resultado real= x⁴+4x²+4
el suyo es= x⁴+2x²+4
Los invito a realizar su chequeo ya que confunde y desmotiva el uso de la pagina a la gran mayoria que estamos aprendiendo.
Hola te agradecemos tus comentarios, el error que mencionas ya se corrigió, si encuentras algún otro con gusto te atenderemos.
Este tipo de ejercicios no solo fortalecen el razonamiento algebraico, sino que también entrenan tu capacidad para explicar procesos paso a paso, algo que tú haces muy bien en tus presentaciones. Además, el uso de Ruffini y el teorema del resto te permite abordar polinomios complejos con elegancia y lógica, algo muy útil en programación y algoritmos también.
Utilizar el teorema del resto, la regla de ruffini y la formula general para ecuaciones de segundo grado