Elige la opción correcta para los siguientes ejercicios:
Encontrar el mínimo común múltiplo (m.c.m.) de 
Selecciona una respuesta.
Descomponemos en factores para hallar el mínimo común múltiplo,

Entonces


Selecciona una respuesta.
Comenzamos descomponiendo en factores para hallar el mínimo común múltiplo,


Entonces

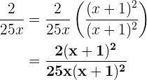
Buscamos 
Selecciona una respuesta.
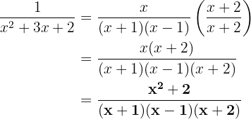
Descomponemos para encontrer el m.c.m



Entonces, obtenemos que

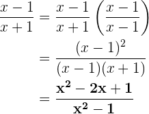
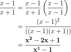
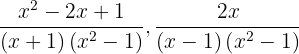
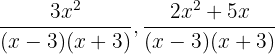
Al reducir las fracciones
a común denominador queda:
Selecciona una respuesta.
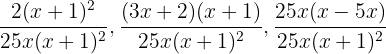
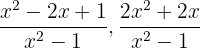
Descomponemos los denominadores en factores para hallar el mínimo común múltiplo, que será el común denominador:


entonces el m.c.m es

Ahora, dividimos el común denominador entre los denominadores de las fracciones dadas y el resultado lo multiplicamos por el numerador correspondiente. Y obtenemos

y

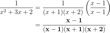
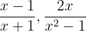
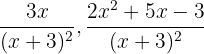
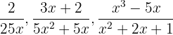
Al reducir las fracciones
a común denominador queda:
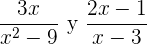
Selecciona una respuesta.
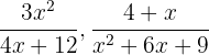
Descomponemos los denominadores en factores para hallar el mínimo común múltiplo, que será el común denominador:


entonces el m.c.m es

Ahora, dividimos el común denominador entre los denominadores de las fracciones dadas y el resultado lo multiplicamos por el numerador correspondiente.


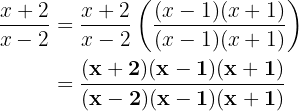
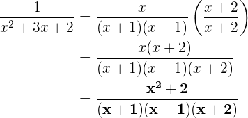
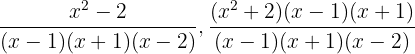
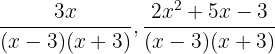
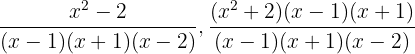
Al reducir las fracciones
a común denominador queda:
Selecciona una respuesta.
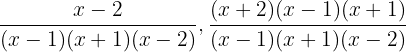
Descomponemos los denominadores en factores para hallar el mínimo común múltiplo, que será el común denominador:



entonces el m.c.m es

Ahora, dividimos el común denominador entre los denominadores de las fracciones dadas y el resultado lo multiplicamos por el numerador correspondiente.



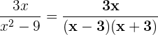
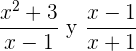
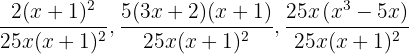
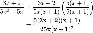
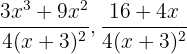
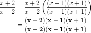
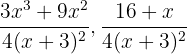
Calcular 
Selecciona una respuesta.
Descomponemos en factores para hallar el mínimo común múltiplo


entonces el m.c.m es

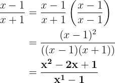
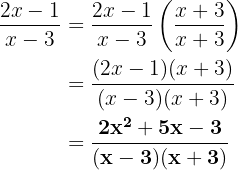
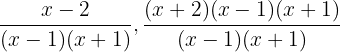
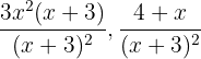
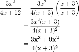
Dadas las fracciones algebraicas
, encontrar dos fracciones algebraicas equivalentes con común denominador.
Selecciona una respuesta.
Calculamos el mínimo común múltiplo (m.c.m.) de los denominadores.


Entonces

Ahora, dividimos el común denominador entre los denominadores de las fracciones dadas y el resultado lo multiplicamos por el numerador correspondiente.


