Efectúa las siguientes operaciones con monomios:
a
b 
c 
d 
e 
aSuma de términos semejantes, es decir, misma base y así solo sumamos o restamos los coeficientes 
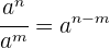
b División de monomios, recuerda que la ley de los exponentes es
, 
c Multiplicación de monomios, la ley de los exponentes nos dice

d División de monomios, aplicamos la ley de los exponentes
, 
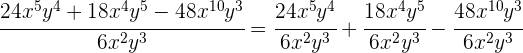
e En la siguiente división de polinomio entre monomio, separamos la suma y luego aplicamos la ley de los exponentes
,


Dados los polinomios:



Calcular:
a 
b 
c 
Las operaciones aritméticas usuales, se siguen valiendo para las funciones, es decir, las sumas, restas y multiplicaciones por un escalar.
Comenzamos por sustituir el valor de cada función y efectuar las operaciones correspondientes.
a




b




c




Calcula el valor de a, para que sea cierta la igualdad:

Para encontrar el valor de a, tenemos que realizar las operaciones correspondientes y finalmente despejar a.

Quitamos los paréntesis

Agrupamos por términos semejantes

Realizamos las respectivas operaciones

Podemos observar que casi tenemos la igualdad a excepción del primer término, entonces tenemos la siguiente igualdad, de dónde despejaremos el valor de a.

Multiplicar:

Recordemos que la multiplicación de polinomios es término a término.




Agrupamos por términos semejantes para finalmenre llegar a la respuesta.



Divide:
a 
b 
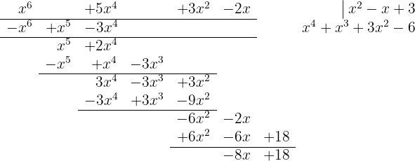
Divide:
a 
Para esta división utilizaremos el método de ruffini, suponiendo que
es una raíz exacta el resultado será el polinomio buscado de la división 
Entonces el polinomio resultante es

Y el residuo es 0

b 
Para este ejercicio ocuparemos la división sintética

Entonces el polinomio resultante es

Y el residuo es

Calcula:
a 
b 
Realizamos las respectivas multiplicaciones, para el primero tenemos un binomio al cuadrado y para el segundo tenemos binomios conjugados.




Resumir con IA:

Apuntes es una plataforma dirigida al estudio y la práctica de las matemáticas a través de la teoría y ejercicios interactivos que ponemos a vuestra disposición. Esta información está disponible para todo aquel/aquella que quiera profundizar en el aprendizaje de esta ciencia. Será un placer ayudaros en caso de que tengáis dudas frente algún problema, sin embargo, no realizamos un ejercicio que nos presentéis de 0 sin que hayáis si quiera intentado resolverlo. Ánimo, todo esfuerzo tiene su recompensa.
Quiero mas ejemplos de monomios pero feciles
En el cálculo con polinomios creo que la 4 estaba mal
Hola revise el ejercicio y no encontré el error, pero al principio me confundí pues la solución esta arriba del número, no se si te paso a ti, si no fue así, podrías señalármelo por favor.
HAY MUCHOS ERRORES
Miren sus soluciones a los problemas, los errores en la resolucion de sus propios problemas son DEMACIADOS.
Un ejemplo en calculos con polinomios
(x²+2)² (a+b)²=a²+2ab+b²
(x²)²+2(x²)(2)+2²
resultado real= x⁴+4x²+4
el suyo es= x⁴+2x²+4
Los invito a realizar su chequeo ya que confunde y desmotiva el uso de la pagina a la gran mayoria que estamos aprendiendo.
Hola te agradecemos tus comentarios, el error que mencionas ya se corrigió, si encuentras algún otro con gusto te atenderemos.
Este tipo de ejercicios no solo fortalecen el razonamiento algebraico, sino que también entrenan tu capacidad para explicar procesos paso a paso, algo que tú haces muy bien en tus presentaciones. Además, el uso de Ruffini y el teorema del resto te permite abordar polinomios complejos con elegancia y lógica, algo muy útil en programación y algoritmos también.
Utilizar el teorema del resto, la regla de ruffini y la formula general para ecuaciones de segundo grado