Realizar las siguientes igualdades notables:
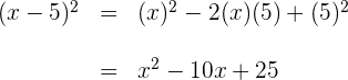
Binomio al cuadrado
1 
1 Se trata de un binomio al cuadrado

2 Identificamos los elementos

3 Sustituimos en la fórmula del binomio al cuadrado

4 Resolvemos cada uno de los términos

Trinomio al cuadrado
2 
1 Se trata de un trinomio al cuadrado, para realizarlo agrupamos en dos

2 Aplicamos la fórmula de binomio al cuadrado

3 Identificamos los elementos

4 Sustituimos en la fórmula del binomio al cuadrado

5 Resolvemos el primer término, el cual es un binomio al cuadrado

6 Sustituimos el resultado anterior y simplificamos

Polinomio al cuadrado
3 
1 Se trata de un trinomio al cuadrado, para realizarlo agrupamos en dos

2 Aplicamos la fórmula de binomio al cuadrado

3 Identificamos los elementos

4 Sustituimos en la fórmula del binomio al cuadrado

5 Resolvemos el primer y tercer término, los cuales son binomios al cuadrado


6 Resolvemos el segundo término

7 Sustituimos los resultados anteriores y simplificamos

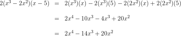
Suma por diferencias
4 
1 Se trata de una suma de diferencias que es igual a una diferencia de cuadrados

2 Identificamos los elementos

3 Sustituimos en la fórmula de suma por diferencias

4 Resolvemos cada uno de los términos

5 
1 Se trata de una suma por diferencias, para realizarlo agrupamos en dos

2 Aplicamos la fórmula de suma por diferencias

3 Identificamos los elementos

4 Sustituimos en la fórmula de suma por diferencias

5 Resolvemos el segundo término, el cual es un binomio al cuadrado

6 Sustituimos el resultado anterior y simplificamos

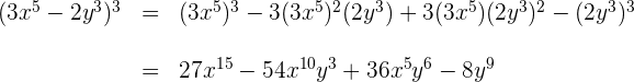
Binomio al cubo
6 
1 Se trata de un binomio al cubo

2 Identificamos los elementos

3 Sustituimos en la fórmula del binomio al cubo

4 Resolvemos cada uno de los términos

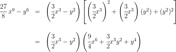
Suma y diferencia de cubos
7 
1 Se trata de una suma de cubos

2 Identificamos los elementos
,
luego 
3 Sustituimos en la fórmula de suma de cubos

4 Desarrollamos los términos que lo requieran

8 
1 Se trata de una diferencia de cubos

2 Identificamos los elementos
,
luego 
3 Sustituimos en la fórmula de diferencia de cubos

4 Desarrollamos los términos que lo requieran

Producto de dos binomios que tienen un término en común
9 
1 Se trata de un producto de dos binomios con un término en común

2 Identificamos los elementos
,
3 Sustituimos en la fórmula de producto de dos binomios con un término en común

4 Desarrollamos los términos que lo requieran

10 
1 Se trata de un producto de dos binomios con un término en común

2 Identificamos los elementos
,
3 Sustituimos en la fórmula de producto de dos binomios con un término en común

4 Desarrollamos los términos que lo requieran

Resumir con IA:









Apuntes es una plataforma dirigida al estudio y la práctica de las matemáticas a través de la teoría y ejercicios interactivos que ponemos a vuestra disposición. Esta información está disponible para todo aquel/aquella que quiera profundizar en el aprendizaje de esta ciencia. Será un placer ayudaros en caso de que tengáis dudas frente algún problema, sin embargo, no realizamos un ejercicio que nos presentéis de 0 sin que hayáis si quiera intentado resolverlo. Ánimo, todo esfuerzo tiene su recompensa.
me gustaría tener más información sobre esta URL es muy profunda su información y me apoya en álgebra
Hola, que bueno que te ayude la pagina, en cuanto a que tengas mas información, pueden poner en el buscador el tema que necesitas estudiar junto con la palabra superprof y tendras bastante información.
Quiero mas ejemplos de monomios pero feciles
En el cálculo con polinomios creo que la 4 estaba mal
Hola revise el ejercicio y no encontré el error, pero al principio me confundí pues la solución esta arriba del número, no se si te paso a ti, si no fue así, podrías señalármelo por favor.
HAY MUCHOS ERRORES
Miren sus soluciones a los problemas, los errores en la resolucion de sus propios problemas son DEMACIADOS.
Un ejemplo en calculos con polinomios
(x²+2)² (a+b)²=a²+2ab+b²
(x²)²+2(x²)(2)+2²
resultado real= x⁴+4x²+4
el suyo es= x⁴+2x²+4
Los invito a realizar su chequeo ya que confunde y desmotiva el uso de la pagina a la gran mayoria que estamos aprendiendo.
Hola te agradecemos tus comentarios, el error que mencionas ya se corrigió, si encuentras algún otro con gusto te atenderemos.
Este tipo de ejercicios no solo fortalecen el razonamiento algebraico, sino que también entrenan tu capacidad para explicar procesos paso a paso, algo que tú haces muy bien en tus presentaciones. Además, el uso de Ruffini y el teorema del resto te permite abordar polinomios complejos con elegancia y lógica, algo muy útil en programación y algoritmos también.
Utilizar el teorema del resto, la regla de ruffini y la formula general para ecuaciones de segundo grado