Elige la opción correcta, recordando que siempre debemos dar el resultado lo más simplificado posible:
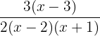
Resolver 
Selecciona una respuesta.
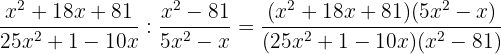
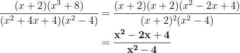
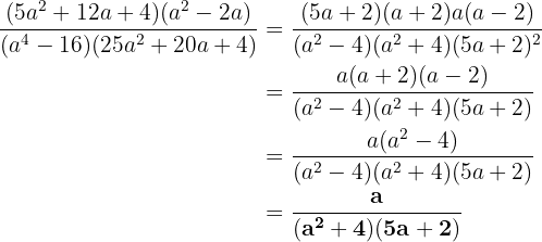
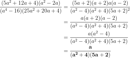
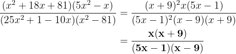
Multiplicamos el primer numerador por el segundo denominador y el primer denominador por el segundo numerador

Reescribimos y simplificamos


Selecciona una respuesta.
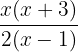
Multiplicamos el primer numerador por el segundo denominador y el primer denominador por el segundo numerador

Reescribimos y simplificamos:

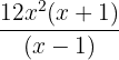
Resolver 
Selecciona una respuesta.
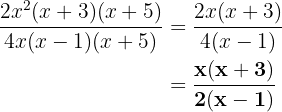
Multiplicamos el primer numerador por el segundo denominador y el primer denominador por el segundo numerador

Reescribimos y simplificamos:


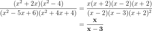
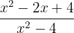
Selecciona una respuesta.
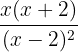
Multiplicamos el primer numerador por el segundo denominador y el primer denominador por el segundo numerador

Reescribimos y simplificamos recordando la siguiente propiedad

entonces

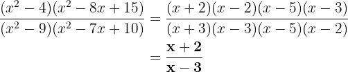
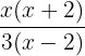
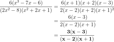
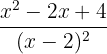
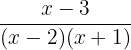
Resolver 
Selecciona una respuesta.
Multiplicamos el primer numerador por el segundo denominador y el primer denominador por el segundo numerador

Reescribimos y simplificamos


Selecciona una respuesta.
Multiplicamos el primer numerador por el segundo denominador y el primer denominador por el segundo numerador

Reescribimos y simplificamos

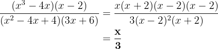
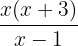
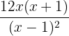
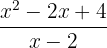
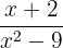
Resolver 
Selecciona una respuesta.
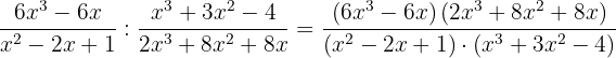
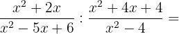
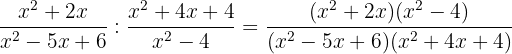
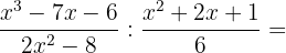
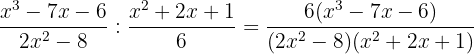
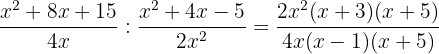
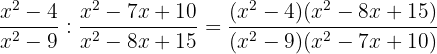
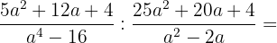
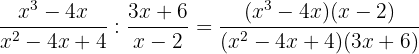
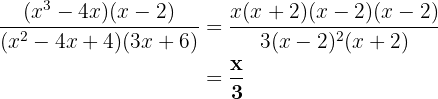
Realizamos la división de fracciones

Reescribimos y simplificamos

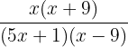
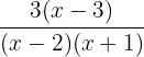
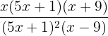
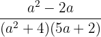
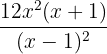
Resolver 
Selecciona una respuesta.
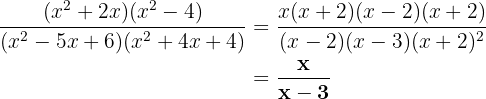
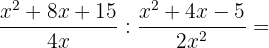
Realizamos la división de fracciones

Reescribimos y simplificamos

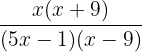
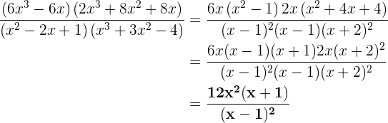
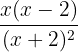
Resolver 
Selecciona una respuesta.
Realizamos la división de fracciones

Reescribimos y simplificamos

Si tienes dudas puedes consultar la teoría
Resumir con IA:

Apuntes es una plataforma dirigida al estudio y la práctica de las matemáticas a través de la teoría y ejercicios interactivos que ponemos a vuestra disposición. Esta información está disponible para todo aquel/aquella que quiera profundizar en el aprendizaje de esta ciencia. Será un placer ayudaros en caso de que tengáis dudas frente algún problema, sin embargo, no realizamos un ejercicio que nos presentéis de 0 sin que hayáis si quiera intentado resolverlo. Ánimo, todo esfuerzo tiene su recompensa.
Quiero mas ejemplos de monomios pero feciles
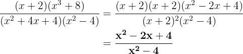
En el cálculo con polinomios creo que la 4 estaba mal
Hola revise el ejercicio y no encontré el error, pero al principio me confundí pues la solución esta arriba del número, no se si te paso a ti, si no fue así, podrías señalármelo por favor.
HAY MUCHOS ERRORES
Miren sus soluciones a los problemas, los errores en la resolucion de sus propios problemas son DEMACIADOS.
Un ejemplo en calculos con polinomios
(x²+2)² (a+b)²=a²+2ab+b²
(x²)²+2(x²)(2)+2²
resultado real= x⁴+4x²+4
el suyo es= x⁴+2x²+4
Los invito a realizar su chequeo ya que confunde y desmotiva el uso de la pagina a la gran mayoria que estamos aprendiendo.
Hola te agradecemos tus comentarios, el error que mencionas ya se corrigió, si encuentras algún otro con gusto te atenderemos.
Este tipo de ejercicios no solo fortalecen el razonamiento algebraico, sino que también entrenan tu capacidad para explicar procesos paso a paso, algo que tú haces muy bien en tus presentaciones. Además, el uso de Ruffini y el teorema del resto te permite abordar polinomios complejos con elegancia y lógica, algo muy útil en programación y algoritmos también.
Utilizar el teorema del resto, la regla de ruffini y la formula general para ecuaciones de segundo grado