La reducción de Gauss es una técnica fundamental en álgebra lineal utilizada para resolver sistemas de ecuaciones lineales y encontrar la forma escalonada o reducida por filas de una matriz. Esta técnica, también conocida como eliminación de Gauss, simplifica los cálculos al transformar una matriz en una forma más simple y triangular superior, lo que facilita la resolución de sistemas de ecuaciones y otras aplicaciones en matemáticas y ciencias.
En esta serie de ejercicios, exploraremos diversos problemas que involucran la reducción de Gauss, brindándote la oportunidad de desarrollar tus habilidades en este importante concepto matemático. ¡Comencemos a practicar!
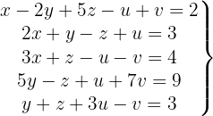
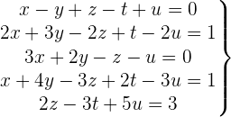
Sistema de 5 ecuaciones con 5 variables

1Escribimos en forma matricial

2Aplicamos el método de Gauss





Intercambiamos las filas 2 y 5







El sistema es compatible determinado
3Obtenemos las soluciones. La quinta ecuación se vuelve:

La cuarta ecuación queda:

La tercera ecuación queda:

La segunda ecuación queda:

La primera ecuación queda:

La solución es

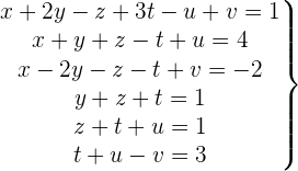
Sistema de 5 ecuaciones con 5 variables

1Escribimos en forma matricial

2Aplicamos el método de Gauss












El sistema es compatible determinado
3Obtenemos las soluciones. La quinta ecuación se vuelve:

La cuarta ecuación queda:

La tercera ecuación queda:

La segunda ecuación queda:

La primera ecuación queda:

La solución es

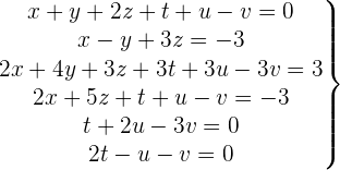
Sistema de 5 ecuaciones con 5 variables

1Escribimos en forma matricial

2Aplicamos el método de Gauss









El sistema es compatible indeterminado
3Parametrizaremos la solución utilizando
. La quinta ecuación se vuelve:

La cuarta ecuación queda:

La segunda ecuación queda:

La primera ecuación queda:

La solución es

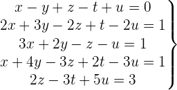
Sistema de 5 ecuaciones con 5 variables

1Escribimos en forma matricial

2Aplicamos el método de Gauss







El sistema es compatible indeterminado
3Parametrizaremos la solución utilizando
. La quinta ecuación se vuelve:

La segunda ecuación queda:

La primera ecuación queda:

Compatibilidad de sistema de 5 ecuaciones

1Escribimos en forma matricial

2Aplicamos el método de Gauss









De la tercera fila se sigue que el sistema es incompatible.
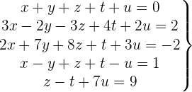
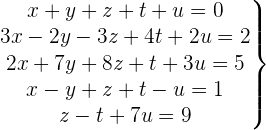
Compatibilidad de sistema de 5 ecuaciones

1Escribimos en forma matricial

2Aplicamos el método de Gauss







De la tercera fila se sigue que el sistema es incompatible.
Sistema de 6 ecuaciones con 6 variables

1Escribimos en forma matricial

2Aplicamos el método de Gauss






Intercambiamos las filas 3 y 5




Intercambiamos las filas 4 y 6






El sistema es compatible determinado
3Obtenemos las soluciones. La sexta ecuación se vuelve:

La quinta ecuación se vuelve:

La cuarta ecuación queda:

La tercera ecuación queda:

La segunda ecuación queda:

La primera ecuación queda:

La solución es

Sistema de 6 ecuaciones con 6 variables

1Escribimos en forma matricial

2Aplicamos el método de Gauss





2Aplicamos el método de Gauss



El sistema es compatible indeterminado
3Parametrizaremos la solución utilizando
.Obtenemos las soluciones. La sexta ecuación se vuelve:

La quinta ecuación se vuelve:

La segunda ecuación queda:

La primera ecuación queda:

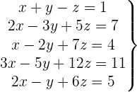
Sistema de 5 ecuaciones con 3 variables

1Escribimos en forma matricial

2Aplicamos el método de Gauss












El sistema es compatible determinado
La tercera ecuación queda:

La segunda ecuación queda:

La primera ecuación queda:

La solución es

Sistema de 6 ecuaciones con 4 variables

1Escribimos en forma matricial

2Aplicamos el método de Gauss









Intercambiamos las filas 3 y 4



El sistema es compatible determinado
La cuarta ecuación queda:

La tercera ecuación queda:

La segunda ecuación queda:

La primera ecuación queda:

La solución es

Resumir con IA:

Apuntes es una plataforma dirigida al estudio y la práctica de las matemáticas a través de la teoría y ejercicios interactivos que ponemos a vuestra disposición. Esta información está disponible para todo aquel/aquella que quiera profundizar en el aprendizaje de esta ciencia. Será un placer ayudaros en caso de que tengáis dudas frente algún problema, sin embargo, no realizamos un ejercicio que nos presentéis de 0 sin que hayáis si quiera intentado resolverlo. Ánimo, todo esfuerzo tiene su recompensa.
Resultado de este ejercicios de sistemas de Gauss con matrices:x+y+z=3
2x+4y+z=4
3x-y+z=1
Me podrían ayudar a resolverlo
Si tengo tres rectas donde dos se superponen (hasta acá el sistema es compatible indeterminado), pero una tercer recta las cruza, es sistema se convierte es compatible determinado por haber un punto de intersección entre las tres rectas o continúa siendo compatible indeterminado por las infinitas soluciones de dos de las tres rectas?
Hola como la tercera recta intercepta a las otras dos que están superpuestas, lo hace en un solo punto, entonces solo hay una sola solución que corresponde a las tres rectas, pues para que hubiera una infinidad de puntos de respuesta las tres rectas tendrían que ser superpuestas.
en la parte del inicio no es necesario multiplicar, es mas rapido directamente si se intenta sacar el x ya que los 4y ya son capases de eliminarse entre si
Hola gracias por tu aportación lo vamos a tomar en cuenta, podrías darnos más detalles para mejorar la explicación.
El ejercicio 8 esta mal, y es 444/113, no es negativo.
Una disculpa ya se corrigió.
Una disculpa por el error, ya se corrigió.
Me encanta su contenido, realmente me ayuda pero realmente me ayudaría incluso más si dieran un poco más de referencias para citar el documento, fecha, marta ¿Qué? Bueno, ya saben lo necesario para crear APA
¡Hola Cindy! 👋 Desde Superprof nos alegra que el contenido te sea útil. 😊 Para citar el artículo en formato APA, puedes referenciarlo así:
«Superprof. Ejercicios del método de Gauss II. [En línea] Disponible en: [URL del artículo].»
Por privacidad, no podemos dar datos personales del autor ni fecha exacta de publicación, pero esta referencia permite que tu cita sea válida. 📚✨