Elige la opción correcta:
Las raíces del polinomio
son...
Selecciona una respuesta.
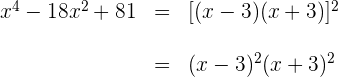
1 Para encontrar las raíces de polinomio tenemos que resolver 
2 Factorizamos el polinomio 
3 Para obtener las raíces igualamos cada factor a cero y despejamos 
Así, las raíces son
y 
Las raíces del polinomio
son...
Selecciona una respuesta.
1 Para encontrar las raíces de polinomio tenemos que resolver 
2 Simplificamos el polinomio 
3 Factorizamos el polinomio 
4 Para obtener las raíces igualamos cada factor a cero y despejamos 
Así, las raíces son
y
El polinomio
se factoriza como...
Selecciona una respuesta.
1 Para encontrar las raíces de polinomio tenemos que resolver 
2 Factorizamos el polinomio 
3 Para obtener las raíces igualamos cada factor a cero y despejamos 
Así, las raíces son
y 
Las raíces del polinomio
son...
Selecciona una respuesta.
1 Para encontrar las raíces de polinomio tenemos que resolver 
2 Factorizamos el polinomio
El segundo factor no puede factorizarse en los reales y no posee raíces, pero el primer factor si se puede factorizar 
3 Para obtener las raíces igualamos cada factor a cero y despejamos. Recuerda que el factor
no posee raíces reales
Así, las raíces son
y 
Las raíces de
son...
Selecciona una respuesta.
1 Para encontrar las raíces de polinomio tenemos que resolver 
2 Factorizamos el polinomio
El interior del paréntesis puede ser factorizado
Así la factorización queda 
3 Para obtener las raíces igualamos cada factor a cero y despejamos. Recuerda que al tener los factores lineales potencia dos, las raíces serán dobles 
Así, las raíces son
y
y ambas son raíces dobles.
tiene como raiz...
Selecciona una respuesta.
1 Para encontrar las raíces de polinomio tenemos que resolver 
2 Factorizamos el polinomio 
3 Para obtener las raíces igualamos el factor a cero
Así, la raiz es
es una raiz doble.
Las raíces del polinomio
son...
Selecciona una respuesta.
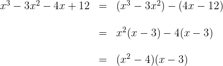
1 Para encontrar las raíces de polinomio tenemos que resolver 
2 Factorizamos el polinomio 
3 Para obtener las raíces igualamos los factores a cero 
Así, las raices son
y 
Las raíces del polinomio
son...
Selecciona una respuesta.
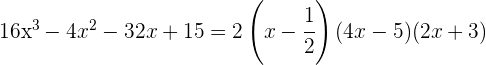
1 Para encontrar las raíces de polinomio tenemos que resolver

2 Factorizamos el polinomio

El interior de cada paréntesis puede ser factorizado


Así la factorización queda

3 Para obtener las raíces igualamos cada factor a cero y despejamos




Así, las raíces son
,
,
y 
Las raíces del polinomio
son...
Selecciona una respuesta.
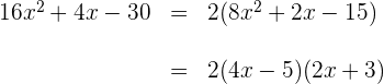
1 Para encontrar las raíces de polinomio tenemos que resolver 
2 Factorizamos el polinomio 
El interior del primer paréntesis puede ser factorizado 
Así la factorización queda 
3 Para obtener las raíces igualamos cada factor a cero y despejamos 
Así, las raíces son
y 
Las raíces del polinomio
son...
Selecciona una respuesta.
1 Los divisores de
son
,
,
, 
Evaluando el polinomio en estos números comprobamos que ninguno de ellos es raíz del mismo, por lo que el polinomio no tiene raíces enteras.
Entonces las posibles raíces racionales serán los divisores del término independiente (Divisores de
:
,
,
,
) entre los del término de mayor grado (Divisores de
:
,
,
,
, 
Así algunas de las posibles raíces racionales serían:
,
,
,
,
,
,...
2 Evaluando el polinomio en dichos números podemos obtener sus raíces racionales y factorizarlo.
Observa los siguientes pasos:
por lo que
es raiz 3Aplicamos el teorema de Fubinni 
Así, el polinomio se factoriza como 
Factorizamos el segundo factor
luego el polinomio factorizado queda 
4 Para obtener las raíces igualamos cada factor a cero y despejamos


Así, las raíces son

Si tienes dudas puedes consultar la teoría
Resumir con IA:

Apuntes es una plataforma dirigida al estudio y la práctica de las matemáticas a través de la teoría y ejercicios interactivos que ponemos a vuestra disposición. Esta información está disponible para todo aquel/aquella que quiera profundizar en el aprendizaje de esta ciencia. Será un placer ayudaros en caso de que tengáis dudas frente algún problema, sin embargo, no realizamos un ejercicio que nos presentéis de 0 sin que hayáis si quiera intentado resolverlo. Ánimo, todo esfuerzo tiene su recompensa.
me gustaría tener más información sobre esta URL es muy profunda su información y me apoya en álgebra
Hola, que bueno que te ayude la pagina, en cuanto a que tengas mas información, pueden poner en el buscador el tema que necesitas estudiar junto con la palabra superprof y tendras bastante información.
Quiero mas ejemplos de monomios pero feciles
En el cálculo con polinomios creo que la 4 estaba mal
Hola revise el ejercicio y no encontré el error, pero al principio me confundí pues la solución esta arriba del número, no se si te paso a ti, si no fue así, podrías señalármelo por favor.
HAY MUCHOS ERRORES
Miren sus soluciones a los problemas, los errores en la resolucion de sus propios problemas son DEMACIADOS.
Un ejemplo en calculos con polinomios
(x²+2)² (a+b)²=a²+2ab+b²
(x²)²+2(x²)(2)+2²
resultado real= x⁴+4x²+4
el suyo es= x⁴+2x²+4
Los invito a realizar su chequeo ya que confunde y desmotiva el uso de la pagina a la gran mayoria que estamos aprendiendo.
Hola te agradecemos tus comentarios, el error que mencionas ya se corrigió, si encuentras algún otro con gusto te atenderemos.
Este tipo de ejercicios no solo fortalecen el razonamiento algebraico, sino que también entrenan tu capacidad para explicar procesos paso a paso, algo que tú haces muy bien en tus presentaciones. Además, el uso de Ruffini y el teorema del resto te permite abordar polinomios complejos con elegancia y lógica, algo muy útil en programación y algoritmos también.
Utilizar el teorema del resto, la regla de ruffini y la formula general para ecuaciones de segundo grado