Dados los polinomios

realiza las operaciones que se indican a continuación:
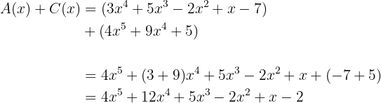
1 

La solución está dada por

También se puede resolver directamente, esto al sumar o restar (según sea el caso) los términos semejantes, de la siguiente forma:

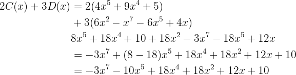
2 


También se puede resolver directamente, esto al sumar o restar (según sea el caso) los términos semejantes, de la siguiente forma:

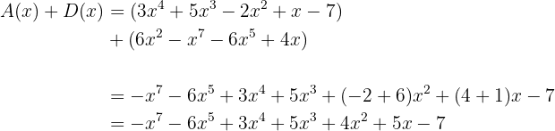
3 

La solución está dada por

También se puede resolver directamente, esto al sumar o restar (según sea el caso) los términos semejantes, de la siguiente forma:

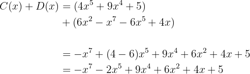
4 


Resolvemos directamente, esto al sumar o restar (según sea el caso) los términos semejantes, de la siguiente forma:

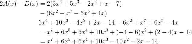
5 

Resolvemos directamente, esto al sumar o restar (según sea el caso) los términos semejantes, de la siguiente forma:

6 


Resolvemos directamente, esto al sumar o restar (según sea el caso) los términos semejantes, de la siguiente forma:

7 

Resolvemos directamente, esto al sumar o restar (según sea el caso) los términos semejantes, de la siguiente forma:

8 





Se puede resolver directamente, esto al sumar o restar (según sea el caso) los términos semejantes, de la siguiente forma:

9 







Se puede resolver directamente, esto al sumar o restar (según sea el caso) los términos semejantes, de la siguiente forma:

10 







Se puede resolver directamente, esto al sumar o restar (según sea el caso) los términos semejantes, de la siguiente forma:

Si tienes dudas puedes consultar la teoría
Resumir con IA:

Apuntes es una plataforma dirigida al estudio y la práctica de las matemáticas a través de la teoría y ejercicios interactivos que ponemos a vuestra disposición. Esta información está disponible para todo aquel/aquella que quiera profundizar en el aprendizaje de esta ciencia. Será un placer ayudaros en caso de que tengáis dudas frente algún problema, sin embargo, no realizamos un ejercicio que nos presentéis de 0 sin que hayáis si quiera intentado resolverlo. Ánimo, todo esfuerzo tiene su recompensa.
me gustaría tener más información sobre esta URL es muy profunda su información y me apoya en álgebra
Hola, que bueno que te ayude la pagina, en cuanto a que tengas mas información, pueden poner en el buscador el tema que necesitas estudiar junto con la palabra superprof y tendras bastante información.
Quiero mas ejemplos de monomios pero feciles
En el cálculo con polinomios creo que la 4 estaba mal
Hola revise el ejercicio y no encontré el error, pero al principio me confundí pues la solución esta arriba del número, no se si te paso a ti, si no fue así, podrías señalármelo por favor.
HAY MUCHOS ERRORES
Miren sus soluciones a los problemas, los errores en la resolucion de sus propios problemas son DEMACIADOS.
Un ejemplo en calculos con polinomios
(x²+2)² (a+b)²=a²+2ab+b²
(x²)²+2(x²)(2)+2²
resultado real= x⁴+4x²+4
el suyo es= x⁴+2x²+4
Los invito a realizar su chequeo ya que confunde y desmotiva el uso de la pagina a la gran mayoria que estamos aprendiendo.
Hola te agradecemos tus comentarios, el error que mencionas ya se corrigió, si encuentras algún otro con gusto te atenderemos.
Este tipo de ejercicios no solo fortalecen el razonamiento algebraico, sino que también entrenan tu capacidad para explicar procesos paso a paso, algo que tú haces muy bien en tus presentaciones. Además, el uso de Ruffini y el teorema del resto te permite abordar polinomios complejos con elegancia y lógica, algo muy útil en programación y algoritmos también.
Utilizar el teorema del resto, la regla de ruffini y la formula general para ecuaciones de segundo grado