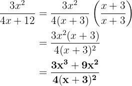
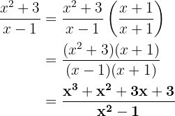
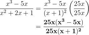
Dadas las fracciones algebraicas
, encontrar dos fracciones algebraicas equivalentes con común denominador.
Selecciona una respuesta.
Calculamos el mínimo común múltiplo (m.c.m.) de los denominadores.


Entonces

A continuacion, dividimos el m.c.m. por cada denominador y lo multiplicamos por el numerador respectivo. El resultado es el numerador de la fracción algebraica, el denominador es el mismo m.c.m.


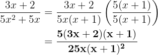
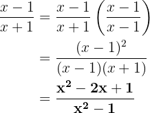
Dadas las fracciones algebraicas
, encontrar dos fracciones algebraicas equivalentes con común denominador.
Selecciona una respuesta.
Calculamos el mínimo común múltiplo (m.c.m.) de los denominadores.


Entonces

A continuacion, dividimos el m.c.m. por cada denominador y lo multiplicamos por el numerador respectivo. El resultado es el numerador de la fracción algebraica, el denominador es el mismo m.c.m.


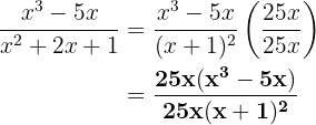
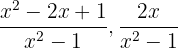
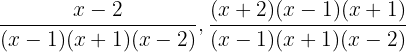
Dadas las fracciones algebraicas
, encontrar dos fracciones algebraicas equivalentes con común denominador.
Selecciona una respuesta.
Calculamos el mínimo común múltiplo (m.c.m.) de los denominadores.


Entonces

A continuacion, dividimos el m.c.m. por cada denominador y lo multiplicamos por el numerador respectivo. El resultado es el numerador de la fracción algebraica, el denominador es el mismo m.c.m.


Si tienes dudas puedes consultar la teoría
Resumir con IA:

Apuntes es una plataforma dirigida al estudio y la práctica de las matemáticas a través de la teoría y ejercicios interactivos que ponemos a vuestra disposición. Esta información está disponible para todo aquel/aquella que quiera profundizar en el aprendizaje de esta ciencia. Será un placer ayudaros en caso de que tengáis dudas frente algún problema, sin embargo, no realizamos un ejercicio que nos presentéis de 0 sin que hayáis si quiera intentado resolverlo. Ánimo, todo esfuerzo tiene su recompensa.
Quiero mas ejemplos de monomios pero feciles
En el cálculo con polinomios creo que la 4 estaba mal
Hola revise el ejercicio y no encontré el error, pero al principio me confundí pues la solución esta arriba del número, no se si te paso a ti, si no fue así, podrías señalármelo por favor.
HAY MUCHOS ERRORES
Miren sus soluciones a los problemas, los errores en la resolucion de sus propios problemas son DEMACIADOS.
Un ejemplo en calculos con polinomios
(x²+2)² (a+b)²=a²+2ab+b²
(x²)²+2(x²)(2)+2²
resultado real= x⁴+4x²+4
el suyo es= x⁴+2x²+4
Los invito a realizar su chequeo ya que confunde y desmotiva el uso de la pagina a la gran mayoria que estamos aprendiendo.
Hola te agradecemos tus comentarios, el error que mencionas ya se corrigió, si encuentras algún otro con gusto te atenderemos.
Este tipo de ejercicios no solo fortalecen el razonamiento algebraico, sino que también entrenan tu capacidad para explicar procesos paso a paso, algo que tú haces muy bien en tus presentaciones. Además, el uso de Ruffini y el teorema del resto te permite abordar polinomios complejos con elegancia y lógica, algo muy útil en programación y algoritmos también.
Utilizar el teorema del resto, la regla de ruffini y la formula general para ecuaciones de segundo grado