Divisiones por medio de la regla de Ruffini
Usa la regla de Ruffini para obtener el cociente y el resto de las siguientes divisiones:
dividido por 
Selecciona una respuesta.
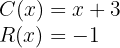
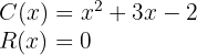
El procedimiento de la regla de Ruffini queda como sigue —observa que los coeficientes del dividendo se escriben en la primera fila—:

De esta manera,tenemos que el cociente y el residuo de la división son,
Cociente: 
Residuo: 
dividido por 
Selecciona una respuesta.
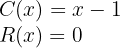
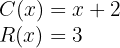
El procedimiento de la regla de Ruffini queda como sigue —observa que los coeficientes del dividendo se escriben en la primera fila—:

De esta manera,tenemos que el cociente y el residuo de la división son,
Cociente: 
Residuo: 
dividido por 
Selecciona una respuesta.
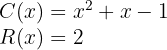
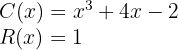
El procedimiento de la regla de Ruffini queda como sigue —observa que los coeficientes del dividendo se escriben en la primera fila—:

De esta manera,tenemos que el cociente y el residuo de la división son,
Cociente: 
Residuo: 
dividido por 
Selecciona una respuesta.
El procedimiento del método de Ruffini es:

De manera que el cociente y el residuo son:
Cociente: 
Residuo: 
dividido por 
Selecciona una respuesta.
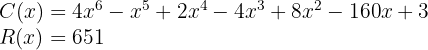
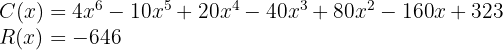
El procedimiento en este caso es el siguiente. Observemos que llenamos de ceros para considerar todas las potencias (hasta el grado 7) del dividendo:

De este modo, el cociente y el residuo está dado por:
Cociente: 
Residuo: 
Utilizando la regla de Ruffini resuelve los siguientes problemas:
Determina el valor de la constante
para que el polinomio
sea divisible por 

Este campo es obligatorio.
Primero, dividimos
entre
:

El residuo debe ser cero, es decir,

Así, tenemos que,

Determina el valor de la constante
para que el polinomio
sea divisible por 
/
Este campo es obligatorio.
Primero, dividimos
entre
:

El residuo debe ser cero, es decir,

Así, tenemos que,

Determina el valor de la constante
para que el polinomio
sea divisible por 

Este campo es obligatorio.
Primero, dividimos
entre
:

El residuo debe ser cero, es decir,

Así, tenemos que,

Determina el valor de la constante
para que el polinomio
sea divisible por 

Este campo es obligatorio.
Primero, dividimos
entre
:

El residuo debe ser cero, es decir,

Así, tenemos que,

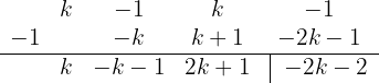
Determina el valor de la constante
para que el resto de la división de
por
sea igual a 11

Este campo es obligatorio.
En primer lugar, dividimos
entre
:

El residuo debe ser 11, es decir

Por lo que

Resumir con IA:









Apuntes es una plataforma dirigida al estudio y la práctica de las matemáticas a través de la teoría y ejercicios interactivos que ponemos a vuestra disposición. Esta información está disponible para todo aquel/aquella que quiera profundizar en el aprendizaje de esta ciencia. Será un placer ayudaros en caso de que tengáis dudas frente algún problema, sin embargo, no realizamos un ejercicio que nos presentéis de 0 sin que hayáis si quiera intentado resolverlo. Ánimo, todo esfuerzo tiene su recompensa.
Quiero mas ejemplos de monomios pero feciles
En el cálculo con polinomios creo que la 4 estaba mal
Hola revise el ejercicio y no encontré el error, pero al principio me confundí pues la solución esta arriba del número, no se si te paso a ti, si no fue así, podrías señalármelo por favor.
HAY MUCHOS ERRORES
Miren sus soluciones a los problemas, los errores en la resolucion de sus propios problemas son DEMACIADOS.
Un ejemplo en calculos con polinomios
(x²+2)² (a+b)²=a²+2ab+b²
(x²)²+2(x²)(2)+2²
resultado real= x⁴+4x²+4
el suyo es= x⁴+2x²+4
Los invito a realizar su chequeo ya que confunde y desmotiva el uso de la pagina a la gran mayoria que estamos aprendiendo.
Hola te agradecemos tus comentarios, el error que mencionas ya se corrigió, si encuentras algún otro con gusto te atenderemos.
Este tipo de ejercicios no solo fortalecen el razonamiento algebraico, sino que también entrenan tu capacidad para explicar procesos paso a paso, algo que tú haces muy bien en tus presentaciones. Además, el uso de Ruffini y el teorema del resto te permite abordar polinomios complejos con elegancia y lógica, algo muy útil en programación y algoritmos también.
Utilizar el teorema del resto, la regla de ruffini y la formula general para ecuaciones de segundo grado