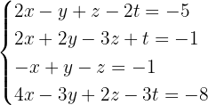
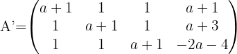
Discutir el sistema: 
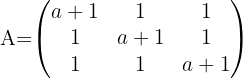
Consideremos las matriz asociada al sistema y su matriz aumentada

Dado que el determinante de
es 
Podemos concluir que el rango de
es igual al orden de la matriz que es
. Incluso de esto podemos concluir que el rango de la matriz aumentada es
.
Dado que estos dos valores son iguales podemos concluir que el sistema es un sistema de ecuaciones compatible determinado.
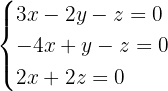
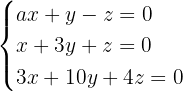
Resolver el sistema homogéneo: Discutir el sistema: 
Consideremos la matriz asociada al sistema
Dado que
Podemos decir que las dos primeras columnas de la matriz asociada al sistema son linealmente independiente.
As\'i que la matriz tiene rango a lo menos dos. Al calcular el determinante de
tenemos que 
Y podemos concluir que el rango de la matriz asociada es igual a dos que es menor que el orden de la matriz que es tres.
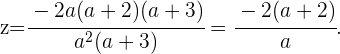
Esto nos dice que el sistema es compatible indeterminado. Su solución esta dada por el sistema 
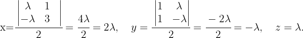
Al resolver este sistema tenemos que

Y concluimos que 
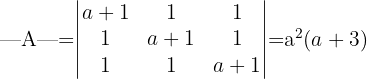
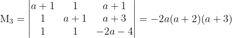
Discutir y resolver el sistema cuando sea compatible. 
Primero obtenemos la matriz del sistema y su matriz aumentada

Para discutir la compatibilidad del sistema hallamos el determinante de

Este determinante se anula cuando
y
. Para
, tenemos que

Por lo tanto el rango de
es
y el rango de
es
lo que nos dice que el sistema es incompatible.
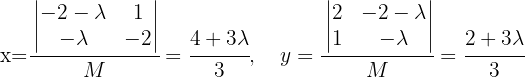
Para
, sigue que

Dado que
Podemos decir que el rango de
es
y el rango de
es
lo que nos dice que el sistema es compatible indeterminado.
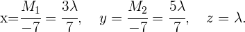
Al solucionar el sistema 
Tenemos que el determinante de la matriz asociada al sistema es
Y por lo tanto 
Finalmente, si
, se sigue que el sistema es compatible determinado y tiene la siguiente solución
Así 

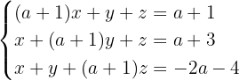
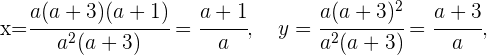
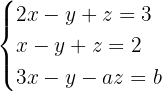
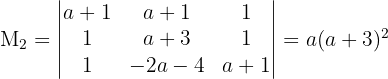
Discutir y resolver el sistema cuando sea compatible. 
Primero hallamos el determinante de la matriz asociada al sistema,
Este determinante se anula en
, para este valor el sistema es compatible indeterminado, pues el rango es
y el orden de la matriz es
. Si
, la solución del sistema se sigue de solucionar el siguiente sistema de ecuaciones,
El determinante de la matriz asociada a este sistema es
Y la solución de sistema es
Si
tenemos que el sistema es compatible determinado y tiene como solución a la solución trivial 
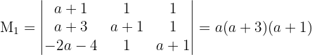
Estudiar los siguientes sistemas según los distintos valores de
y
.

Obtenemos la matriz asociada al sistema y su matriz aumentada

El determinante de
es 
Si
tenemos que el sistema es compatible determinado pues 
Si
debemos calcular el rango de las matrices
y
. Dado que 
Podemos concluir que
.
Para
tenemos que
Si
, se sigue que
asi que el sistema es compatible indeterminado.
Si
el rango de
es
y podemos concluir que el sistema es incompatible.
Resumir con IA:

Apuntes es una plataforma dirigida al estudio y la práctica de las matemáticas a través de la teoría y ejercicios interactivos que ponemos a vuestra disposición. Esta información está disponible para todo aquel/aquella que quiera profundizar en el aprendizaje de esta ciencia. Será un placer ayudaros en caso de que tengáis dudas frente algún problema, sin embargo, no realizamos un ejercicio que nos presentéis de 0 sin que hayáis si quiera intentado resolverlo. Ánimo, todo esfuerzo tiene su recompensa.
Resultado de este ejercicios de sistemas de Gauss con matrices:x+y+z=3
2x+4y+z=4
3x-y+z=1
Me podrían ayudar a resolverlo
Si tengo tres rectas donde dos se superponen (hasta acá el sistema es compatible indeterminado), pero una tercer recta las cruza, es sistema se convierte es compatible determinado por haber un punto de intersección entre las tres rectas o continúa siendo compatible indeterminado por las infinitas soluciones de dos de las tres rectas?
Hola como la tercera recta intercepta a las otras dos que están superpuestas, lo hace en un solo punto, entonces solo hay una sola solución que corresponde a las tres rectas, pues para que hubiera una infinidad de puntos de respuesta las tres rectas tendrían que ser superpuestas.
en la parte del inicio no es necesario multiplicar, es mas rapido directamente si se intenta sacar el x ya que los 4y ya son capases de eliminarse entre si
Hola gracias por tu aportación lo vamos a tomar en cuenta, podrías darnos más detalles para mejorar la explicación.
El ejercicio 8 esta mal, y es 444/113, no es negativo.
Una disculpa ya se corrigió.
Una disculpa por el error, ya se corrigió.
Me encanta su contenido, realmente me ayuda pero realmente me ayudaría incluso más si dieran un poco más de referencias para citar el documento, fecha, marta ¿Qué? Bueno, ya saben lo necesario para crear APA
¡Hola Cindy! 👋 Desde Superprof nos alegra que el contenido te sea útil. 😊 Para citar el artículo en formato APA, puedes referenciarlo así:
«Superprof. Ejercicios del método de Gauss II. [En línea] Disponible en: [URL del artículo].»
Por privacidad, no podemos dar datos personales del autor ni fecha exacta de publicación, pero esta referencia permite que tu cita sea válida. 📚✨